
Познавательные психические процессы: Хрестоматия
<…> Организм, как и окружающая его среда, является ареной бесконечных изменений, в процессе которых непрерывно высвобождается энергия, следствием чего являются химические, термические, механические и электрические эффекты. Это – микрокосм, в котором силы пребывают в состоянии непрерывной активности, так же как и в макромире, в котором организм существует. В глубине организма заложены рецепторные органы, адаптированные к изменениям, происходящим в окружающем мире; это прежде всего рецепторы мышц и вспомогательного аппарата (сухожилия, суставы, стенки кровеносных сосудов и пр.).
Поэтому следует считать, что существуют два основных подразделения рецепторных органов, из коих каждое представляет собой поле, в определенных отношениях фундаментально отличающееся от другого. Поле глубокой рецепции мы назвали проприоцептивным полем, поскольку соответствующие ему раздражители, строго говоря, вызывают изменения в самом микрокосме, и это обстоятельство существенно влияет на деятельность рецепторов в организме.
Обилие рецепторов в экстероцептивном поле; сравнительная скудость рецепторов интероцептивного поля
Поверхностное рецептивное поле также может быть подразделено на два вида полей. Одно из них полностью открыто для действия бесчисленных изменений и факторов внешнего мира. Иначе говоря, оно совпадает с так называемой наружной поверхностью организма. Поле этого типа может быть названо экстероцептивным полем.
Однако у животных имеется еще так называемая внутренняя поверхность, обычно связанная с алиментарной (пищевой) функцией. Эта поверхность хотя и соприкасается с окружающей средой, не столь широко открыта для ее воздействия. Частично она скрыта внутри самого организма. В целях удержания пищи, переваривания и всасывания обычное устройство таково, что часть свободной поверхности оказывается глубоко впятившейся внутрь тела. В этом впячивании часть окружающей среды оказывается более или менее замкнутой и ограниченной самим организмом. В этом изолированном участке организм с помощью соответствующих реакций собирает часть окружающей его материи, после чего в результате химической обработки и всасывания из них извлекается питательный материал. Эта поверхность организма может быть названа интероцептивной. В ней помещаются некоторые виды рецепторов (например, органы вкуса), для которых адекватными раздражениями являются раздражения химические <…>.
В настоящее время сравнительно мало известно о рецепторных органах этой поверхности, хотя мы вправе ожидать найти среди них примеры весьма тонкого приспособления. Однако поверхность тела в этой области, хотя и содержащая ряд рецепторов, специфических для ее функции, бедна рецепторами по сравнению с остальной (экстероцептивной) поверхностью, лежащей открыто и полностью доступной воздействиям со стороны внешней среды <…>.
По богатству рецепторными органами экстероцептивное поле значительно превосходит интероцептивное. Такое соотношение представляется неизбежным, так как именно экстероцептивная поверхность, обращенная к внешнему миру, воспринимает и воспринимала на протяжении тысячелетий весь поток разнообразных воздействий, непрерывно падавших на нее извне. Одного перечисления различных видов рецепторных органов, обнаруживаемых в пределах этой поверхности, достаточно для того, чтобы показать, насколько велико значение этого обширного поля. Оно содержит специфические рецепторы, приспособленные для восприятия механического раздражения, холода, света, звука и раздражений, вызывающих повреждения (noxa). Рецепторы почти всех перечисленных видов распределяются исключительно в пределах экстероцептивного поля; они неизвестны для интероцептивного или проприоцептивного полей.
Поучительной задачей является попытка классифицировать для рецепторов экстероцептивного поля адекватные раздражения. Каждое животное обладает опытом лишь по отношению к тем сторонам окружающего мира, которые в качестве раздражителей возбуждают рецепторы, имеющиеся у него. Не подлежит сомнению то, что определенные раздражения, вызывающие реакции у животных, не вызывают их у человека и что в значительном числе случаев реакции человека отличаются от реакций животных. Отсюда – для человека только частично возможно восприятие мира в тех значениях, в каких оно имеет место у животных. Для человека классификация адекватных раздражений может быть осуществлена на основе различных областей естествознания, главным образом физики и химии. Однако в некоторых отношениях физико-химическая схема, классифицирующая раздражения, не имеет физиологического содержания. Так, например, ноцицептивные органы кожи, возможно представляющие собой свободные рецепторные нервные окончания, не обладают избирательной чувствительностью в том смысле, что они могут быть возбуждены физическими или химическими раздражителями различного типа (лучистая энергия, механическое раздражение, кислота, щелочь, электрический ток и т. д.). Так что, классифицируя эти рецепторы в соответствии с видом раздражающей энергии, мы, с одной стороны, не в состоянии отделить каждый данный рецептор от более специализированных групп (тангорецепторы, хеморецепторы и т. д.), от которых биологически они резко отличаются, а с другой стороны, распределяем эту в физиологическом отношении единую группу рецепторов по целому ряду весьма различных классов.
Физиологическая классификация поступает по отношению к этим рецепторам более правильно. Могут быть применены физиологические критерии, которые сразу же выделяют рецепторы среди других, не стирая при этом существенного различия между ними. Так, физиологический раздражитель, возбуждающий нервные окончания этого рода (будь он физической или химической природы), должен по отношению к коже отличаться вредоносным характером. Далее, рефлекс, который начинается с этих рецепторов, во-первых, является преобладающим, во-вторых, направлен на удаление повреждаемого участка от повреждающего начала или на защиту его, в-третьих, носит императивный характер и, в-четвертых, если учитывать психические проявления и судить по аналогии на основании самонаблюдений, сопровождается ощущением боли.
Эта схема, которую мы можем назвать физиологической схемой классификации, представляется нам в настоящий момент наиболее полезной. Она представляется полезной и при изучении группы раздражителей, которые можно назвать дистантными раздражителями, к которым мы сейчас и должны обратиться. Ключ к физиологической классификации лежит в реакции, которая всякий раз вызывается. Однако и физико-химическая основа классификации имеет смысл, в особенности тогда, когда мы имеем дело с разнообразными рецепторами экстероцептивного поля, которые снабжены высокодифференцированными вспомогательными образованиями, делающими их избирательно чувствительными <…>.
Особо тонкое устройство рецепторов ведущих сегментов
В то время как рецепторы, которые возбуждаются действием различных адекватных раздражителей, например механических, болевых, тепловых, химических и т. д., распределены на протяжении целого ряда сегментов, они развиты особенно значительно в одной из областей продольных сегментарных рядов.
У животных, состоящих из сегментов, следующих друг за другом вдоль единственной оси тела, а также у позвоночных в момент локомоции последняя осуществляется по линии, продолжающей длинную ось тела, а не в каком-либо ином направлении. Органы движения животного и их мускулатура наилучшим образом приспособлены для локомоции в этом привычном направлении. Таким образом, в процессе передвижения животного некоторые сегменты оказываются ведущими.
Рецепторы этих ведущих сегментов в двигательной активности животного приобретают господствующее положение. Они развиваются больше других. Так, у дождевого червя, у которого все части наружной поверхности тела восприимчивы к действию света, направляющее влияние света наиболее выражено в переднем конце тела. Ведущие сегменты подвергаются внешним влияниям больше, чем остальные части тела. Они не только получают больше раздражений, встречают больше объектов преследования или объектов, преследования которых необходимо избежать, но обычно именно они первые распознают факторы, благоприятные или вредные для данного индивида. Преимущества животного растут, если рецепторы ведущих сегментов реагируют с большей чувствительностью и дифференцированно на воздействие окружающей среды. И именно в этих ведущих сегментах происходит значительное развитие рецепторов, в особенности относящихся к экстероцептивному полю. Некоторые из этих рецепторов специализированы до такой степени, что их генетическая связь с рецепторами, размещенными в других сегментах, почти стирается.
Специализированные рецепторы ведущих сегментов – это дистантные рецепторы. Последующие сегменты образуют двигательную цепочку, активируемую главным образом дистантными рецепторами.
Дистантные рецепторы мы находим в ведущих сегментах. Так можно назвать рецепторы, которые реагируют на предмет на расстоянии. Это те самые рецепторы, которые, действуя как органы чувств, дают начало ощущениям, приобретающим психическую окраску, обозначаемую как проецирование. Рецепторные органы, приспособленные к восприятию запахов, света и звука, хотя и раздражаются при непосредственном соприкосновении с этими агентами, как, например, со световыми колебаниями, колебаниями воды, воздуха или с пахучими частичками, вызывают при этом реакции, в которых проявляется их приспособительный характер, например изменение направления движения по отношению к окружающим предметам, причем источники этих изменений влияют и воздействуют в качестве раздражителей на воспринимающую поверхность организма на расстоянии. Мы знаем, что наши собственные ощущения, получившие начало в этих рецепторах, проецируют во внешний мир наше материальное «я». Это проецирование без помощи какого-либо осознанного умственного процесса как бы посылает наши ощущения в окружающий мир в точном соответствии с реальными направлениями и расстояниями их действительных источников.
Ни одно из ощущений, получивших начало в проприоцептивном или интероцептивном поле, не обладает этой способностью проецирования. И если рассматривать дистантные рецепторы только как образования, с которых начинаются рефлекторные движения, то возникающие в этих случаях реакции соответствуют раздражениям по направлению и расстоянию от их источников. Так, световое пятно, составляющее световой образ на сетчатке, вызывает рефлекторное движение, которое ведет к повороту глазного яблока по направлению к источнику этого образа и устанавливает аккомодацию глаза в соответствии с расстоянием этого источника от животного. Достаточно даже негативного раздражения. Тень от руки, протянутой для того, чтобы схватить черепаху, вызывает, ослабляя освещение сетчатки, втягивание головы животного внутрь панциря.
Как выработалась такая реакция на расстоянии, сказать трудно. Окончательный эффект достигается различными путями, как различна и степень учитываемого расстояния. Благодаря длинным вибрисам отдельные тангорецепторы возбуждаются предметами, находящимися на расстоянии от основной поверхности организма. Избирательно понижая порог возбуждения, некоторые рецепторы, близкие к тактильным, приобретают чувствительность к колебательным движениям воды и воздуха и реагируют на физические звуки, источники которых находятся на расстоянии от животного. Некоторые хеморецепторы приобретают настолько низкий порог, что реагируют не только на пищу и другие вещества, соприкасаясь с большими их количествами, но улавливают также ничтожные следи различных веществ, следы которых выделяются предметами, и прежде чем попадают на соответствующие рецепторы в качестве так называемых запахов, преодолевают большие расстояния. Таким образом, ведущие сегменты приобретают не только вкусовой контактный рецептор, но и вкус на расстоянии, т. е. обоняние. В этих случаях, по-видимому, только вследствие понижения порога чувствительности рецепторы ведущих сегментов оказались в состоянии реагировать на воздействие предметов, находящихся от организма на расстоянии.
Дистантные рецепторы занимают, вероятно, особо важное место в строении и развитии нервной системы. У высших животных форм одна из частей нервной системы, как настаивает Гаскел, приобрела постоянное господствующее положение. Это часть, которая получила название головного мозга. Головной мозг представляет собой часть нервной системы, которая возникла на основе и как следствие развития дистантных рецепторных органов.
Их эффекторные реакции и восприятия имеют, очевидно, и преобладающее значение в функционировании системы индивида. Это можно, хотя бы частично, объяснить следующим образом. Организм животного не является машиной, которая только трансформирует определенное количество энергии, сообщенное ему в потенциальной форме в начале его существования. Он должен восполнять свою потенциальную энергию посредством непрерывного усвоения соответствующих энергетических продуктов, находящихся во внешней среде, и превращать эти продукты в свое собственное тело. Более того, поскольку смерть прерывает жизненный путь отдельного индивидуума, должно поддерживаться существование вида, а для этого у высших организмов выработалось своеобразное отделение части его тела (гаметы) от остальной массы организма, что ведет к появлению нового самостоятельного организма. Поэтому для удовлетворения первых жизненных запросов организма необходимо соприкосновение его с рядом предметов для удовлетворения потребности в пище или при различных формах полового размножения.
В течение процессов питания и воспроизведения недистантные рецепторы играют важную и существенную роль. Но способность одной из частей организма реагировать на предмет, еще находящийся на известном расстоянии от него, обеспечивает некоторый интервал времени, в течение которого имеется возможность предпринять ответные предварительные действия с целью осуществить успешную попытку прийти в контакт или избежать контакта с данным предметом. Поведение животных ясно показывает, что одна группа рецепторов контролирует направление реакции (проглатывание или выбрасывание вещества, уже найденного и принадлежащего животному, т. е. уже находящегося во рту у животного); другая группа рецепторов, дистантные рецепторы, запускает и контролирует сложные реакции животного, которые предшествуют глотанию, а именно всю ту последовательность реакций, которые охватываются понятием поисков пищи. Эти реакции предшествуют и подводят к реакциям, возникающим с недистантных рецепторов. Это отношение реакций с дистантных рецепторов к реакциям с недистантных рецепторов типично.
Дистантные рецепторы дают начало реакциям предваряющим, т. е. предупредительным. Если в качестве наиболее яркой особенности большого числа реакций с непроецирующих рецепторов, рассматриваемых как органы чувствительности, является их аффективная окраска, т. е. чувство боли или переживание удовольствия, то чувство намерения представляет собой наиболее определенную сторону реакций проецирующих дистантных рецепторов, понимаемых как исследующие органы. Как причина рефлекторных движений функция этих последних характеризуется тенденцией к активации или контролю над мускулатурой животного как целого с целью вызвать перемещение тела или остановить его путем придания определенной общей установки тела. Последняя предполагает постоянство положения не только одной конечности или части ее, но требует установки от всех частей организма, обеспечивая этим позу всего тела как одного целого.
С. В. Кравков
Пороги ощущения и их измерение[3]
Различные афферентные системы, дающие нам сведения о состоянии окружающего нас внешнего мира или о состоянии нашего собственного тела, могут быть, очевидно, более или менее чувствительными к отображаемым ими явлениям, т. е. могут отображать эти явления с большей или меньшей точностью. Встает, таким образом, вопрос о различной чувствительности наших рецепторов в тех или иных условиях.
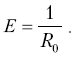
Под чувствительностью того или иного рецептора в психофизиологии можно понимать совершенно то же, что понимается под чувствительностью того или иного измерительного прибора в физике. Если мы оцениваем один гальванометр как более чувствительный по сравнению с другим, это значит, что данный гальванометр способен дать отклонение стрелки в ответ на меньший ток, чем второй гальванометр. Чувствительность того или иного органа чувств мы подобным же образом измеряем тем минимальным раздражителем, который в данных условиях оказывается способным вызывать ощущение. Такой минимальный раздражитель, вызывающий ощущение, носит название абсолютного порога ощущения.
Обозначив чувствительность буквой Е, а величину порогового раздражителя буквой R0, мы имеем, таким образом, равенство

Иными словами, чем меньше порог, тем больше чувствительность. Но посредством наших органов чувств мы можем не только констатировать наличие того или иного раздражителя, но и различать раздражители по их силе и качеству.
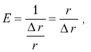
Подобная различительная чувствительность наших рецепторов, так же как и абсолютная чувствительность их, есть величина, меняющаяся в зависимости от очень многих условий. Однако для каждых данных условий мы можем и ее характеризовать количественно, измерить. Это осуществляется путем определения величины разностного порога ощущения, т. е. той минимальной разницы в раздражителях, которая нами ощущается. Чем разностный порог больше, тем различительная чувствительность меньше, и наоборот. Если обозначить различительную чувствительность буквой Е, а абсолютную величину разностного порога через Δr, то можно сказать, что

где r – величина того свойства раздражителя, по отношению к которому производится оценка, а Δr – то минимальное изменение этой величины, которое необходимо для возниковения у нас ощущения едва заметной разницы. Пороговые раздражители являются, таким образом, теми величинами, которые характеризуют чувствительность той или иной афферентной системы в данных условиях.
Необходимо, однако, заметить здесь, что повышение чувствительности иногда сказывается не понижением порогов, а обострением субъективной реакции на пороговое раздражение.
Такой случай мы имеем, например, в условиях протопатической кожной чувствительности. В отличие от обычного, данного нами выше определения термина чувствительности, здесь можно говорить о «гиперпатии», как то и предлагает делать Л. А. Орбели.
Изучение количественных связей между изменениями раздражителей и соответствующими им изменениями наших ощущений со времени Фехнера (Fechner, 1860) носит название психофизики. В психофизике разработан ряд методов определения порогов.
Г. Э. Мюллер (Müller, 1904) различает следующие три главных метода: метод установки (по Фехнеру, метод средней ошибки), метод границы (по Вундту, метод минимальных изменений) и метод постоянных раздражителей (по Фехнеру, метод истинных и ложных случаев).
Метод установки, или метод средней ошибки, состоит в том, что испытуемый субъект сам изменяет интенсивность раздражителя, то увеличивая, то уменьшая ее, до тех пор пока не получит едва заметного ощущения вообще (при определении абсолютного порога) или ощущения, равного по силе некоторому другому заданному (при определении разностного порога).
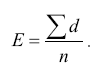
Каждая отдельная установка дает обычно значения, несколько отличающиеся друг от друга, скажем, a, a, a, … an и т. д. Среднее арифметическое этих значений будет

где n – число сделанных определений. Эта величина am и рассматривается как величина раздражителя, соответствующая абсолютному порогу, или же как величина, субъективно соответствующая раздражителю, данному как норма. Сумма разностей между величиной am и отдельными значениями a1, a2, a3, … an разностей, равных соответственно d1 = a1 – am, d2 = a2 – am… dn = an – am, деленная на число сделанных установок, дает величину среднего уклонения, или средней ошибки.

При этом величины d берутся без учета их знака. Среднее уклонение, или средняя ошибка, есть одна из мер точности установок, производимых наблюдателем. Фехнер считал возможным думать, что величина средней ошибки является прямо пропорциональной разностному порогу. С последним трудно согласиться.
Как справедливо многими указывалось, величина средней ошибки, устанавливаемой по данному методу, зависит и от манеры устанавливания наблюдателем искомой величины, т. е. от многих обстоятельств, стоящих с величиной самого порога в достаточно сложной связи.
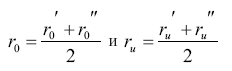
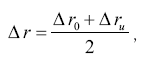
Метод границы, или метод минимальных изменений, предусматривает определение искомой величины (абсолютного или разностного порога) путем предъявления испытуемому лицу последовательного ряда раздражителей, постепенно, минимальными и равными ступенями, возрастающей и убывающей интенсивности. При этом один раз раздражения предъявляются по убывающей интенсивности их, меняясь от ощущения явно заметного, а другой раз – по возрастающей – от неощущаемого. Если речь идет о нахождении абсолютного порога, то определяются две величины: 1) величина раздражителя, впервые ощущаемая испытуемым лицом при применении ряда раздражителей возрастающей интенсивности, и 2) величина раздражителя, впервые им не ощущаемая, – при обратном, убывающем по интенсивности порядке раздражителей. Средняя арифметическая этих величин и принимается за истинное значение абсолютного порога. Как легко понять, точность подобных определений будет тем больше, чем меньше те ступени, по которым мы изменяем силу предъявляемых раздражителей. Они должны быть по возможности малыми, откуда и название метода. При определении разностного порога методом минимальных изменений находят уже не две, а четыре величины. Именно в случае нисходящего ряда раздражителя от «заметно большего» находят то значение раздражителя r', при котором наш изменяемый раздражитель «перестанет казаться большим» по сравнению с раздражителем постоянным. Продолжая уменьшать интенсивность переменного раздражителя далее, доходят до момента, когда изменяемый раздражитель впервые «начинает казаться меньше» постоянного раздражителя, с которым производится сравнение. Такое значение переменного раздражителя можно назвать ru'. Затем, уже восходящим порядком, т. е. давая последовательно более и более сильные раздражения, отправляясь вначале от «заметно меньшего», определяют значения раздражителей, при которых переменный раздражитель «перестает казаться меньше» постоянного (значение ru˝), и, наконец, такое значение переменного раздражителя, при котором он «начинает казаться больше» постоянного (значение r0˝) <…>.
На основании полученных таким путем данных находят

и определяют затем верхний разностный порог Δrд = r0 – N и нижний разностный порог Δrи = N – r. Средним разностным порогом будет соответственно величина

вычисление которой оправданно в случае, когда Δr0 и Δrи близки друг к другу.
Третий главный психофизический метод, как было сказано выше, – это метод постоянных раздражений, или метод истинных и ложных случаев. При пользовании этим методом определение искомых величин абсолютного или разностного порога производится уже не столь прямым образом, как посредством двух вышеописанных методов, но лишь на основании статистической обработки достаточно большого числа показаний испытуемого. Метод состоит в следующем. Раздражители различной интенсивности предъявляются испытуемому в беспорядочной последовательности. Если дело идет об определении разностного порога, раздражители эти предъявляются, чередуясь с нормальным. От испытуемого требуется при этом оценить, кажется ли ему переменный раздражитель больше нормального или меньше его или же кажется равным раздражителю нормальному. В случае определения абсолютного порога испытуемый просто должен говорить, ощущает он или не ощущает предъявляемое ему раздражение. Сама величина порога вычисляется в результате подсчета правильных и ложных ответов, данных испытуемым при многократной оценке предъявлявшихся ему в беспорядке раздражителей разной интенсивности. Значение этих раздражителей или же разность (D) между ними и каким-либо раздражителем, являющимся нормальным, через небольшие равные ступени откладываются по абсциссе; по ординате откладываются частоты ответов, данных испытуемым, – ответов правильных, ложных и неопределенных.

