
Гайд по математике, на тему: «Степень и её свойства»

Дарьяна Рогова
Гайд по математике, на тему: "Степень и её свойства"
Немного об авторе
Меня зовут Дарьяна. Репетиторством по математике занимаюсь довольно давно, с 2011 года. Математика всегда меня привлекала, как предмет, в своём деле я помогаю детям\ученикам долгое время, и всегда есть хороший результат. Каждый ребенок, если у него есть желание понять материал – может научиться решать различные задания по математике, каждый может освоить этот предмет, в нём нет ничего сложного, если разобраться в любой теме. Результаты моей работы впечатляют, спокойно нахожу общий язык с учеником и индивидуально подхожу к любому из них. Даже, казалось бы, самые безнадёжные чувствуют себя увереннее на уроках по математике после занятий со мной.
Этот гайд я написала специально для того, чтобы поделиться своими знаниями, чтобы Вы, дорогой читатель, смогли разобраться в этой теме, понять материал и научились сами применять на практике полученные знания.
Вы можете связаться со мной, записаться на консультацию или занятие онлайн, задать интересующие вопросы и сможете лучше разобраться в предмете с моей помощью. Можете написать мне на почту: frangolc@yandex.ru.
Начнём изучение темы «Степени и её свойства» – со свойств степеней.
Чтобы понять, как правильно решать выражения с возведением в степень и с действиями с ней, достаточно знать основные свойства степени.

1. Любое число в нулевой степени равно единице.
2. Любое число в первой степени – равно числу.
3. Если есть одинаковое основание, то показатели степени при умножении – складываются.
4. Если есть одинаковое основание, то показатели степени при делении – вычитаются.
5. Если основание в степени и ещё в степени, то показатели степени в таком положении перемножаются.
6. Если же одно основание отличается от другого основания, но у них одинаковая степень, то степень можно вынести за скобку, а основания перемножить.
7. Когда основание в степени и ещё под корнем, то показатель степени делится на степень корня (т.е., если корень квадратный, то делим на 2, если корень кубический, то делим на 3 и т.д.).
8. Если основание находится в отрицательной степени, то основание следует записать в знаменателе, а показатель степени становится положительным.
9. Если же дробь находится в отрицательной степени, то числитель и знаменатель меняются местами и показатель степени становится положительным.
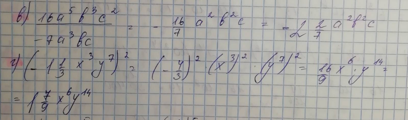
А теперь разберёмся в применении степеней на практике. Подборка заданий 1.




Пояснение: А) Основание одинаковое, соответственно можно сделать действия со степенями, между «а» умножение, значит степени складываются.
Б) Основание одинаковое, между ними деления, значит, применив 4 свойство степени можно вычесть степени.
В) При таком положении показатели степени перемножаются.
Г) Если произведение возведено в общую степень, значит, нужно каждое число в произведении возвести в степень. То есть число четыре возводим в третью степень, это получится 64, и буква t в третьей степени.
Д) В подобной дроби делаются аналогичные действия, что было под буквой Г – возводится каждое число в степень. 2⁴ = 16, и буква d в четвёртой степени.
Е) При таком положении оснований и степеней – степени вычитаются, получается отрицательная степень, соответственно основание спускается в знаменатель, и степень становится положительной.
Перейдём к разбору решений более усложнённых примеров. Подборка заданий 2.



Пояснение: А) Сначала определимся со знаком. При умножении (-) * (-) = (+). Поэтому знак будет плюс. 5 и 25 можно сократить на 5, вверху 1, внизу осталось 5. И можно сделать действия с одинаковыми основаниями, при умножении степени складываются. Получается одна пятая, которую в дальнейшем можно представить в виде десятичной дроби.
Б) Определив знак (-) * (+) = (-), можно после знака равно ставить знак минус. 2,5 умножаем на 2, получаем 5 целых. И складываем показатели степени одинаковых оснований.1
В) Определяем знак: (-) * (+) = (-), поэтому после знака равно ставим знак минус. Числа не сокращаются, поэтому можно оставить дробью. Так как есть черта дроби, то показатели степени с одинаковыми основаниями вычитаются. Если поделить 16 на 7 в столбик, то можно выяснить, что число нацело не делится, поэтому можно выделить целую часть. Если 16 разделить на 7, то можно взять по 2 целых (2*7=14). Если из 16 вычесть 14, то получится 2, соответственно получается данный ответ на рисунке.
Г) Так как здесь подобное положение скобок, то можно целую часть с дробью перевести в неправильную дробь, и после возвести в квадрат. Разберёмся со знаком, если дробь умножить на себя два раза, то получится знак плюс.2 Дробь возводим в степень, соответственно числитель и знаменатель нужно возвести в квадрат степени. Так получилась последующая дробь, после чего можно выразить целую часть. Что касаемо икса и игрека, то при подобном положении скобок нужно перемножить степени.
В подобном задании нужно привести к общему основанию, чтобы сделать действия со степенями, здесь немного усложняется тем, что вместо букв даны числа. Подборка заданий 3.


Пояснение:
А) Сначала разложим число 25 на множители 5*5 = 5², и ещё в пятой степени. Далее видим число 125, чтобы выяснить какое число и в какой степени даёт его, то можно заглянуть в таблицу степеней. На этой таблице я пометила – какое число и в какой степени даёт 125. То есть это будет 5³.

Далее разбираем всё по свойству степени, при положении скобок – степени перемножаются, при умножении оснований – степени складываются. В конце, при делении – степени вычитаются.
Б) В этом примере следует разложить число 24 на множители (3*8), так как число 24 изначально в пятой степени, то и после раскрытия скобок получится, что каждое число будет в пятой степени. Число 8 можно привести к общему основанию, воспользовавшись таблицей степеней. Получается, что число 8 раскладывается, как 2³, а так как у нас степень ещё есть, то получится таким образом: (2³) ⁵. В таком положении степени перемножаются. И теперь можно сделать действия со степенями с одинаковыми основаниями.
Подборка заданий 4.


Пояснение: В этом уравнении таким же образом в числители степени складываются, а затем вычитаются. Поэтому получается, что х=6.



Пояснение:
А) При таком положении скобок в числители степени перемножаем, число 36 представляем в виде числа в степени (6²), а затем в числители степени складываем, а далее вычитаем. Получается ответ 6 в первой степени.
Б) Здесь аналогично, как и в примере под буквой А. В числителе степени перемножаем, в знаменателе число 25 представляем в виде одинакового основания со степенью (5²), в знаменателе степени складываем, а после – вычитаем. Получается, что в числителе будет отрицательная степень, поэтому число 5 идёт в знаменатель и степень становится положительной. Далее из дроби можно получить десятичную дробь, и она станет окончательным ответом.
Подборка заданий 5.



Пояснение:
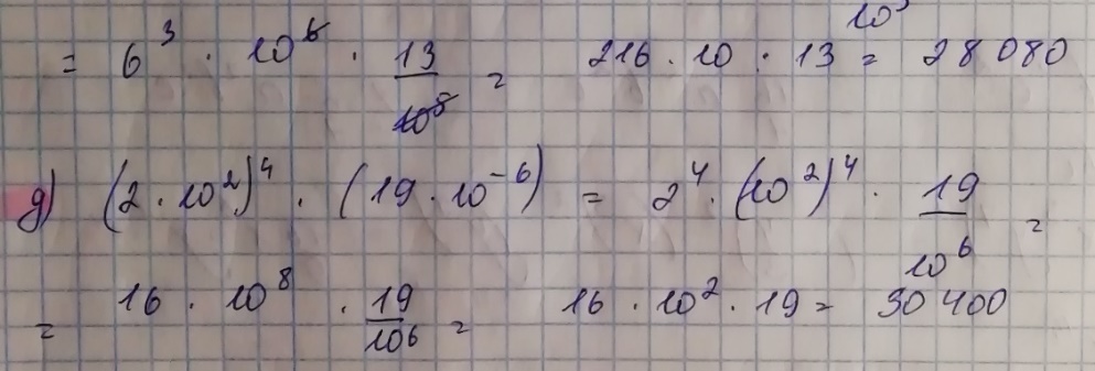
В) Сначала определимся со знаком, когда степень четная, то знак будет +, если нечетная, то (-). В данном случае степень четная, соответственно знак будет + при возведении в степень. (-10)² = 100. Далее 100 * 0,9, здесь не обязательно перемножать в столбик, достаточно посчитать сколько нулей у ста, а после запятую у числа 0,9 – перенести вправо на количество знаков, в данном случае – на два знака вперёд переносим запятую, получается 90. Далее вспоминаем как делать действия, если числа противоположные по знакам. 90-120, находим большее число и из большего вычитаем меньшее, ставя знак тот, который у большего числа. То есть 90 – 120 = (-30). У 120 знак минус, из него вычитаем 90 – получаем число 30 и знак ставим тот, который у числа 120.
Конец ознакомительного фрагмента.
Текст предоставлен ООО «ЛитРес».
Прочитайте эту книгу целиком, купив полную легальную версию на ЛитРес.
Безопасно оплатить книгу можно банковской картой Visa, MasterCard, Maestro, со счета мобильного телефона, с платежного терминала, в салоне МТС или Связной, через PayPal, WebMoney, Яндекс.Деньги, QIWI Кошелек, бонусными картами или другим удобным Вам способом.
Примечания
1
У первого икса есть в степени единица, но она не пишется, хотя подразумевается. Поэтому получается икс в третьей степени.
2
(-) * (-) = (+)
Приобретайте полный текст книги у нашего партнера:

