
Новая индустриализация России как альтернатива ее крушению

Евгений Сергеев
Новая индустриализация России как альтернатива её крушению
Введение
Крушение СССР и установление демократического строя не привели к процветанию России. Официозные речи о «вставании с колен» противоречат статистическим данным. В последние 15 лет отмечается некоторый экономический рост, однако он не сопровождается развитием. Страна все больше зависит от экспорта углеводородов и прочего сырья. В структуре федерального бюджета около 50 % – это нефтегазовые доходы.
Современный экономический кризис в России начался в конце 2012 г., когда цена на нефть была высокой, и со стороны Запада не были введены экономические санкции. Это позволяет утверждать, что причины кризиса связаны, в первую очередь, с внутренней политикой. Соответственно, бессмысленно надеяться на рост стоимости углеводородов и снятие санкций. Экономике это уже не поможет.
Рыночные реформы привели к полной деиндустриализации страны. Уничтожены крупные производственные комплексы и целые отрасли. Когда-то лидер в освоении космоса постепенно превращается в сырьевой придаток развитых стран.
Внешнеполитический кризис многих экспертов привел к мысли о необходимости развития собственной экономики. Надежды на успешную интеграцию в мировое сообщество рухнули. Однако понимание этого не отражается на конкретных действиях руководства страны. Тезис об импортозамещении превратился лишь в удобный пропагандистский слоган. Реальные цифры свидетельствуют о падении отечественного производства. Причем обрабатывающая промышленность деградирует быстрее добывающих отраслей. Это приводит к усилению сырьевой зависимости страны.
Единственный метод преодоления негативных явлений – это новая индустриализация, чему и посвящена данная книга.
Глава 1. Советская индустриализация 1928-41 гг.
Экономика Российской Империи начала резко угасать с момента перехода на золотой стандарт в 1897 г. Развитие промышленности требовало всё большее количество денежных средств, и для их эмиссии российскому государству приходилось брать кредиты у международных банковских структур. По существу это привело к колонизации России иностранными компаниями, когда и государство и бизнес оказались в долговой яме. Отсутствие внутренних источников эмиссии денежных средств негативно отразилось на промышленности, которая значительно уступала США или европейским странам. Первая мировая война наглядно продемонстрировала импотенцию царского режима. Так, например, объемы производства оружия представлены в таблице 1.1.

В таблице наглядно показана неспособность царского режима развивать современное производство, одним из видов которого является вооружение.
Участие России в Первой мировой войне было в первую очередь обусловлено не собственными интересами (Германия была главным экономическим партнером), а высокой финансовой зависимостью от французского капитала.
В феврале 1917 г. царизм пал, освободив дорогу для представителей либерального крыла, которые увязли в интригах, оказались неспособными к управлению страной. Поэтому начался медленный процесс развала государства, который смогли приостановить большевики в октябре 1917 г.
Иностранная интервенция и Гражданская война нанесли огромный ущерб пусть даже отсталой промышленности. Новая экономическая политика привела к торжеству торговли и мелких производств, что было явно недостаточным требованиям времени. Безработица в крупных городах достигла 25 % трудоспособного населения. Поэтому идея форсированной индустриализации страны стала превалировать над всеми иными путями развития советского государства.
Главным лозунгом Октябрьской революции был лозунг: «Земли – крестьянам, фабрики – рабочим». Революция и победа в Гражданской войне позволили обеспечить миллионы безземельных крестьян своими наделами. Сформировался класс мелких собственников, форма хозяйствования которого не предполагала высокую товарность сельскохозяйственного производства. Часто подворья жили натуральным хозяйством. Для советской власти это представляло угрозу, так как подобная ситуация угрожала возможностью появления голода в крупных городах.
«Хотя сельское хозяйство в целом и перевалило через довоенный уровень, валовая продукция его главной отрасли – зернового хозяйства – составляла лишь 91 % довоенного уровня, а товарная часть зерновой продукции, продаваемая на сторону для снабжения городов, едва доходила до 37 % довоенного уровня, причем все данные говорили о том, что есть опасность дальнейшего падения товарной продукции зерна.
Это означало, что дробление крупных товарных хозяйств в деревне на мелкие хозяйства, а мелких на мельчавшие, начавшееся в 1918 году, все еще продолжается, что мелкое и мельчайшее крестьянское хозяйство становится полунатуральным хозяйством, способным дать лишь минимум товарного зерна, что зерновое хозяйство периода 1927 года, производя немногим меньше зерна, чем зерновое хозяйство довоенного времени, может, однако, продать на сторону для городов лишь немногим больше третьей части того количества зерна, которое способно было продать довоенное зерновое хозяйство.
Не подлежало сомнению, что при таком состоянии зернового хозяйства армия и города СССР должны были очутиться перед лицом хронического голода»[1].
Кроме того, мелкие хозяйства не формировали спрос на промышленную продукцию. У крестьян просто не было возможности покупать трактора и иные средства механизации. Поэтому на XV съезде ВКП (б) было принято решение о проведении коллективизации, объединении мелких крестьянских хозяйств в колхозы и совхозы.
Проведение коллективизации сформировало социалистическое хозяйство на деревне, позволило увеличить товарность производства и привело к значительному увеличению спроса на средства механизации. Так же за счет роста производительности труда коллективизация высвободила миллионы работников, в которых остро нуждалась развивающаяся промышленность. С 1927 по 1939 годы из деревни в город переехало порядка 18,7 млн. чел[2].
Часто при коллективизации действовали жестко. Так, к примеру, была проведена политика по раскулачиванию крупных землевладельцев. В целом выслали из мест их проживания порядка 1 803 392 кулаков и членов их семей. Иногда вместо переселения использовался иной метод – расстрел, и у автора этих строк прадед-кулак был расстрелян в ныне Тюменской области в 1930 г., где лютовал Роберт Эйхе. «В 1930 г. жёсткий, волюнтаристский стиль работы Эйхе, слишком наглядно продемонстрировавшего свою предельную некомпетентность, вызвал резкий и открытый протест большой группы ответственных работников Сибири. Однако именно они, а не Роберт Индрикович, были сняты со своих должностей[3]». Поэтому многие критикуют коллективизацию. Однако если бы даже государство не принуждало к объединению, то крестьяне со временем стали бы кооперироваться самостоятельно. Это обусловлено тем, что сельское хозяйство – трудное дело, и его неэффективно вести одним двором. Болезнь или иная причина могли сорвать посевную или уборочную кампанию. Совместное хозяйствование предоставляло гарантию непрерывности сельскохозяйственного производства. Коллективизация была начата в 1928 г. и, в целом, финишировала к 1937 г. Динамика увеличения посевных площадей представлена в таблице 1.2.
Таблица 1.2. Динамика увеличения посевных площадей, млн. га

Для повышения уровня механизации сельскохозяйственного производства создавались машинно-технические станции (МТС), в которых происходила концентрация тракторов, комбайнов и прочей техники. Непосредственно машины в собственность колхозов и совхозов не переходили. Это объяснялось несколькими причинами. Эксплуатация тракторов или иной техники требовала определенных навыков и знаний, коих не было у простых крестьян. Количество производимой техники не позволяло обеспечить всех новыми машинами, которые порой были финансово недоступны для одного колхоза. Кроме того, при такой форме механизации сельскохозяйственного труда значительно увеличивался коэффициент эксплуатации, так как одна и та же техника последовательно могла работать в разных колхозах. МТСы перешли в собственность колхозов уже в период хрущевских экспериментов. Как ни странно, но в момент рыночных преобразований на крупных предприятиях транспортные цеха начали вновь выделять в отдельные организации. Это позволяло последним выполнять работы не только для самого предприятия-учредителя, но и для иных заказчиков.
Производимая сельскохозяйственная продукция сдавалась государству по плану согласно закупочным ценам. Излишки продукции колхозы и совхозы имели право свободно продавать на специальных рынках. Так же свою продукцию на этих рынках продавали колхозники и оставшиеся единоличники. В 1935 г. более 80 % продовольствия реализовывалось через колхозные рынки, к 1950 г. этот показатель снизился до 65 %.
На XIV съезде Коммунистической партии (1925 г.) в качестве главной задачи партии была поставлена социалистическая индустриализация страны. В постановлении съезда утверждалось следующее: «Вести экономическое строительство под таким углом зрения, чтобы СССР из страны, ввозящей машины и оборудование, превратить в страну, производящую машины и оборудование, чтобы таким образом СССР в обстановке капиталистического окружения отнюдь не мог превратиться в экономический придаток капиталистического мирового хозяйства, а представлял собой самостоятельную экономическую единицу, строящуюся по-социалистически».
Выступая на первой Всесоюзной конференции работников социалистической промышленности 4 февраля 1931 г. Иосиф Сталин сказал: «Хотите ли, чтобы наше социалистическое отечество было побито и чтобы оно утеряло свою независимость? Но если этого не хотите, вы должны в кратчайший срок ликвидировать его отсталость и развить настоящие большевистские темпы в деле строительства его социалистического хозяйства. Других путей нет. Вот почему Ленин говорил накануне Октября: «Либо смерть, либо догнать и перегнать передовые капиталистические страны». Мы отстали от передовых стран на 50–100 лет. Мы должны пробежать это расстояние в десять лет. Либо мы сделаем это, либо нас сомнут».
В условиях капиталистического хозяйствования индустриализация начинается с развития отраслей группы «Б», которая объединяет предметы потребления. Частному капиталу для получения прибыли проще произвести товары, широко пользующиеся у населения. Далее за расширением отраслей группы «Б» следует рост производства группы «А» (средства производства). Для СССР такой путь был неприемлем, так как он означал возврат в колониальную зависимость от западных стран. Для строительства заводов и фабрик группы «Б» элементарно не было отраслей группы «А», т. е. отсутствовало производство станков и оборудования. Их импорт из иных стран требовал значительных ресурсов. Поэтому приняли решение развивать в первую очередь производство отраслей группы «А». «Центр индустриализации, основа её состоит в развитии тяжёлой промышленности (топливо, металл и т. п.), в развитии, в конце концов, производства средств производства, в развитии своего собственного машиностроения»[4].
Продукция отраслей «А» не являлась товаром, и не могла свободно обращаться, что значительно отличало такую модель хозяйствования от капиталистической. Сталин по этому поводу отмечал: «Наши средства производства нельзя расценивать как товары по существу. Это не предметы потребления, питания (как, например, хлеб, мясо и. т. д.), которые поступают на рынок, которые покупает кто хочет. Средства производства мы, собственно, распределяем. Это не товар в общепринятом смысле, не тот товар, который существует в капиталистических условиях. Там средства производства являются товарами».
За две первые пятилетки индустриализации построили около 8500 крупных предприятий. Главным фактором успеха стал отказ от рыночного хозяйства, формирование социалистического производства, когда основной целью является не прибыль, а удовлетворение всевозрастающих материальных и духовных потребностей общества. Советский народ с энтузиазмом строил фабрики и заводы, так как знал, что это не место их нещадной эксплуатации, а средство повышения общественного благосостояния. Сравнение среднегодовых темпов прироста производства всей промышленности отраслей группы «А» и «Б» представлено в таблице 1.3.
Таблица 1.3. Темпы прироста промышленности

Для современного человека указанные темпы прироста являются шокирующими. В лучшем случае правительство обещает прирост 2–5%, при этом обещания остаются обещаниями. А в период советской индустриализации темпы роста были сверхвысокими. И это на фоне экономического кризиса в странах капитализма! Удельный вес товаров группы «А» увеличился с 39,5 % в 1928 г. до 61,2 % в 1940 г.
«За период 1929–1937 гг. среднегодовые темпы роста промышленной продукции в СССР составляли около 20 %, в то время как в капиталистических странах они составляли в этот период в среднем всего 0,3 %. Темпы роста промышленности в СССР во много раз превышали темпы роста промышленности главных капиталистических стран в лучшую пору их развития. Так, в США среднегодовой прирост промышленной продукции составлял: за 1890–1895 гг. – 8,2 %, за 1895–1900 гг. – 5,2 %, за 1900–1905 гг. – 2,6 %, за 1905–1910 гг. – 3,6 %»[5]. В сравнении доля российского государства в мировом продукте в 1913 г. составляла 4 %, а к 1937 г. достигла 10 %. Динамика производства отдельных видов продукции в натуральном измерении представлена в таблице 1.4.
Таблица 1.4 – Динамика производства продукции в натуральном выражении[6]

Не трудно заметить, что данные о производстве отдельных видов продукции за 1928 г. незначительно отличаются от уровня 1913 г. Это свидетельствует о низкой эффективности НЭПа.
С начала индустриализации фиксируется скачкообразный рост выпуска всех видов продукции. Так, производство металлорежущих станков увеличилось в 29,5 раза, грузовых автомобилей – в 184 раза, стали – в 4,3 раза, минеральных удобрений – в 24 раза. Многие виды производств появились как новые: легковые автомобили, зерновые комбайны, экскаваторы, автомобильные краны.
Повсеместно ручной труд заменялся механизированным на основе электрической энергии.
Таблица 1.5. Производство электроэнергии

В относительном измерении производство электроэнергии с 1928 г. по 1940 г. увеличилось в 9,7 раза. Это позволило увеличить производительность труда, повысить качество жизни населения. Согласно плану ГОЭЛРО в абсолютном измерении число электростанций уменьшалось за счет ввода гигантов.
Экономический кризис капиталистической системы, начавшийся в 1929 г., способствовал технологическому перевооружению СССР. Множество предприятий группы «А» было закуплено на Западе целиком под ключ. К примеру, Горьковский автомобильный завод полностью приобретен у компании Форд. В свою очередь стоит отметить падение цен на сырьевую продукцию, что привело к значительному снижению доходов от экспорта.
Использование иностранных технологий было повсеместным. Так, к примеру, в 1929 г. советское правительство заключило договор с известным американским проектировщиком Альбертом Каном «AlbertKahn, Inc» на строительство 530 предприятий. Динамика импорта машин и оборудования за 1928–1940 гг. представлена на рисунке 1.1.

Рис. 1.1. Динамика импорта машин и оборудования
В 1930 г. происходит значительный рост импорта машин и оборудования, и в 1931 г. он составил рекордную цифру – 2,9 млрд. руб. Это объясняется потребностями первых лет индустриализации. Далее импорт значительно снижается вследствие наращивания собственного производства отраслей группы «А». Основными поставщиками оборудования и машин были американские, немецкие, английские и французские предприятия.
Ускоренная индустриализация не могла быть такой успешной без государственной монополии внешней торговли (ГМВТ), которая основывалась на прямой роли государства в вопросах импорта-экспорта товаров. Фундаментом ГМВТ выступила общественная собственность на средства производства и государственная валютная монополия. Ограничение свободного передвижения товаров и капиталов защитило зарождающуюся промышленность от крупных мировых монополий. Внутри страны стоимость промежуточных фабрикатов была намного ниже, чем за её пределами. В случае свободной торговли сырье и продукция низких переделов просто бы вымывалась из страны, и индустриализация не смогла бы достичь поставленных целей. ГМВТ не есть синоним автаркии, так как СССР активно участвовал в международном обмене. Среди экспортных товаров стоит отметить пушнину, нефть и нефтепродукты, лес и пиломатериалы, масло и зерно. В противовес ГМВТ западные страны действовали так же далеко не рыночными способами. Так, была введена «золотая блокада», когда золото из СССР в качестве платежного средства уже не принималось. Единственное, что не подпадало под блокаду – это вывоз зерна из советского государства. Многие утверждают, что это и стало одной из причин голода 30-х годов.
Для проведения внешнеэкономических операций создавались экспортно-импортные объединения, которые юридически были отделены от государства. Предприятия для ввоза или вывоза продукции формировали заявки, согласно которым экспортно-импортные объединения выполняли операции. Государственную монополию на внешнюю торговлю упразднили в период перестройки 80-х годов.
Существенным отличием советской экономики от рыночной является директивный план, который в отличие от индикативного предполагает обязательность его выполнения. Планирование экономики осуществлялось на основе межотраслевых балансов, в которых указывалась взаимосвязь между различными отраслями промышленности. Причем методика межотраслевого баланса была использована Госпланом в 1920-х годах, задолго до того как о ней написал свою первую статью В. Леонтьев – лауреат Нобелевской премии.
Огромная советская экономика напоминала крупную корпорацию, когда центр прибыли формировался на самом верхнем уровне, а главной задачей иных уровней являлось снижение себестоимости и выпуск продукции определенного ассортимента. Примерно также работают современные вертикально-интегрированные транснациональные компании, когда движение продукции внутри одной корпорации происходит по трансфертным ценам. Трудно сказать, кто перенял это опыт – СССР у ТНК или наоборот. Однако их подобность свидетельствует об учете советским руководством экономических законов, характерных для любых систем.
Такая форма организации производства позволяла наращивать экономическую мощь страны намного эффективнее, чем при рыночной модели. Планирование есть неотъемлемая составляющая механизма управления, включающего так же организацию, мотивацию, координацию и контроль. Об этом написано в любом современном учебнике по менеджменту, однако наши власти об этом давно уже забыли. И всех, кто настаивает на формировании планов, пусть даже индикативных, сразу клеймят «совками» и прочими. Это позволяет им ни за что не отвечать, так как нет базы для анализа достижения результатов. В советское время было совсем по-другому. Наверное, потому и результаты разные.
Основоположниками советского планирования являлись Г. Кржижановский, В. Куйбышев, С. Струмилин. Они настаивали на жестком централизованном планировании. Стоит напомнить слова С. Струмилина: «Нам представляется, что наш перспективный план должен дать не сумму предвидений, а систему экономической политики, т. е. систему хозяйственных задач и предуказаний, выраженных в цифрах»[7] Хотя, к примеру, Н. Кондратьев предлагал внедрять индикативное планирование с учетом рыночных тенденций.
Планирование и антизатратный механизм позволяли на протяжении ряда лет снижать цены на ряд продовольственных товаров. Это лишь один из эффектов вертикальной интеграции, когда происходит экономия на транзакционных издержках. К примеру, затраты по рекламе и маркетингу отсутствовали. Аналогом конкуренции в СССР было социалистическое соревнование, которое способствовало распространению передового опыта производства.
Трудовая активность и инициатива всячески поощрялись. Для детей стали выпускаться технические журналы популяризующие науку. Это способствовало увлечению инженерными науками, и как следствие, технологическому прогрессу. Дифференциация доходов была минимальной, однако инженер зарабатывал в разы больше, чем простой рабочий. Это уже в поздний период времени зарплата инженеров приблизилась, а порой стала меньше заплаты рабочего.
Форсированная индустриализация не привела к росту государственного долга, как это должно было произойти. Запасы золота в период индустриализации лишь увеличились.

Рис. 1.2. Динамика запасов золота
На графике наглядно представлен рост запасов золота в период индустриализации. Максимума он достиг в 1953 г. И это несмотря на войну и послевоенное время!
Главным источником финансирования индустриализации являлось расширенное воспроизводство, когда сначала строилось несколько заводов группы «А». Далее уже с учетом построенных заводов строились новые заводы группы «А» и «Б». Опережающее строительство заводов группы «А» позволило использовать внутренние источники финансирования индустриализации.
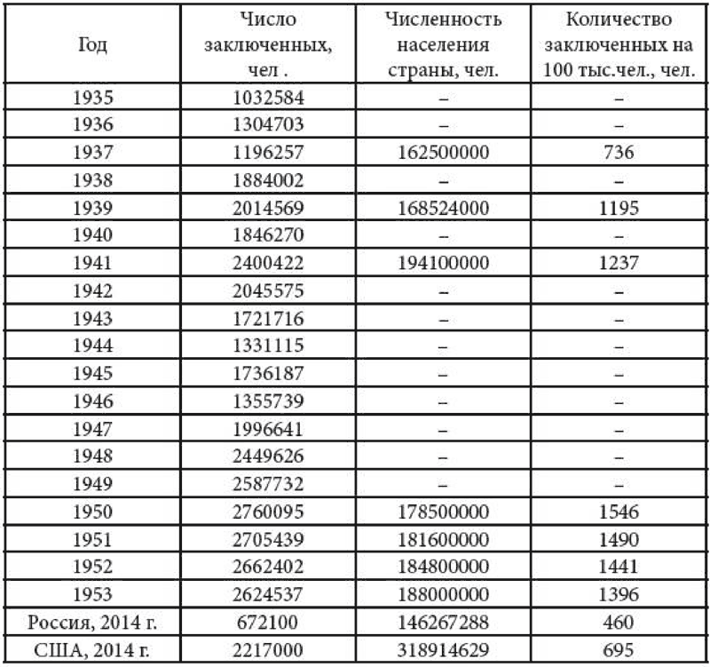
Многие заблуждаются, утверждая, что индустриализация была проведена за счет армии узников ГУЛАГа. Это полный абсурд, и динамика заключенных на 1 января представлена в таблице 1.6.
Таблица 1.6 – Динамика заключенных[8]

Максимальное количество заключенных было зафиксировано в 1950 г., оно составило 2760095 чел. На этот же год приходится максимум заключенных на 100 тысяч населения – 1546 чел. Сейчас число заключенных в России и США соответственно составляют 460 и 695 человек на 100 тысяч населения. Это конечно меньше уровня СССР в 1950 г., однако, в США число заключенных в относительном измерении приближается к величине 1937 г. И пока не замечено упреков в экономическом господстве США за счет эксплуатации заключенных. Кроме того, система ГУЛАГ не занималась производством высокотехнологичной продукции, а работники из числа заключенных привлекались лишь к малоквалифицированному труду.
Денежную систему страны в момент индустриализации, да и в поздние периоды можно охарактеризовать как двухконтурную. Наличные средства обслуживали операции купли-продажи у населения, предприятия оперировали безналичными рублями. Вот такую характеристику безналичным деньгам дал Валентин Катасонов: «Они были некой условной единицей, с помощью которой велось планирование распределения всех видов ресурсов в экономике, учет и контроль их использования, поддерживалась дисциплина договорных отношений между предприятиями. Например, нарушение договоров поставки продукта одним предприятием другому могло приводить к тому, что второе предприятие не акцептовало (не одобряло) платежные требования первого. В результате первое не получало безналичных средств на свой банковский счет, а это во времена Сталина рассматривалось как серьезное ЧП. Это был достаточно четкий механизм распределительных отношений[9]».
Переток безналичных средств в наличные строго ограничивался, что позволяло не допускать инфляции при постоянно растущей денежной массе. Предприятия могли получать наличные средства в целях выплаты заработной платы или покрытия расходов от командировок. В рыночной системе границы между контурами были размыты. Предприятия могли обналичить свои средства в обслуживающем банке с указанием причин, или того хуже – через специальные отмывочные конторы. Это приводило к неконтролируемой инфляции и сокрытию налогов от государства.
Непосредственно за эмиссию денежных средств отвечал Государственный Банк. При строительстве предприятия на его счета поступали кредитные ресурсы Госбанка, источником которого выступал бюджет. В случае нехватки средств осуществлялась дополнительная эмиссия под конкретный проект. В настоящий момент такой механизм кредитования именуется проектным финансированием, и он будет рассмотрен в девятой главе.
Сталинская экономическая система допускала и предпринимательство. Так, доля частного бизнеса составляла от 6 до 8 % от суммы товаров народного потребления. Стоит отметить наличие огромного количества частных мастерских по пошиву одежды, обуви, изготовлению ювелирных и скобяных изделий. Практически все мягкие игрушки шились в частных организациях. Вот что по этому поводу пишет Михаил Козырев: «Сталин победил в схватке за власть в советской верхушке, НЭП был свернут. Началась индустриализация и коллективизация. Казалось бы, частный бизнес должен был быть ликвидирован, а те, кто им занимались, поголовно отправлены рыть каналы. Но нет… В сталинские десятилетия в СССР процветали так называемые кустари и их артели, если говорить простым языком – разного рода малый и очень малый бизнес, что в свете устоявшегося мнения об СССР 1930–1950-х гг. как о тоталитарном государстве, безжалостно подавляющем любые ростки самостоятельности и инакомыслия (в экономике, политике, искусстве), выглядит несколько неожиданно. Но фактом остается то, что в конце 1940-х – начале 1950-х гг. разного рода малым частным предпринимательством занимались сотни тысяч, если не миллионы человек. Конечно, кустари как классово чуждый и априори сомнительный элемент находились под чутким надзором органов. Но команды на тотальную ликвидацию этого слоя так и не поступило»[10].

