
Карнавал молекул. Химия необычная и забавная
Этот пример вселял надежду, что можно получить более сложные конструкции, если в структуру молекулы вводить не один, а несколько ионов металла. Металлы полностью оправдали возлагаемые на них надежды, но, для того чтобы они могли проявить свои «творческие способности», потребовалось несколько изменить строение лигандов.

В рассмотренных ранее фенантролине и бипиридиле атомы азота расположены рядом, в результате катион металла координирует одновременно два атома N в каждой молекуле. Задумаемся, что произойдет, если атомы N отодвинуть друг от друга? Такие молекулы существуют: например, диазапирен (рис. 1.51).

Тем самым мы создадим определенные затруднения для катиона металла, поскольку ему необходимы четыре атома N для заполнения координационной сферы. Вполне естественно, что он присоединит четыре молекулы лиганда, а оставшиеся на противоположных концах незанятые атомы N будут заполнять координационную сферу других таких же катионов. Упростим схему, обозначив молекулы диазапирена стрежнями, а катионы металла – шариками (рис. 1.52).

Напомним, что полученная конструкция не плоская, поскольку связи от катиона Cu+ направлены к вершинам мысленного тетраэдра. Итак, мы получили разветвленную заготовку, но в свободном виде она не существует. В процессе синтеза такие заготовки сразу соединяются через ионы Cu, образуя каркасы, которые, что особенно интересно, взаимно пересекаются как катенаны (рис. 1.53), в итоге получается многослойная кольчугоподобная конструкция.
Примечательно, что, как только химики стали включать катионы металлов в структуру получаемых соединений, исчезла необходимость планировать все стадии синтеза, разрабатывать стратегию замыкания колец и т. п. Все проходит в одну стадию, причем металл сам «командует» процессом сборки конструкции.

У каждого металла свой «характер», в чем можно убедиться, если заменить катион меди в показанном выше синтезе катионом серебра. При использовании того же самого диазапирена возникнет совсем иная конструкция – плоские слои, сложенные как вафли (рис. 1.54).
Все дело в том, что, в отличие от катиона Cu+, у катиона Ag+ в координации с азотом участвуют только два атома N и располагаются они на одной прямой.

Цепочки, содержащие катионы Ag+, сформированы с помощью координационных связей (показаны пунктирными линиями). Картина меняется, если катионы Ag+ дополнительно связать обычными связями за счет взаимодействия с карбоновой кислотой. В качестве лиганда, как и в предыдущих случаях, было взято соединение с двумя координирующими атомами N – это несколько измененный бипиридил (рис. 1.55). Кроме того, в систему была введена дикарбоновая кислота, которая с помощью карбонильных групп должна была связывать атомы Ag обычными (некоординационными) связями.

В результате каждый атом Ag оказался соединенным с одной из карбоксильных групп и, кроме того, образовал две координационные связи с двумя атомами N. В качестве промежуточного фрагмента возникает трехлучевой блок (рис. 1.56), который объединяется с подобными блоками, образуя конструкцию, для которой трудно подобрать определение: более всего она похожа на гимнастические брусья. Такие «брусья» взаимно пересекаются по типу катенана, т. е. могут независимо перемещаться в определенных пределах, но не могут быть разъединены без разрыва связей. Для большей наглядности на рисунке пересекающиеся «брусья» отличаются цветом.

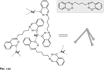
В рассмотренных нами примерах катион Ag+ образует две координационные связи с двумя атомами N. С другими лигандами он может образовывать больше связей. Например, с атомом О фенольного гидроксила – ОН он может образовывать три координационных связи. Для того чтобы атом О мог проявить свою повышенную координирующую способность, необходимо отодвинуть от него атом Н, эту роль берут на себя атомы N, которые образуют с Н так называемые водородные связи (изображены на рис. 1.57 тремя точками). Таким образом, роль атомов N, в отличие от предыдущих случаев, подсобная. На рисунке лиганд с водородными связями показан на фоне серого прямоугольника, он содержит на концах молекулы две НО-группы, присоединенные к бензольным ядрам. Катион Ag+ окружает себя тремя такими группами, а группы НО на противоположных концах лигандов координируют другие катионы Ag+. Образуется трехлучевая структура, которая показана упрощенно: шарики – катионы Ag+, цилиндрические палочки – молекулы лиганда. Конструкция имеет форму пирамиды.

Такие трехлучевые фрагменты соединяются, однако получающаяся конструкция иная, нежели в предыдущем случае. Образуются спаянные между собой деформированные шестиугольники, которые объединяются во взаимно пересекающиеся слои, для наглядности эти слои различаются по цвету. Возникает кольчугоподобная конструкция, которую, пожалуй, можно сравнить с кроватной панцирной сеткой (рис. 1.58).

Можно предположить, что химики совсем не планировали получить столь необычную конструкцию, процессом сборки «командовала» природа, зато ученые были удовлетворены результатом.
Кому все это нужно?
Сколько усилий было затрачено при получении этих молекул, сколько разочарований и моментов торжества! Но неужели это только для того, чтобы продемонстрировать возможности химии? Все обстоит немного иначе. Подобные исследования всегда начинаются в результате естественной потребности пытливого ума решить во что бы то ни стало необычную задачу. Оттачивая мастерство в планировании эксперимента и искусство синтеза, ученые получают нужный результат. Тем не менее все рассмотренные структуры интересны не только как результат воображения и фантазии химиков. Новые соединения в большинстве случаев имеют интересные и полезные свойства. Так, оказалось, что катенаны существуют в живой природе. У некоторых биологических объектов – например митохондрий – часть молекул ДНК имеет катенановое строение. Разработанные стратегии и методики синтеза катенанов позволили биохимикам приступить к созданию молекул ДНК с подобной геометрией, чтобы изучать действие различных ферментов (биокатализаторов) на процессы, протекающие в живой клетке.
Все рассмотренные нами катенаноподобные молекулы были, образно говоря, сплетены из «проволоки», представляющей собой одиночные цепочки атомов металлов, углерода и др. В настоящее время обсуждают возможность получения подобных конструкций, где роль «проволоки» или, точнее говоря, «веревки» будут играть жгуты молекул ДНК. Это направление обещает интересные результаты, которые со временем могут быть использованы в биохимии.
Катенаноподобные структуры перспективны и в областях, далеких от биохимии, например в микроэлектронике, причем не в роли некоторых дополнительных усовершенствований, а для решения самых насущных проблем.
Рассмотрим подробнее пример того, как отработанное мастерство в «хитросплетении» молекул может принести реальную пользу. Упоминавшийся ранее Ф. Стоддард (создатель борромеевых колец) сумел решить одну важную задачу. Все дело в том, что современные компьютеры, поражающие нас быстродействием и компактностью, подошли к пределу своих возможностей. На сегодня техника достигла минимального размера ячеек памяти и максимального количества вычисляющих элементов в одном кристалле кремния. Переход от современных устройств к ячейкам памяти, где носителями информации служат отдельные молекулы, позволит увеличить плотность записи информации в десятки раз. Решение было найдено при использовании катенаноподобных структур, точнее ротаксанов. Напомним, что ротаксаны – конструкции, когда на молекулу-гантель насажена кольцевая молекула, причем объемные заглушки на концах гантели не позволяют кольцевой молекуле соскользнуть с оси, – относят к классу катенанов.
В качестве основы была выбрана цепочка полиэфира, в структуру которого были встроены два фрагмента дифенила – С6Н4–С6Н4–, рядом с одним из них находятся две аминогруппы NH, а рядом с другим – два атома О (рис. 1.59, молекула А). Второй компонент представляет собой цикл, собранный из четырех молекул пиридина и двух бензольных колец (рис. 1.59, молекула Б). Самое важное, что циклическая молекула представляет собой четырехзарядный катион (положительный заряд на атомах N).

Далее сквозь кольцевую молекулу Б «продернули» линейный полиэфир А и на концах поместили объемистые заглушки из нескольких фенильных групп, чтобы кольцо не соскользнуло с оси (серые эллипсы на рис. 1.60).

Поскольку кольцо имеет положительный заряд, то оно выбирает на оси то место, где находится наиболее сильный донор электронов, – это фрагмент – NH – С6Н4–С6Н4–NH– (доноры электронов – атомы азота). Ситуация меняется, если систему подкислить, т. е. добавить ионы водорода Н+. Эти ионы водорода присоединяются к аминогруппам NH в молекуле А, превращая их в NH2+. В результате этот фрагмент перестает быть донором. Кольцевая молекула в поисках другого донора перемещается к фрагменту – О – С6Н4–С6Н4–О–, донорная способность которого ниже, чем у – NH – С6Н4–С6Н4–NH–, потому-то цикл вначале его «не замечал» и только после подкисления системы «нашел». Если систему вновь сделать нейтральной, цикл вернется на прежнее место. Перемена знака заряда на аминогруппах во фрагменте – NH – С6Н4–С6Н4–NH– возможна не только при изменении кислотности среды. То же самое происходит при воздействии на систему внешнего электрического потенциала, изменяемого с + на –.
Таким образом, получился молекулярный челнок, который занимает два крайних положения (обозначено сдвоенными стрелками на рис. 1.60), в зависимости от внешнего воздействия. По существу, это молекулярный переключатель, фиксирующий два логических положения – 0 или 1, – лежащих в основе всех электронно-вычислительных схем.
Чтобы всю эту систему сделать более технологичной и доступной для производства, Ф. Стоддарт немного изменил состав линейной молекулы, введя определенные группы, помогающие создать на основе полученного соединения ориентированные пленки. Результаты он опубликовал, как можно было ожидать, в журнале Nature. Уже появились сообщения, что на основе этой идеи удалось изготовить первый опытный образец работающего блока памяти, который может хранить 20 кбайт информации на площади в 100 раз меньшей, чем срез человеческого волоса. Можно полагать, что это этап нового века молекулярной электроники. В 2016 г. Ф. Стоддарт (совместно с упомянутым ранее Ж. Саважем) получил Нобелевскую премию.
Соединения типа печати Соломона, по мнению ее создателей, могут быть использованы при изготовлении материалов для бронежилетов, а также как препараты для очистки воды от примесей и загрязнений.
Молекулы-узлы и кольчугоподобные структуры считаются перспективными для создания на их основе «транспортных» оболочек для лекарств длительного действия, а также использования в качестве молекулярных проводников нового типа для микроэлектроники.
Катенаны и ротаксаны перспективны для создания различных подвижных молекулярных устройств – микромоторов, микротележек, что удалось показать в своих работах третьему лауреату Нобелевской премии по химии 2016 г. – химику из Голландии Бернарду Лукасу Феринге. Такие конструкции могут быть использованы при создании компьютеров нового типа.
И все же нельзя не упомянуть об эстетическом удовольствии, которое получает химик, когда удается спланировать и реализовать получение таких молекул.
Наилегчайшие вещества
Наилегчайший путь к самоуважению –
это научиться распознавать
мельчайшие недостатки других.
ЮРИЙ ТАТАРКИНРечь далее пойдет не о газах, которые легче воздуха (например, водород, гелий, метан и др.), а о соединениях, которые содержат крупные блоки органических соединений и к тому же атомы различных металлов. Поскольку далее мы будем говорить об объемах, попробуем решить несложную задачу.
Вода – помощник в измерениях
Имеется бутылка с плоским дном и сужающимся горлом, она примерно наполовину заполнена водой (рис. 1.61). С помощью линейки (с нанесенной сантиметровой шкалой) необходимо определить объем бутылки. Доливать воду или выливать нельзя. Вычислить площадь донышка бутылки не составит труда, следует измерить диаметр донышка и провести расчет по известной формуле

Измеряем высоту жидкости в бутылке (А) и, умножив эту величину на площадь дна, определяем объем жидкости. Затем переворачиваем бутылку вверх дном (предварительно заткнув пробкой ☺) и измеряем высоту пустой части бутылки от уровня жидкости до дна (Б). Умножив эту высоту на площадь донышка, узнаем объем пустой части бутылки. Сложив полученные величины, узнаем объем всей бутылки.

Кипящие камни
Химики часто используют подсказки природы, но только решают те же самые задачи разнообразнее и масштабнее. В 1756 г. шведский химик Аксель Фредрик Кронштедт, исследуя свойства алюмосиликатного минерала стильбита, обнаружил, что при нагревании он вспенивается и выделяет воду. Позже были найдены другие подобные минералы – их назвали «цеолиты», что в переводе с греческого означает «кипящие камни». Это алюмосиликаты переменного состава, содержащие кристаллизационную воду, их состав описывают общей формулой (МО)x(Al2O3)(SiO2)y(H2O)y, где М – щелочные или щелочно-земельные металлы. Чтобы сделать их пригодными для дальнейшего использования, т. е. активировать, эти вещества нагревают в течение 4–5 часов при температуре 350–450 °С, удаляя из них кристаллизационную воду. В результате образуется структура (рис. 1.62), в которой огромное количество сквозных внутренних каналов диаметром около 4 ангстрем (1 ангстрем = 10–10 м).

Благодаря присутствию катионов щелочных металлов природные цеолиты способны обменивать ионы кальция, содержащиеся в воде, на натрий, поэтому их использовали для уменьшения жесткости воды. Со временем были созданы синтетические аналоги природных цеолитов, на сегодня получены уже сотни различных типов, и их возможности заметно расширились.
Изменяя условия синтеза, химики получили соединения с различными ионами металлов и разнообразными пространственными решетками. В некоторых структурах есть не только каналы, но и полости различного размера – в итоге пустой внутренний объем таких соединений становится очень большим. Синтетические цеолиты оказались эффективными поглотителями различных веществ (адсорбентами): с их помощью, например, проводят глубокую осушку жидкостей и газов. Существующие методы позволяют получать цеолиты с порами определенного размера, которые поглощают только определенные молекулы, – эти системы часто называют молекулярными ситами.
Конец ознакомительного фрагмента.
Текст предоставлен ООО «ЛитРес».
Прочитайте эту книгу целиком, купив полную легальную версию на ЛитРес.
Безопасно оплатить книгу можно банковской картой Visa, MasterCard, Maestro, со счета мобильного телефона, с платежного терминала, в салоне МТС или Связной, через PayPal, WebMoney, Яндекс.Деньги, QIWI Кошелек, бонусными картами или другим удобным Вам способом.
Приобретайте полный текст книги у нашего партнера:

