
Дополнение к собранию сочинений. Выпуск 2. Открой зеленую дверь, в белой стене. И ступи на лунно-звездную дорожку. Под музыку небесных сфер

Дополнение к собранию сочинений. Выпуск 2
Открой зеленую дверь, в белой стене. И ступи на лунно-звездную дорожку. Под музыку небесных сфер
Валерий Асадов
© Валерий Асадов, 2022
ISBN 978-5-0056-0540-5 (т. 2)
ISBN 978-5-0055-1387-8
Создано в интеллектуальной издательской системе Ridero

Рис. 1. Посвящаю эту книгу Великим Сестрам Мойр (Парки). С большим уважением, благодарностью и любовью. Слева Матрица (Морица), справа Информация (Иоланта), вверху старшая сестра (Морена).
291 604 086 700 лет от рождения Мира.

Рис.2. В знание сила. А книги и есть источник знаний. Поэтому книга и есть настоящий источник силы.
Куда держишь путь человек?
Ищу знания, и суть всего.
Тогда ты не путник, а Странник.
Да коснется тебя Рука и
Благословенье Божье.
И да помогут тебе Великие Сестры.

Рис. 3. Странник.
1. Аннотация
Это вторая книга Дополнений к моему пятитомному собранию сочинений. И последняя книга.
Книга: « Эссе.» Эта книга написана о том, что все в нашей жизни определено, и что прежде чем что то совершиться в вашей жизни, нужны три причины, не меньше, не больше, и когда они сойдутся вместе (они наступают по очереди), то произойдет решающие событие в вашей жизни. Это все показано на основе решающих событий моей жизни как наглядной пример. Вы тогда вполне сможете (если хорошо подумаете конечно) подстелить соломку или подложить матрас себе. А то больно будет. Да и не забывайте, что существует закон «Баланса», который говорит, что за все надо платить!!! И вот он играет очень большую роль в нашей жизни. Именно он может кардинально изменить, и кстати меняет причем очень сильно нашу с вами жизнь. Особенно плотские удовольствия, надо соблюдать все же норму, если не хотите плохо кончить. Кстати внимательно посмотрите судьбу многих известных звезд, как хорошо жили, и как плохо все одинаково закончили, интересно да? Написано, но будет издана, только тогда, когда будут к этому нужные условия.
Старый текст идет мелким шрифтом, а новый текст обычном шрифтом. Мелким шрифтом идут и взятые статьи других авторов из сайтов. Статьи других автор приводит как специалистов, для того чтобы было более понятно и убедительно. Специалист, он и есть специалист и к тому же он и профессионал в своем деле, как не говори!
Все о чем сказано в этой книги (и других также) является правдой и реальностью, конечно неприятной, то такова жизнь, другой нет и не будет. Конечно можно жить так как живет абсолютное большинство людей. Как разумный человек или как растение. Это личное дело и личный выбор, каждого человека и это его законное и священное право. Вы сами выбираете ту реальность, и тот образ жизни в которой Вам же и жить, и существовать. Именно существовать. Или жить, полный жизнью. Каждый выбирает свой путь сам, и только сам. Каждому свое, а … …!
1. Дополнения к первой книги

Рис.4.
Быть русским означает не только быть готовым к концу света, но и также иметь определённые планы на потом.
Игорь Курчатов
6.27. Вычисление информационный емкости во всей нашей Вселенной. А также вычисление значение и величины обшей Энтропии Вселенной
При вычисление информационной емкости нашей Вселенной (именно нашей, так как в большой вселенной их очень много соседних вселенных, так же как и зерен (зародышей) вселенных, которые плавают в безбрежном океане), надо учитывать некоторые моменты! Которые очень сильно, и критично влияют на вычисления информационной емкости содержащийся в нашей Вселенной. Но которые ученые совсем не учитывают это, они пользуются в физики, космологии и астрофизики такими расплывчатыми данными, такими как: «Это возможно имеют такие значения» или «Возьмем условные параметры» или «Может это быть так», и на основе этих современных возможно-условных значений и параметров, эти ученые строят свои гипотезы и теории, и потом с успехом пытаются еще их решать, а вот не получается ни как у них. Например на основе ошибки в вычислениях Цвикки (который как раз и применил их типично условный параметр) в вычислений значений оптическую и вириальную массу скоплений галактик Волосе Вероники. Он малость ошибся в возрасте Вселенной (а постоянная Хаббла обратно пропорциональная величину этому возрасту) и придумал скрыть свою ошибку какой то темной материи. И вот сейчас современные ученые (тысячи если не десятки тысяч) ломают голову над этой фиктивной иллюзорной проблемой, ищут черную кошку в темной комнате, а ее там не когда и не было. Это повсеместная и очень заразная беда, всех так называемых интеллигентов и интеллектуалов, но надо им же, хоть над чем то думать, причем о таком большом, прекрасном и возвышенным. Да уж Ни когда не хотел и не хочу быть точно таким как эти современные ученые! Лучше быть без степени и графоманом, чем быть такими, как эти титулованные и Остепененные Особы!
6.27.1. В первых: Надо учитывать то, какая реальная наша модель Вселенной: Согласно решениям уравнений Фридмана, она имеет такие свойства и параметры:
1. Космологический член отталкивания равен =0.
2. Индекс кривизны равен =0.
3. Радиус кривизны равен = бесконечности.
4. Давление рано =0.
5. Безразмерное ускорение равно =1/2. (параметр замедления)
6. Расширение Вселенной бесконечно и неограниченно.
7. Наш мир и его геометрия пространство является Евклидовым.
6.27.2. Во вторых: Надо учитывать, что в связи с расширением нашей Вселенной, многие ее параметры изменяются со временем. Вот таблица некоторых параметров Вселенной от ее рождения до настоящего времени:

Таблица №1. Формул динамической временной физики.

Таблица №1. Продолжение. Формул динамической временной физики.
6.27.3. В третьих: Надо так же учитывать, что некоторые так называемые константы и постоянные, на самом деле имеют привычку менять свои значения со временем. Это, например такие постоянные, как:
1. Постоянная Больцмана меняется со временем, которая вычисляется согласно формуле, в которую входит постоянная Авогадро.

2. Постоянная Авогадро, которая также изменяется согласно времени по выведенной формуле:

И если подставить вычисленные значения параметров нашей Вселенной то получим, точно же такое значение, ранее как полученную экспериментально. Выведенное значение постоянной Авогадро
по формуле (14), идентично значению полученную экспериментальным путем.

Здесь меняются две величины – это моль водорода и возраст Вселенной. Основная величина – это время. Вначале это была маленькая величина, с возрастом эта величина увеличивается. Изменяются также и другие величины, термодинамические со временем.
6.27.4. В четвертых: Надо так же учитывать, что согласно плотностно -временной классификации частиц, элементарных частиц всего четыре: Это протон, электрон, фотон и два вида нейтрино.
Планкеон – это особая или, вернее, фундаментальная частица.
Планкеон распадается на протон и электрон.
А после одной секунды, это нейтрон распадается на протон и электрон, то есть, нейтрон относиться к возбужденным частицам.
2. Второй сорт частиц это кванты энергии – фотон, нейтрино. У них нет ни плотности, ни размеров, но они стабильны.
3. И третий сорт частиц (возбужденные частицы) – это барионы, мезоны и другие. Плотность у них нужно связывать со временем жизни частиц.
Такая связь есть, где l – приведенная длина, равная 0.248626 метр и если произвести расчет, то получится, где

Рис. 5
то протон, электрон, фотон и два вида нейтрино. А вот все остальные частицы являются возбужденными, и все. И их формулы находятся в таблице №. 1.
Масса протона формула 10. Эта формула показывает, как изменяется масса протона от времени, то есть чем больше возраст Вселенной, тем меньше масса протона. И эта формула показывает прямую зависимость изменения масса протона от массы Вселенной.
Плотность протона формула 11.
Плотность нейтрона и всех остальных возбужденных частиц формула 12.
Радиус нейтрона и всех остальных возбужденных частиц формула 13.
Обозначение величин к формулам (1) и (2):
ml – масса планкеона, равная 1,539*10^-5 грамм
mp – масса протона. Планкеон – это протон, со временем уменьшающийся в массе,
Tm – возраст Вселенной – время, в течение которого планкеон – протон меняет свою массу,
Tgr, – 1 сек – время раздела метрик пространства, времени и материи. Это не случайная граница времени, у неё есть еще свойства и эффекты,
g – гравитационная постоянная, равная 6, 671967*10—8 см^3/ грамм*сек^2
c – скорость света,
h – постоянная Планка,
R – радиус тела, расстояние до точки измерения времени,
r – Гравитационный радиус тела. Когда R – радиус тела станет меньше г. р, то время станет отрицательным,
a – Викториальная постоянная, равная 1,4711*10^9 грамм*сек/ см^2
v – Скорость,
M – Масса тела.
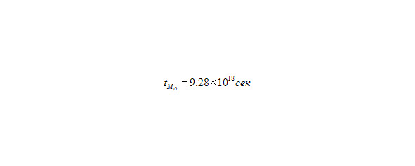
Tm- Возраст Вселенной – сейчас =291 604 086 700 лет, или 9,28*10^18 сек

Рис.6.
Mo-Масса Вселенной – сейчас =1,857*10^57 грамм
h-постоянная Планка
c-скорость света
tl-время рождения Вселенной – 7,6234*10^-44 сек
g-константа воспроизводства -3.1083*10^33 грамм^2
6.27.5. В – пятых, в Таблице 16. приведены все постоянные и константы, которые на самом деле постоянные. И которые, нам кажутся постоянными на данный момент времени, но на самом деле, являются переменными константами (постоянными) во времени

Таб. 2.

Таб. 2.1. Продолжение

Таб. 2.2. Продолжение

Таб. 2.3. Продолжение Это формулы задействованые и примененные автором в Динамической временной физики.
6.27.6. Теперь можно, наконец, перейти к вычислению информационной емкости нашей Вселенной. Задействуем точные вычисленные значения (а не те общепризнанные, которые приблизительные, возможные и условные), которые вычислены по формулам Динамической Временной Физики Таблица 1, которая показала на протяжение более сорока лет, свою действенность, точность в вычислениях, эффективность и правильность.

Рис. 7.

Рис. 8. формула Бекенштейна—Хокинга для энтропии черных дыр,
Вот, а теперь вставим точные значения параметров нашей Вселенной на настоящее время:
Масса Вселенной на настоящее время =1,857*10^57 грамм
Возраст Вселенной на настоящее время =291 604 086 700 лет, в секундах, это = 9,2021285*10^18 сек
Плотность Вселенной на настоящее время = 1,7475*10^-32 грамм/см^3
Расчет этой формулы, по данным динамической временной физики:

Рис. 8. формула Бекенштейна—Хокинга для энтропии черных дыр,

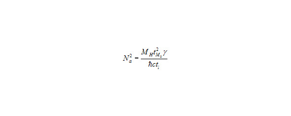
Рис. 9. Это первый способ вычисления информационной емкости Вселенной, по формула Бекенштейна—Хокинга для энтропии черных дыр, произведенный по данным полученным в Динамической временной физики.

Рис. 10.

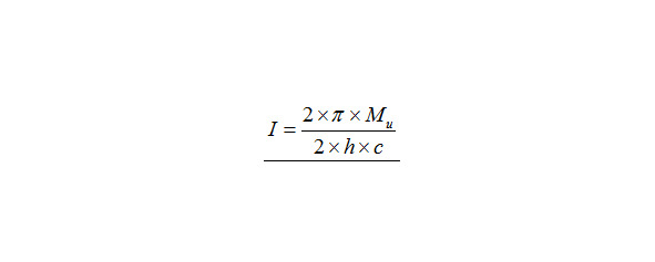
Рис.11. Расчет по этой формуле (это второй способ вычисления информационной емкости Вселенной) этой формулы, по данным динамической временной физики:

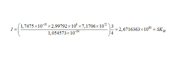
Рис. 12. По расчетам получается вот такое значение:

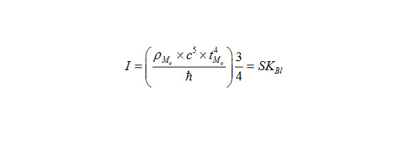
Рис. 13. А также вычислили значение и величину общей Энтропии Вселенной.

Рис. 14. Вот ее значение на данный момент:
где S-общая энтропия Вселенной, в которой доминирует материя, kB-постоянная Больцмана,
ρ – плотность материи Вселенной,
t-возраст Вселенной в настоящее время,
c-скорость света, и
ħ-приведенная постоянная Планка.
Это третий способ вычисление произведенный учеными на основе данных современной науки.
«В этой статье частично используется материал с сайта:
Мелвин Вопсон. https://habr.com/ru/news/t/584808/
https://aip.scitation.org/doi/10.1063/5.0064475
«Общее число частиц во Вселенной, точнее протонов, известно как число Эддингтона, NEdd, и оно было впервые рассчитано в 1938 г. Эддингтон подсчитал, что Вселенная содержит NEdd = 136 × 2256, или около 1,57 × 1079 протонов. Расчеты показывают, что наблюдаемая Вселенная содержит Nтот = 4 × 1080 частиц, что хорошо согласуется с числом Эддингтона, дающим только число протонов.
Каждая частица хранит Huqdqe = 1,509 бита информации, общее информационное содержание барионной материи в наблюдаемой вселенной составляет Nбит = Nтот × Huqdqe = 6,036 × 1080 бит. Это значение ниже, чем предыдущие оценки. Однако наш расчет относится только к информации, хранящейся в частицах, таких как электроны, протоны, нейтроны и составляющие их кварки.»
Это третий способ вычисления (автором на основе динамической временной физики) обшей емкости информации во всей Вселенной: Используя мысль Дирака, о том, что количество протонов во Вселенной можно узнать, разделив массу Вселенной на массу протона, то мы получаем согласно формуле (27) из Таблицы 4. Мы получим общее количество протонов во всей Вселенной равной =1,111*10^81 штучек. И если, то, что каждая частица хранит H = 1,509 бита информации, то получим, эта вся содержащаяся емкость информации во Вселенной равна:

Рис. 15. I=1,509*1,111*10^81=1,676499*10^81 bit, что и требовалось определить и вычислить.
А теперь сравним все три способа полученные на основе разных представлений и формул, а также, значение вычисленные учеными на основе современных данных:

Рис. 16. По первому способу:

Рис. 17. По второму способу:

Рис. 18. По третьему способу:
А это вычисления произведенные учеными на основе данных современной науки. Nбит = Nтот × Huqdqe = 6,036 × 1080 бит.
Как видим, по первому способу и второму разница небольшая всего в 1,448 раз. Есть разница и между этими результатами, вычисленными по данным полученными на основе формул Динамической Временной Физики и вычислениями произведенными учеными на основе данных современной науки. Разные методики дают немного разный результат, а это значит, что есть какие то не стыковки, и какие то ошибки в этих методиках. Или в коэффициентах. Ниже даны небольшие краткие выдержки из статьи в AIP https://aip.scitation.org/doi/10.1063/5.0064475
которые показывают большое значения такого понятия как информация, и ее физический, методологический и философский смысл. Это только начало, этой такой большой и очень интересный темы! Это как раз о том, что автор пишет в своих книгах. Но у автора все это упорядочена и приведено в стройную систему.
https://aip.scitation.org/doi/10.1063/5.0064475
1961 году Ландауэр первым предложил связь между термодинамикой и информацией, демонстрирующей, что цифровая информация-это не просто абстрактный математический объект, но на самом деле физические. Позже Ландауэр предположил, что Вселенная может быть гигантским компьютером, имитирующим саму себя, идея, получившая дальнейшее развитие в более поздних исследованиях Ллойда.
Уилер считал Вселенной состоит из частиц, полей и информации, предполагая, что все исходит из информации, заложенный в нем, т. е., «из капельки».
Ландауэра принцип и физической природы информации было недавно продемонстрировано, и это также стимулировало несколько новых исследований и новых концепций, включая информационный парадокс черных дыр и голографический принцип, возникающая гравитация, и квантованная инерция.
Другие исследования экстраполировали физическую природу информации для оценки массы информации, кульминацией стала недавняя публикация принципа эквивалентности массы-энергии-информации, и
Вопсон постулировал, что «информация» является пятой формой доминирующей материи во Вселенной наряду с твердой, жидкой, газовой и плазмой.
Эти радикальные теории основаны на принципе, что информация является физической, информация регистрируется физическими системами, и все физические системы могут регистрировать информацию. Соответственно, во Вселенной хранится определенный объем информации, независимо от того, наблюдается она или нет. Предполагаемое существование этой информации ставит некоторые фундаментальные вопросы о ней: «Почему во Вселенной хранится информация и где она находится?» и «Сколько информации хранится во Вселенной?»
Следовательно, в этой работе мы рассматриваем только информационное содержание, хранящееся в частицах материи, составляющих наблюдаемую Вселенную, но важно отметить, что информация также может храниться в других формах, в том числе на поверхности самой пространственно—временной ткани, в соответствии с голографическим принципом.
6.28. УСРЕДНЕННАЯ ТЕМПЕРАТУРА ВСЕЛЕННОЙ ПО СЛОЯМ ВРЕМЕНИ. РАСЧЕТ
Дополнение к книге. Том 2

Рис.19. Молчанье – щит от многих бед, А болтовня всегда во вред…
Омар Хайям
Хочешь жить – будь готов к неожиданностям.
Джеральд Даррел
3.2. Мужчины и женщины относятся к совершенно разным видам разумных существ
3.2.0.Наш Господь создавая каждый раз новую Вселенную, задает ей какую то определенную роль и цели в своих очередных Экспериментах и Изысканиях. Чтобы было более интересно, он дает и делегирует часть своих сил и возможностях своим помощникам, которым передает план построения конкретной Вселенной и ее частей, строения, материи (какой определенной элемент будет считаться основными и определяющим в данной Вселенной, например фтор вместо кислорода), биологических и других форм жизни. Создание физиологии, мышление и психологии разных видов в каждых областях, частей в галактиках. Например, для чего именно был создан конкретно человек, имеются ввиду только мужчины. У женщин совершенно другая роль, тем более по сравнению с мужчинами (низшими), они по своей сути являются более высшими существами, чем эти простые как табуретки, мужчины.
Немного придется рассказать о месте предполагаемым месте и назначение человечика.
3.2.1. Да это действительно так, мужчины и женщины относятся к совершенно различным видам разумных существ, причем взяты с разных планет и соединены совершенно искусственно.
В интернете много есть разных мнений на эту тему, с разными доказательствами, как и спорными, так и достойными доводами.

Рис. 20. При встречи с женщиной, забудь, что ты разумен.
3.2.2. А женщина это совершенный другое создание, и она относится к другому человеческому виду, которая давно уже прошла все эти виды рас. У нее уже может и 21 или 45 раса, к которой она относиться. Да и еще у тех женщин с той планеты с которой они взяты там другие совершенно мужчины, и с совершенно другими параметрами, так что мы, земные мужчины для этих женщин (и для наших женщин мы точно также выглядим) как кролики или мартышки. Так что Макс Фрай прав, когда описывал это в своей книге «Гнезда Химер».
«Для женщины красота важнее ума, потому что мужчине легче смотреть, чем думать»
Марлен Дитрих.
«Красивой женщине прощают не только глупость, но даже ум»
Аркадию Давидовичу.

