
Гравиполи. ТРИЗ

Гравиполи
ТРИЗ
Владимир Петров
© Владимир Петров, 2018
ISBN 978-5-4493-3084-0
Создано в интеллектуальной издательской системе Ridero
1. Введение
Гравиполи1 – это тенденции увеличения управляемости гравитационного поля тенденции, учитывающие способы управления веществом с помощью гравитационного поля и «управления» полем.
Под гравитационным полем в данной работе будем понимать силы гравитации, тяжести и вес тела. Под управлением будем понимать их увеличение или уменьшение.
Гравиполи можно использовать для осуществления и других действий, например, создания движения, силы, выработки и накопления энергии, удержания тела в определенном положении, повышения статической устойчивости, устранения вибрации, образования пленки, измерения и обнаружения различных параметров и т. п.
Первоначально мысли о разработке тенденции «управления» весом возникли у автора в начале 70-х годов при знакомстве с приемами разрешения технических противоречий, разработанных Г. С. Альтшуллером2. Прием 8 «Принцип антивеса» непосредственно описывает способы управления весом. В сентябре 1973 г. автор послал первый вариант наброска работы (отдельные линии и примеры)3 Г. С. Альтшуллеру и он, резонно сказал, что работа еще «сырая». Вторично к данной работе автор вернулся в середине 1980 г. познакомившись с тенденциями развития теполей4 и феполей5, разработанными
Г. С. Альтшуллером. К этому времени автор понял, что таким образом должны быть представлены закономерности развития по любому из полей. Автор неоднократно пытался дать эту тему своим ученикам, но, к сожалению, никто так и не выполнил эту работу. Первый вариант практически завершенной работы был сделан в сентябре 1989 г., но он не удовлетворил автора, и работа была приостановлена и завершена в декабре 1989 г.
Основная линия развития гравиполей показана на рис. 1.1.

1.1. Тенденция развития гравиполей
2. Основные физические принципы
Для лучшего понимания материала напомним общеизвестные физические истины.
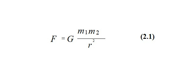
Сила тяготения описывается формулой (2.1)

Cила тяготения
Где
F – сила тяготения;
G – гравитационная постоянная;
m1, m2 – массы тел;
r – расстояние между телами.
Сила тяжести описывается формулами (2.2) и (2.3)

Cила тяготения

Cила тяготения

Ускорение свободного падения
Где
Fт – сила тяжести;
G – гравитационная постоянная;
M – масса Земли;
m – масса тела на поверхности Земли;
g – ускорение свободного падения;
R – радиус Земли.
Вес тела – это сила, действующая на опору или подвес (которые удерживают тело от свободного падения вследствие тяготения Земли). Вес тела, покоящегося в инерциальной системе отсчета, совпадает силой тяжести и описывается формулой (2.5)

Вес тела
Где
P – вес тела;
m – масса тела;
g – ускорение свободного падения.
Покажем возможности изменения веса тела.
1. Опора неподвижна или движется равномерно
Вес определяется по формуле (2.5)
2. Опора движется с ускорением

Вес тела
Где
P – вес тела;
m – масса тела;
g – ускорение свободного падения;
a – ускорение движения тела.
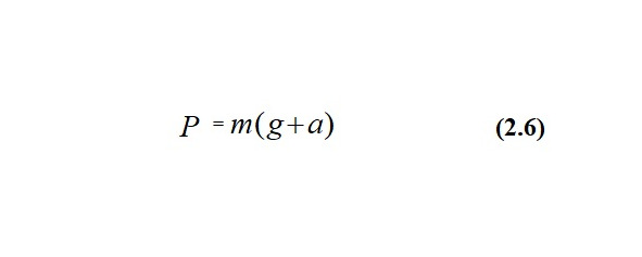
2.1. Ускорение направлено вверх – перегрузка.
При этом формула веса будет иметь вид (2.6)
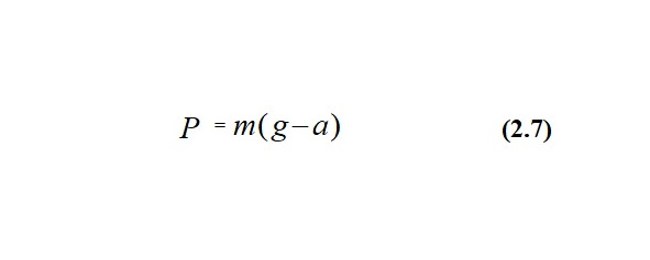
2.2. Ускорение направлено вниз – уменьшение веса.
Формула веса имеет вид (2.7)

Вес тела
3. Тело движется по окружности в вертикальной плоскости

Вес тела
Где
P – вес тела;
m – масса тела;
g – ускорение свободного падения;
V – скорость движения тела;
r – радиус окружности.
3.1. Тело находится в нижнем положении
Формула веса имеет вид (2.8)

Рис. 2.1. Тело в нижнем положении
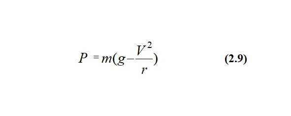
3.2. Тело находится в верхнем положении
Формула веса имеет вид (2.9)

Вес тела

Рис. 2.2. Тело в верхнем положении
4. Тело находится в различных средах
Формула веса имеет вид (2.10)

Вес тела
Где
P – вес тела;
Fa – сила Архимеда;
m – масса тела;
g – ускорение свободного падения.
Где

Сила Архимеда
Fa – сила Архимеда;
ρ – удельная плотность среды (жидкости или газа);
V – объем тела.
Сила Архимеда проявляется, когда тело непосредственно находится в среде.
5. На тело воздействует сила, увеличивающая или уменьшающая вес
3. Управление полем
3.1. Управление силой тяготения
В соответствии с формулой (2.1) силой тяготения можно управлять, изменяя массы тел или расстояние между ними.
Пример 3.1. Космический корабль
При значительном отдалении космического корабля от планеты на ракету почти не действует сила тяготения.
3.2. Управление силой тяжести
Силой тяжести, описанной формулами (2.2), (2.3), (2.4), можно управлять, изменяя массу тела и ускорение свободного падания.
Ускорение свободного падения «g» зависит от:
– высоты расположения тела над Землей;
– широты места;
– пород земной коры.
Пример 3.2. Навигационные приборы
В навигационных приборах вводят поправки от выше указанных параметров.
3.3. Управление весом
Управление весом можно осуществлять, изменяя массу тела и ускорение свободного падания, а, также создавая дополнительную силу, которая в зависимости от направления будет увеличивать или уменьшать вес.
По второму закону Ньютона сила описывается формулой (3.1).

Второй закон Ньютона
Дополнительная сила может быть любой природы.
Далее в этом разделе опишем возможные способы «управления» весом.
3.3.1. Движение с ускорением
3.3.1.1. Ускорение направлено вверх
Ускорение направлено в сторону противоположную весу, т. е. создается перегрузка («увеличение» веса) в соответствии с формулой (3.2).
Конец ознакомительного фрагмента.
Текст предоставлен ООО «ЛитРес».
Прочитайте эту книгу целиком, купив полную легальную версию на ЛитРес.
Безопасно оплатить книгу можно банковской картой Visa, MasterCard, Maestro, со счета мобильного телефона, с платежного терминала, в салоне МТС или Связной, через PayPal, WebMoney, Яндекс.Деньги, QIWI Кошелек, бонусными картами или другим удобным Вам способом.
Примечания
1
Петров В. М. Гравиполи. – Л.: 1989, 35 с. http://www.trizland.ru/trizba.php?id=110.
2
Альтшуллер Г. С. Алгоритм изобретения. – М: Моск. рабочий, 1973. – 296 с. http://www.altshuller.ru/triz/technique1.asp.
3
Петров В. М. Управление весом. – Л., 1973. (рукопись)
4
Альтшуллер Г. Тепловое поле – в механическое. Техника и наука, №1, 1981, С. 17—19. Альтшуллер Г. С. Тепловое поле — в механическое. – Дерзкие формулы творчества/ (Сост. А. Б. Селюцкий). – Петрозаводск: Карелия, 1987. – 269 с. (Техника – молодежь – творчество), с. 95—102.
5
Альтшуллер Г. Магия магнитных жидкостей. Техника и наука, №3, 1981, С. 13—14. Альтшуллер Г. C. Феполи могут все. – Дерзкие формулы творчества/ (Сост. А. Б. Селюцкий). – Петрозаводск: Карелия, 1987. – 269 с. (Техника – молодежь – творчество). – С. 103—109.
Приобретайте полный текст книги у нашего партнера:

