
Законы и закономерности развития систем. Книга 1
Оценку потоков можно проводить по:
– Полезности;
– Степени их выполнения.
Опишем оценку потока:
– По полезности:
– полезный;
– бесполезный;
– вредный;
– полезный и вредный.
– По степени выполнения полезности потока:
– достаточный;
– избыточный;
– недостаточный.
Полезный поток – поток, обеспечивающий работоспособность системы.
Бесполезный поток – поток, не создающий работоспособность системы. Иногда такие потоки называют лишними.
Вредный поток – поток, создающий нежелательный эффект.
Достаточный поток – поток, создающий необходимое (достаточное) действие.
Избыточный поток – поток, создающий избыточное действие.
Недостаточный поток – поток, создающий недостаточное действие.
Полезный и вредный поток – поток, обеспечивающий работоспособность системы и создающий нежелательный эффект вместе.
Пример 1.38. Холодильник
Бесполезный поток для потребителя – поток тепла от испарителя (задней части холодильника).
Вредный поток холодильника – поток (акустический) шума компрессора.
Достаточный поток холодильника – нормальный поток холодного воздуха внутри холодильника. Избыточный поток холодильника – это избыточный поток холодного воздуха (переохлаждение) – ниже требуемой температуры.
Недостаточный поток холодильника – недостаточный поток холодного воздуха, не позволяющий создать требуемую температуру.
Пример 1.39. Компьютер
Бесполезный поток – поток энергии, когда на компьютере не работают, а он включен. Поток электроэнергии в компьютере должен быть только тогда, когда вводится, обрабатывается и выводится информация. В остальное время компьютер впустую расходует энергию. Кроме того, поток энергии должен подаваться только к тем частям, которые в данный момент работают.
Вредный поток компьютера – поток электромагнитного излучения от компьютера и Wi-Fi, поток шума от вентилятора.
Достаточный поток – поток электроэнергии и информации, необходимый для нормальной работы компьютера.
Недостаточный поток – недостаточный поток электроэнергии и информации, необходимый для нормальной работы компьютера, например, разряженная батарея, когда происходит долгая обработка информации, например, при скачивании информации из Интернета.
Полезный и вредный поток – поток входной информации. Помимо полезного потока информации, этот поток может содержать и вредный поток, например, вирусы.
Пример 1.40. Автомобиль
Бесполезный поток – поток бензина, когда автомобиль стоит, а двигатель работает, например, на светофоре.
Вредный поток – поток углекислого (выхлопного) газа, выбрасываемого в атмосферу, загрязняя окружающую среду.
Достаточный поток – поток бензина, обеспечивающий нормальную работу автомобиля.
Избыточный поток – поток бензина, избыточно поступающий в двигатель, приводящий к его перерасходу.
Недостаточный поток – поток бензина, не обеспечивающий нормальную работу автомобиля.
1.9. Системный подход
1.9.1. Системное мышление
Системное мышление – это мышление, которое использует системный подход и является одним из элементов изобретательского мышления.
Системный подход – рассмотрение объекта как целостного множества элементов в совокупности отношений и связей между ними, то есть рассмотрение объекта как системы.
Системный подход должен использоваться как при анализе, так и при синтезе систем.
При системном анализе рассматривает систему не изолированно, а как совокупность взаимосвязанных элементов, имеющую связь с надсистемой и внешней средой и влияние внешней среды на систему. Цель анализа выявить все составляющие элементы, взаимосвязи и взаимовлияния между ними, приводящие к определенным изменениям. Выявляются все взаимовлияния системы на подсистемы, на надсистему и окружающую систему, и обратное влияние надсистемы и окружающей среды на систему. Прослеживаются все закономерности изменений, функционирования и развития систем.
Системный синтез предусматривает создание сбалансированной системы, как внутри себя, так и с внешней средой.
Системный подход реализует требования общей теории систем, согласно которой каждый объект должен рассматриваться как большая и сложная система и, одновременно, как элемент более общей системы. Теория систем изучает различные виды систем, их функционирование и закономерности развития. Она была разработана Людвигом фон Берталанфи (Ludwig von Bertalanffy) в XX веке. Его предшественником был Александр Александрович Богданов, который разработал «всеобщую организационную науку» тектологию и предвосхитил некоторые положения кибернетики.
Основным объектом рассмотрения в системном подходе, теории систем, системном анализе и синтезе является система.
1.9.2. Анализ и синтез систем
Системный подход мы будем использовать для:
– анализа существующих систем;
– создания (синтеза) систем.
Под искусственными системами мы будем понимать:
– Продукт и/или услугу;
– Компанию, разрабатывающую и/или выпускающую продукт (услугу);
– Рынок, для которого делается продукт (услуга).
Анализ и синтез систем должны использовать системный подход.
Системный синтез систем должен осуществляться в следующей последовательности: выявление потребностей, функций, принципа действия и систем (рис. 1.3).

Рис. 1.3. Последовательность синтеза системы
Анализ системы осуществляется для:
– Определения потребности в данной системе;
– Выявления недостатков системы.
Определение потребности в системе осуществляется в обратном синтезу порядке (рис. 1.4):
– Анализ существующей системы, ее составных частей и процессов;
– Анализ принципа действия системы;
– Выявление главной, основных и второстепенных функций системы;
– Выявление потребности, которую удовлетворяет данная система.

Рис. 1.4. Последовательность системного анализа
Новую систему можно строить для существующих или альтернативных принципа действия, функций и потребностей.
В дальнейшем могут быть выбраны или разработаны альтернативные системы, использующие тот же принцип действия, или альтернативные системы, выполняющие ту же функцию, но с другим принципом действия, или альтернативные системы, удовлетворяющие данную потребность, но с другой главной функцией или выявление других потребностей и построение альтернативных систем, удовлетворяющие эти потребности.
Альтернативные принципы действия можно найти, используя различные виды эффектов и трансфер технологий. Альтернативные функции можно выявить, применяя закономерности изменения функций. Альтернативные потребности можно выявить, используя закономерности развития потребностей.
Закономерности изменения функций и развития потребностей будут изложены ниже в главе 7 прогнозирование.
На рис. 1.5 показана схема выявления альтернативных принципов действия, главных функций и потребностей для построения новых систем.

Рис. 1.5. Выявление альтернативных принципов действия, главных функций и потребностей продукта
Примечание. Под эффектами понимается не только физические, химические и биологические эффекты, но и технические эффекты, т. е. трансфер технологий.
1.9.3. Анализ выявления недостатков
Анализ системы для определения ее недостатков проводится в следующей последовательности (рис. 1.6):
– Компонентный анализ.
– Структурный анализ.
– Анализ функций.
– Диагностический анализ.

Рис. 1.6. Последовательность этапов системного анализа для выявления недостатков
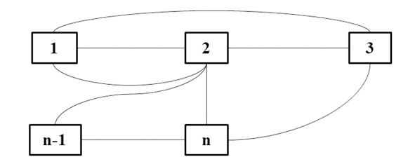
Цель компонентного анализа – построить компонентную модель. Компонентом мы будем называть любой элемент системы на всех иерархических уровнях: подсистемы, системы, надсистема и окружающая среда. На этом этапе выявляются все компоненты и записываются в таблицу.
Цель структурного анализа – построить структуру системы. Определяют все связи между компонентами. Для этого строят матрицу связей.

Таблица 1.1. Матрица связей
Примечание. Знаком «+» обозначено наличие связи.
Используя данные таблицы, строят графическую модель связей между компонентами (рис. 1.7).

Рис. 1.7. Модель связей
Цель этапа анализа функций – построить функциональную модель. На этом этапе определяют направление и характер действия, т. е. функции.
Таблица функций представлена в табл. 1.2.

Таблица 1.2. Функции элементов
Примечание. У одного элемента может быть несколько функций.
По таблице функций (табл. 1.2) строят графическую функциональную модель.

Рис. 1.8. Функциональную модель
Рис. 1.8. Функциональную модель
Цель диагностического анализа – построить диагностическую модель (табл. 1.3), т. е. оценить функции и потоки.

Таблица 1.3. Диагностическая матрица
По таблице диагностической матрицы (табл. 1.3) строят графическую диагностическую модель (рис. 1.9).

Рис. 1.9. Диагностическая модель
Итак, мы рассмотрели основные определения системного подхода: система, функция, иерархия и присущие им понятия: целостность, свойство, отношение, процесс. Кроме того, были введены понятия: антропогенная и техническая системы.
1.10. Системность
1.10.1. Общее представление
Понятие системности вытекает из системного подхода.
Системность – это свойство, заключающееся в согласовании всех взаимодействующих объектов, включая окружающую среду.
Такое взаимодействие должно быть полностью сбалансировано.
Объект будет выполнен системным тогда и только тогда, когда он отвечает следующим системным требованиям.
– Система должна отвечать своему предназначению.
– Система должна быть жизнеспособной.
– Система не должна отрицательно влиять на расположенные рядом объекты и окружающую среду.
– При построении системы необходимо учитывать закономерности ее развития.
Системные требования представляют собой составляющие закона увеличения степени системности (рис. 1.10).

Рис. 1.10. Структура системности
1.10.2. Предназначение системы
Предназначение системы описывается главной функцией системы, удовлетворяя определенную потребность.
1.10.3. Жизнеспособность
Жизнеспособность технической системы определяется ее работоспособностью и конкурентоспособностью.
Система будут жизнеспособна, если она работоспособна и конкурентоспособна.
Работоспособность — это способность выполнять заданную функцию с параметрами, установленными техническими требованиями, в течение расчетного срока службы32.
Другими словами, работоспособность – это качественное функционирование системы, т. е. качественное выполнение главной функции системы.
К параметрам работоспособности помимо качественного функционирования системы (в том числе надежности и долговечности) можно также отнести эргономические параметры (характеризуют соответствие товара свойствам человеческого организма).
Работоспособность определяется наличием необходимых элементов с требуемым качеством, наличием и качеством необходимых связей между элементами, организацией необходимых потоков с требуемым качеством.
Конкурентоспособность товара – способность продукции быть привлекательной по сравнению с другими изделиями аналогичного вида и назначения, благодаря лучшему соответствию своих качественных и стоимостных характеристик к требованиям данного рынка и потребительским оценкам33.
Конкурентоспособность конкретной системы определяется по сравнению с конкурирующей системой. Конкуренция зависит:
– от количества и качества выполняемых функций;
– стоимости данной системы;
– своевременности ее появления на рынке.
Помимо технических функций следует учитывать также эстетические и психологические.
Один из основных эстетических параметров – это дизайн продукта и упаковки, включая и цветовую гамму.
К психологическим параметрам следует отнести престижность привлекательность, доступность и т. п.
Теперь можно представить более детальную схему структуры системности (рис. 1.11), которая является структурой закона увеличения степени системности.

Рис. 1.11. Структура закона повышения степени системности
1.10.4. Отрицательно не влиять на окружение
Отсутствие учета таких влияний может не только отрицательно сказаться на работоспособности системы, но и вредно влиять на окружающие системы, надсистему и внешнюю среду.
1.10.5. Учет закономерностей развития
Системность так же учитывает и закономерности исторического развития исследуемого объекта. Это последнее требование системности. Оно учитывается при прогнозировании развития объекта исследования путем учета выявленных тенденций исторического и логического развития данного объекта, и учета общих законов развития систем. В результате получают общую тенденцию развития исследуемого объекта и концептуальное представление его следующих поколений.
Глава 2. Структура законов и закономерностей развития систем
Только тогда можно понять сущность вещей, когда знаешь их происхождение и развитие.
Гераклит Эфесский(544—483 гг. до н. э.)древнегреческий философ2.1. Общая структура законов и закономерностей развития систем
Система законов и закономерностей разбита на безусловные и небезусловные. Безусловные будем называть законами, а небезусловные – закономерностями. Безусловные – это те, не соблюдение которых приводит к неработоспособности системы. Небезусловные – это закономерности, которые реализуются только в определенных условиях, а при других условиях могут и не реализоваться.
Развитие любых объектов материального мира, природы, различных областей знаний, деятельности и мышления происходит по своим определенным законам.
Законы носят объективный характер, выражая реальные отношения вещей, а также их отражение в сознании.
Законы и закономерности развития систем могут быть:
– Всеобщие – это универсальные законы, справедливые для любой системы независимо от ее природы, вследствие единства материального мира. Самые общие из них – законы диалектики и закономерность S-образного развития;
– Законы и закономерности развития систем, присущие для всех антропогенных систем;
Структура законов и закономерностей развития систем представлена на рис. 2.1.

Рис. 2.1. Структура законов и закономерностей развития
2.2. Структура закономерностей развития систем
Законы и закономерности развития систем определяют требования к построению и развития систем.
Общее направление развития систем идет в сторону увеличения степени системности.
Законы и закономерности развития систем можно разделить на две группы (рис. 2.2):
– законы построения систем (определяющие работоспособность системы);
– закономерности эволюции систем (определяющие развитие систем).

Рис. 2.2. Схема закономерностей развития систем
Законы построения систем должны обеспечивать требования системности:
– предназначение;
– работоспособность.
Закономерности эволюции систем должны обеспечивать другие требования системности:
– конкурентоспособность;
– не влиять отрицательно на окружение;
– учитывать закономерности развития систем.
Структура законов построения систем будут изложены в главе 4, а закономерности эволюции в главе 5.
Глава 3. Всеобщие законы и закономерности развития
систем
3.1. Законы диалектики
3.1.1. Структура законов диалектики
Наиболее общие из законов диалектики, следующие:
– закон перехода количественных изменений в качественные;
– закон единства и борьбы противоположностей;
– закон отрицания отрицания;
Структура законов диалектики показана на рис. 3.1.

Рис. 3.1. Структура законов диалектики
3.1.2. Закон перехода количественных изменений
Закон перехода количественных изменений в качественные вскрывает общий механизм развития.
В процессе развития количественные изменения в системе происходят непрерывно. При достижении определенного предела совершаются качественные изменения. Новое качество ускоряет темпы роста.
Количественные изменения при этом совершаются постепенно (эволюционно), а качественные – скачком (революционно). Характер и продолжительность скачка могут быть разнообразными – длительными и кратковременными, бурными и относительно спокойными, с взрывом и без него и т. д.
3.1.3. Закон единства и борьбы противоположностей
Закон единства и борьбы противоположностей заключается в том, что все сущее состоит из противоположных начал, которые, будучи едиными по свое природе, находятся в борьбе и противоречат друг другу (пример: день и ночь, горячее и холодное, черное и белое, зима и лето, молодость и старость и т. д.).
3.1.4. Закон отрицания отрицания
Суть закона отрицания отрицания заключается в том, что процесс поступательного развития происходит в три стадии:
– исходное состояние системы;
– отрицание этого состояния и переход в другое состояние;
– отрицание данного состояния (отрицание отрицания) и возврат к исходному состоянию, но, как правило, на более высоком уровне с применением новых принципов действия, элементов, материалов, технологий и т. д.
Процесс развития происходит с относительной повторяемостью, как бы по пройденным ступеням – по спирали.
3.2. Закономерность S-образного развития
3.2.1. Общие понятия
Любая система проходит несколько этапов своего развития. Эти этапы графически можно представить в виде кривой (рис. 3.2).

Рис. 3.2. S – образная кривая роста
Где P – параметр системы, t – время
В качестве параметра «P» могут быть, прежде всего, главные характеристики системы, например, размеры, скорость, мощность, количество проданных товаров, продолжительность жизни, численность населения, количество популяций и т. д.
Вначале система развивается медленно (этап I), при достижении некоторого уровня развитие ускоряется (этап II) и после достижения некоторого более высокого уровня скорость роста уменьшается и в конечном итоге рост параметра системы прекращается (этап III). Это этап стагнации, который может продолжиться очень долго. Иногда параметры начинают уменьшаться (этап IV) – система умирает (на графике это изображено пунктирной линией).
Подобные кривые часто называют S—образными или логистическими (логиста).
Иногда этапы жизненного цикла представляю в виде шляпе-образной кривой (рис. 3.3).

Рис. 3.3. Шляпе-образной кривая развития
Где P – параметр, t – время
3.2.2. Огибающие кривые
Прекращение роста данной системы не означает прекращение прогресса в этой области. Появляются новые более совершенные системы – происходит скачок в развитии. Это типичный пример проявления закона перехода количественных изменений в качественные (п. 3.1.2). Такой процесс изображен на рис. 3.4.

Рис. 3.4. Скачкообразное развитие систем
На смену системе 1 приходит 2. Скачкообразное развитие продолжается – появляются системы 3, 4 и т. д. (рис. 3.5).

