
Методологические основы системы оздоровления детей

Аркадий Спартакович Медведев
Методологические основы системы оздоровления детей
Рецензенты:
заведующий кафедрой Медицинской реабилитации и физиотерапии БГМУ, доктор медицинских наук, профессор В. Г. Крючок;
заведующий кафедрой Общественного здоровья и здравоохранения БелМАПО, доктор медицинских наук, профессор Э. А. Вальчук
Предисловие
Уровень общественного здоровья определяется в первую очередь состоянием здоровья подрастающего поколения. В Республике Беларусь в последние годы на фоне неблагоприятной экологической и демографической ситуации показатели здоровья детского населения неуклонно снижаются. В настоящее время (согласно данным Минздрава Республики Беларусь) к 5 классу (дети 10–11 лет) количество здоровых детей снижается на 53,6 %, и только менее половины старших школьников могут считаться абсолютно здоровыми.
Неудовлетворительное положение со здоровьем детей обуславливает постоянные усилия государства по разработке разнообразных медико-социальных мероприятий, направленных на охрану здоровья детского контингента населения страны. Так, на протяжении нескольких лет реализовывается Президентская программа «Дети Беларуси». В общеобразовательных школах появились специалисты психологи и валеологи, что дало определенный положительный результат. Министерством образования Республики Беларусь совместно с Министерством здравоохранения Республики Беларусь осуществляются исследования по комплексной оценке воздействий учебных нагрузок и образовательной среды общеобразовательных учреждений на здоровье и функциональное состояние учащихся. Разработаны рекомендации по медико-педагогическому контролю за организацией учебно-воспитательного процесса в начальной школе и двигательного режима школьников в целом. Существенно активизировались в последние годы созданные Министерством здравоохранения Республики Беларусь центры и отделения медицинской реабилитации и профилактики. Однако приходится констатировать, что в силу ряда причин, и прежде всего из-за недостаточной методологической проработки и несовершенного методического уровня, отсутствия квалифицированных кадров и системы их подготовки, реальные возможности данных организаций существенно ограничены, а результаты усилий по охране здоровья детей нельзя признать удовлетворительными.
Особенно рельефно усилия государства по охране здоровья видны на примере детей, проживающих на территориях, подвергшихся негативному воздействию аварии на Чернобыльской АЭС. Одной из основных задач государственной политики в области преодоления последствий чернобыльской катастрофы спустя 20 лет является сохранение здоровья детей, проживающих на этих территориях. Устойчивое развитие медико-социального обеспечения пострадавших регионов является одним из приоритетов государственной политики. В послеаварийный период государством были выделены значительные финансовые средства на строительство новых медицинских учреждений на территориях, подвергшихся негативному воздействию аварии. Ежегодно 97–99 % проживающих здесь детей проходят профилактический осмотр. Более 90 организаций занимаются оздоровлением детей. В настоящее время в республике организовано бесплатное санаторно-курортное лечение и оздоровление 258,5 тыс. детей и подростков. А всего ежегодно санаторно-курортным лечением и оздоровлением в Беларуси обеспечиваются около 850 тыс. детей. Примером детских санаторно-курортных организаций, созданных для приема организованными группами «чернобыльских» детей, являются детские реабилитационно-оздоровительные центры. Они имеют все условия для организации санаторно-курортного лечения и оздоровления, учебно-воспитательного процесса, социально-психологической реабилитации и организации досуга детей. В рамках реализации Президентской программы «Дети Беларуси» в последнее время введены в эксплуатацию спальные лечебные корпуса детских реабилитационно-оздоровительных центров «Полоз», «Ветразь», «Лесная поляна», «Жемчужина», «Птичь», школы оздоровительных центров «Свитанок» и «Пралеска». Но, несмотря на определенную результативность медико-социальных усилий государства по охране здоровья детей, в последние годы ощущается настоятельная необходимость адаптировать накопленный теоретический и практический реабилитационно-оздоровительный потенциал страны к условиям и задачам сегодняшнего дня. Формирующаяся в последние годы в Республике Беларусь негативная тенденция в динамике эпидемиологической ситуации в целом, недостаточная эффективность медико-социальных мероприятий по снижению заболеваемости делают крайне актуальным поиск научно обоснованных путей сохранения и развития общественного здоровья. Как показала многолетняя практика, используемые сегодня организационно-методические принципы построения процесса оздоровления не позволяют добиться радикального перелома ситуации с общественным здоровьем. Это неизбежно предопределяет концептуальный пересмотр как методологических, так и методических подходов в организации работы по охране здоровья населения. Именно поэтому главой государства поставлены задачи по оптимизации, развитию и совершенствованию системы оздоровления в Республике Беларусь.
Решение проблемы охраны здоровья детей невозможно без последовательного формирования общегосударственной системы оздоровления детского контингента населения страны с выделением этой задачи в качестве самостоятельного, приоритетного направления государственной политики. Государственная отрасль оздоровления детского населения страны как перманентно действующая система должна опираться на научно обоснованные принципы структурно-организационного формирования и медико-социального технологического наполнения. Решение стоящих перед ней задач невозможно без концептуальной разработки новой методологии оздоровления, в рамках которой необходимо дать новую интерпретацию таким фундаментальным медико-биологическим понятиям, как здоровье и болезнь, лечение, реабилитация, профилактика и оздоровление. На основе положений теории адаптации следует разработать классификацию определения уровней здоровья и функциональных состояний в зависимости от степени напряжения регуляторных систем организма. Главная задача – разработка на основе фундаментальных клинико-физиологических подходов теоретических методологических основ направлений, принципов, механизмов организации и функционирования системы оздоровления детского населения страны в современных условиях. Именно это должно стать условием эффективной реализации комплекса мероприятий республиканскими и региональными органами власти, специализированными реабилитационно-оздоровительными и санаторно-курортными учреждениями, научными организациями различной ведомственной подчиненности, а также лечебно-диагностическими учреждениями Минздрава Республики Беларусь, направленных на повышение уровня здоровья детей. Предлагаемая методология оздоровления сформирована в большей части на существующей нормативно-правовой базе в рамках Концепции государственной политики развития санаторно-курортного дела в Республике Беларусь, главным стратегическим направлением которой является охрана материнства и детства, защита прав и охрана здоровья детей.
Предназначена для специалистов, работающих над проблемами минимизации медицинских последствий катастрофы на Чернобыльской АЭС, для руководителей органов всех уровней управления, учреждений здравоохранения, санаторно-курортных организаций реабилитационно-профилактического и лечебно-диагностического профиля различной ведомственной принадлежности, работающих в области детского оздоровления; монография может быть полезна практическим врачам-педиатрам, врачам санаторно-курортных, лечебно-оздоровительных организаций, а также научным сотрудникам при решении научно-практических задач, направленных на сохранение и приумножение здоровья детей. Автор выражает благодарность за оказанную помощь сотрудникам Министерства здравоохранения Республики Беларусь, Республиканского центра по оздоровлению и санаторно-курортному лечению, сотрудникам ГУ «Республиканский научно-практический центр радиационной медицины и экологии человека», а также сотрудникам Департамента по ликвидации последствий катастрофы на чернобыльской АЭС Министерства по чрезвычайным ситуациям Республики Беларусь.
1. Обоснование необходимости разработки системы оздоровления
1.1. Описание методики проектирования системы
Разработка научно обоснованной методологии системы оздоровления невозможна без специальной методики, которая выступает в качестве предписания предполагаемого построения. Методика в системе сложной комплексной деятельности позволяет выделить основную функцию проектирования, выступает в качестве средства построения, как предписание или его программа. Основной методический подход, положенный в основу методики разработки данной методологии, базируется на постулате, что в мировом опыте нет удовлетворяющих во всем образцов исследуемой деятельности (системы оздоровления детей). Поэтому главной методической задачей является создание модели деятельности, соответствующей целому ряду заранее выбранных принципов, например, принципу реабилитационно-профилактической направленности, и заранее определенному месту в общей системе медицинской помощи. При таком подходе методика проектирования является проектом будущей деятельности [52].
Для проектирования методологии системы оздоровления детей был использован метод программно-целевого планирования, в основе которого лежит методика с парадигмой: цель – результат – программа. Основа программно-целевого планирования – управление от целей системы с определением четких критериев оценки промежуточных и конечных результатов. Проект разрабатывался поэтапно и процесс разработки начинался с выявления проблемы на основе системного анализа, доказательной оценки ее приоритетности, разработки системы прогнозов и генеральной цели. Далее проводилась ее декомпозиция, формировалось «дерево целей». Затем разрабатывались мероприятия по реализации и контролю за выполнением проектных мероприятий.
1.1.1. Принципы проектирования
При проектировании методологии для последовательного и гармоничного ее формирования руководствовались рядом научно обоснованных принципов:
1. Определение стратегической цели является первым и главным принципиальным условием проектирования. Стратегическая цель определялась с позиций стратегического планирования, которое является разновидностью программно-целевого и подчиняется его основным закономерностям: цель – результат – программа, но с учетом изменяющихся условий внешней среды. Практика стратегического планирования исходит прежде всего не от «достигнутого», а от «будущего», т. е. ориентируется на то состояние, которое необходимо достигнуть за плановый период. Важной особенностью стратегического планирования является многомерность, многоаспектность процесса и комплексный подход к решению определенной приоритетной проблемы. Так, при создании данной методологии главным направлением решения сформулированной проблемы являлось определение принципов, механизмов и условий реализации стратегии охраны и укрепления здоровья ребенка в процессе его жизни. Главным результатом этой стратегии должно быть улучшение демографической ситуации, снижение заболеваемости, инвалидизации и преждевременной смертности, увеличение средней продолжительности и качества жизни населения страны.
2. Последовательность и преемственность задач, определяемая стратегией реализации программы, предусматривает последовательность действий для достижения стратегической цели. Чтобы четко определить последовательность и преемственность задач, являющихся важным звеном в системе достижения целей, необходимо было сформировать «дерево взаимосвязей» (ДВ) с определением структурных уровней, соответствующих цепочке: цель – направления – задачи – мероприятия. Так, например, в предлагаемой системе научно обоснованных принципов организации медико-социальной реабилитации и профилактики заболеваний определялись три основных направления для достижения генеральной цели (восстановление, сохранение и укрепление здоровья детей):
1) выявление исходного уровня здоровья детей (скрининг);
2) коррекция здоровья;
3) увеличение резервного потенциала здоровья.
3. Этапность реализации задач является логическим продолжением предыдущего принципа и предполагает, что лишь после последовательного решения всех задач данного направления (этапа) возможен переход к решению задач последующего направления (этапа). Так, без решения в полном объеме всех задач первого направления (этапа) невозможна, например, разработка комплекса реабилитационных и профилактических мероприятий (с целью восстановления и увеличения резервов здоровья).

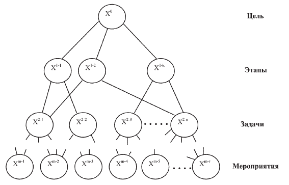
Рис. 1. Общий вид дерева взаимосвязей
Проектирование системы включало в себя следующие основные этапы.
I. постановка проблемы. В качестве основного подхода использовались три основных шага:
а) формулировка проблемы включает в себя описание характеристики разрыва между современным состоянием анализируемой проблемы и нормативом (предпочтительное будущее состояние); фиксацию противоречия, породившего проблему; выделение объекта исследования и его эмпирической области; четкое выделение известного и неизвестного относительно объекта исследования; выделение и упорядочение вопросов, раскрывающих проблему;
б) оценка проблемы включает в себя выделение условий и средств решения проблемы; анализ предпосылок и возможностей решения проблемы; соотношение известного и неизвестного в предпосылках и условиях решения проблемы; определение типа проблемы;
в) обоснование проблемы включает в себя установление связей данной проблемы с другими; формулирование доводов о необходимости и возможности ее решения, а также доводов против ее постановки и решения.
II. Выбор цели (процедура целеполагания). Генеральная цель обозначает направление решения сформулированной проблемы. В генеральной цели сформулированы конкретные и реальные результаты, которые предполагается достичь (социальные, экономические и т. д.). Генеральная цель сформирована в виде целей развития. Под целью развития понимается желательное состояние здоровья детей в будущем как указание на тенденцию в изменении его состояния. В целом достижение цели развития состоит в реализации упорядоченных во времени совокупности подцелей.
III. Разработка структуры системы. После определения цели для последующего проектирования системы использовался метод построения ДВ. Данный метод основан на дезагрегировании исследуемой генеральной цели на составные элементы с последующей оценкой их относительной важности и увязкой с ресурсами, исполнителями и временем реализации каждого элемента. Дерево взаимосвязей – это графический рисунок, вершины которого интерпретируются как элементы дерева, а ребра – как связи между ними (цели, задачи, мероприятия, ресурсы и т. д.) (рис. 1).
У ДВ выделяют корень, уровень и ветвь. Основой корня дерева служит генеральная цель программы. Уровень – комплекс элементов ДВ, определенных по одному признаку или основанию, реализация которых обеспечивает выполнение вышестоящего элемента и не зависит друг от друга. Ветвь – комплекс элементов ДВ, определенных по различным основаниям и реализуемых в строгой логической последовательности (от нижних уровней к верхним). Ветви показывают отношения соподчиненности между элементами ДВ.
Для построения ДВ было необходимо:
определение принципа построения структуры системы. При проектировании данной системы использовался принцип декомпозиции генеральной цели (от верхних уровней к нижним). На основе изучения логической структуры целей производится разбивка цели на подцели до уровня, на котором появится возможность связи подцелей со средствами их достижения;
определение способа структуризации системы. Структурные уровни проектируемой системы выделялись по признаку непрерывного жизненного цикла выполняемых функций. При этом определялись уровни ДВ, соответствующие цепочке: цель – этапы – задачи – мероприятия. В структуру ДВ на каждом уровне включались элементы, последовательно конкретизирующие содержание работ, представленных на более высоком уровне. Таким образом, в использованной методике проектирования системы оздоровления детей задействованы три звена композиционной цепочки дерева взаимосвязей: цель, этапы, задачи (рис. 2).

Рис. 2. Дерево взаимосвязей в методике проектирования системы оздоровлен
4. Достаточная широта охвата системы предполагает, что данная система оздоровления детей должна включать в себя максимально возможный спектр диагностических, реабилитационных и профилактических мероприятий как медицинского, так и медико-социального характера. Автоматизация и компьютеризация всей системы, а также обеспечение взаимодействия с системой здравоохранения и медицинского обслуживания детей и подростков позволит охватить превентивными адресными мероприятиями, направленными на сохранение и укрепление здоровья каждого ребенка.
5. Непрерывность реализации системных мероприятий заключается в том, что комплекс разрабатываемых мероприятий по реабилитации и профилактике имеет постоянно действующий во времени цикличный характер (системные мероприятия не должны иметь конечную точку во времени). План развития системы согласно этому принципу должен формироваться в виде расширяющейся спирали, которая на новом своем витке включает в себя не только количественное, но и качественное приращение мероприятий. Так, например, реабилитационные мероприятия сменяются профилактическими и включаются в цикл проведения всех медико-социальных, педагогических и психологических мероприятий в санаторно– курортной организации.
6. Саморазвитие системы предполагает, что первоначальный комплекс разработанных методологических, методических основ и основных принципов оздоровления детей, а также направлений деятельности в области детского оздоровления (мероприятий диагностики, реабилитации и профилактики заболеваний) должен быть представлен в таком виде, что он мог бы в определенной степени в дальнейшем развиваться и разрабатываться работниками их реализующими. Методически система должна быть сформирована таким образом, чтобы ее усовершенствование, оптимизация, повышение эффективности, экстенсивное и интенсивное развитие могли бы осуществлять в большей мере сами ее функционеры. Поскольку одним из направлений развития системы является повышение ее оперативности, необременительности диагностических и реабилитационных мероприятий, переход к использованию интегральных показателей, всесторонне отражающих различные параметры уровня здоровья, то сотрудники системы должны быть способны вполне самостоятельно работать в плане дальнейшей ее корректировки и развития.
7. Максимальная информативность предполагает, что методология системы должна базироваться на максимальном количестве информации по медико-социальным и медико-биологическим предпосылкам детского оздоровления; роли санаторно-курортной отрасли в оздоровлении детей; перспективным направлениям развития детского оздоровления; основным методологическим и методическим принципам построения системы оздоровления детей.
8. Органичность внедрения системы предполагает, что механизм построения системы оздоровления детей должен быть сформирован таким образом, чтобы максимально соответствовать существующей нормативно-правовой базе и Концепции государственной политики охраны здоровья населения, развития санаторно-курортного дела в Республике Беларусь, главным стратегическим направлением которой является охрана материнства и детства, защита прав и охрана здоровья детей. Кроме того, важным является максимально полное использование имеющейся базы медико-социальной базы организаций республики для оздоровления детей.
9. Самооценка эффективности заключается в том, что система должна быть сформирована таким образом, чтобы в ней был заложен механизм объективной оценки ее эффективности. Поэтому механизм реализации включает организацию управления оздоровлением детей, механизмы взаимодействия с лечебно-диагностическим стационарно-амбулаторным звеном системы здравоохранения Республики Беларусь, возможные параметры оценки социальной и экономической эффективности системы, инновационное, кадровое, финансово-экономическое обеспечение системы.
10. Внедрение системы предполагает реализацию следующих основных внедренческих установок: системный превентивный подход к оздоровлению; единство оздоровительного процесса и психолого-педагогического сопровождения; плановость и цикличность медико-социальной реабилитации и профилактики; преемственность в организации медико-социальной реабилитации и профилактики детей; адресность реабилитационно-профилактического процесса; оптимизация организационно-структурного и научно-методического обеспечения оздоровления детей; использование обширного арсенала оздоровительных технологий; направленность на количественную оценку резервных возможностей организма ребенка; возможность оценки эффективности мероприятий медико-социальной реабилитации и профилактики; непрерывность реабилитационно-профилактических мероприятий.
1.2. Предпосылки для разработки системы оздоровления детей
Основные предпосылки для разработки системы детского оздоровления можно условно разделить на экономические, медико-социальные и медико-биологические.
1.2.1. Экономические предпосылки
1. Совокупное детское здоровье определяет способность последующих поколений к высокоэффективному труду.
Если рассматривать через призму экономических приоритетов проблему сохранения детского здоровья, следует принять во внимание не только прямые финансовые затраты общества и государства, связанные с оказанием медико-социальной помощи больным детям, но и возникающие в последующие периоды времени производственные и налоговые по медицинским показаниям потери связанные с недопроизводством продукции (НДС, прибыль и т. д.); недоплата в страховые фонды: пенсионный, социальное страхование и т. д. (больной не платит налогов); выплаты страховых социальных пособий нетрудоспособным работникам; финансовые затраты на оказание медико-социальной помощи больным.
Приведенное выше утверждение основано на том, что здоровье детского контингента населения напрямую определяет уровень здоровья взрослого населения и прежде всего трудовых ресурсов общества, так как в подростковом возрасте закладываются основы здоровья взрослого человека. Кроме того, в детский период жизни человека также формируются основные установочные жизненные нормы, во многом определяющие состояние здоровья: образ жизни и поведения, отношение к питанию, физкультуре, курению и к другим факторам риска развития заболеваний. Совокупное детское здоровье в конечном счете определяет качество подготовки последующих поколений к выполнению своих обязанностей в обществе [18, 31].
2. Выплаты страховых социальных пособий больным детям и родителям по уходу.
Последние годы отмечается устойчивый рост не только общей детской заболеваемости, но и рост выплат страховых социальных пособий по уходу за больными детьми. По самым скромным подсчетам выплаты временной нетрудоспособности по уходу за больным ребенком за 2007 г. составили около 150 млн рублей.
3. Затраты на оказание медико-социальной помощи больным детям.
По статистическим данным четверть всех затрат на здравоохранение составляют затраты на оказание медицинской помощи детскому контингенту населения.
1.2.2. Медико-социальные предпосылки
1. Популяционное здоровье детей определяет репродуктивную функцию поколений и демографическую безопасность государства. Особого внимания заслуживает влияние совокупного детского здоровья популяции на репродуктивную функцию поколений, что напрямую связано с демографической безопасностью государства. Низкая рождаемость и рост смертности привели к снижению численности населения. Начиная с 1994 г., абсолютная численность населения прогрессивно снижалась, и к 2004 г. население Беларуси сократилось почти на 300 тыс. человек, или примерно на 3 %. Одной из причин низкой рождаемости и высокой смертности является низкий уровень популяционного здоровья населения, в том числе и детского. В настоящее время при общей положительной динамике наиболее социально значимых показателей здоровья детского населения республики по ряду показателей сохраняется негативная тенденция. По данным Министерства здравоохранения Республики Беларусь, заболеваемость детей до 14 лет с «первым» в жизни установленным диагнозом в 2006 г. составила 170 652,6 на 100 тыс. детского населения (2005 г. – 168 758,4). Уровни заболеваемости детей остаются высокими, превышая показатели 1993 г. у детей до 14 лет на 58,6 %, у подростков на 55,2 %, а уровни заболеваемости 2005 г. – на 1,1 % и 7,8 % соответственно. Отмечается тенденция к увеличению удельного веса хронической патологии в более ранних возрастных группах. На диспансерном учете по поводу хронических заболеваний состоит каждый четвертый ребенок в возрасте от 0 до 14 лет (25,0 %, 2005 г. – 25,8 %) и каждый третий подросток (35,7 %, 2004 г. – 34,8 %). В последнее время отмечается увеличение среди детей распространенности социально обусловленных болезней – туберкулеза, заболеваний, передаваемых половым путем, ВИЧ-инфекции, наркомании, токсикомании и др. Особо следует отметить ухудшение состояния здоровья подростков – будущих родителей [23]. Все указанные проблемы наиболее рельефно проявляются в сельской местности.

