
Информатизация криминологической деятельности. Теория и методология
Решение задачи с помощью компьютера разбивают на следующие этапы:
1) постановка задачи, включающая в себя построение модели (преступности или преступного поведения) и выделение исходных данных и результатов;
2) поиск метода ее решения и построение алгоритма;
3) запись алгоритма на языке программирования;
4) кодирование программы (перенос на машинные носители) и ее отладка;
5) реализация алгоритма (счет, поиск и т. д.) и анализ полученных результатов.
На первом этапе активное участие принимает заказчик, чей социальный заказ выполняет криминолог. Эту функцию помогут выполнить сотрудники криминологической лаборатории, хорошо знающие область предметного исследования, обладающие высоким уровнем профессиональных знаний и способные сформулировать условия, задачи и цели исследования, то есть указать, что именно необходимо получить в результате решения задачи и в какой форме. Они ставят задачу перед математиками-программистами и алгоритмистами информационных центров правоохранительных органов или прикладными математиками из научных и проектных институтов.
К сожалению, невозможно предложить универсальный рецепт, позволяющий безошибочно выбирать и строить математическую или информационную модель в любом конкретном случае. Построение моделирующего алгоритма предполагает наличие у исследователя достаточного уровня информационной и математической культуры.
Для получения представления о важности привлечения специалистов по прикладной математике к построению моделей приведем пример постановки задачи расстановки сил и средств37.
Криминологическая обстановка в регионе такова, что служба охраны общественного порядка имеет следующие минимальные потребности в количестве патрульно-постовых полицейских, содержащихся за счет местного бюджета (так называемая муниципальная полиция) и обеспечивающих необходимый уровень охраны общественного порядка и профилактики правонарушений в различное время суток:

Примечание. Период 1 следует сразу же за периодом 6. Каждый сотрудник полиции работает восемь часов без перерыва.
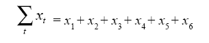
Обозначим через хt число полицейских, ежедневно приступающих к работе в период t. Необходимо составить служебное расписание (и график дежурств) на каждые сутки таким образом, чтобы обойтись минимальным числом полицейских (и, следовательно, минимальной сметной стоимостью содержания патрульно-постовой службы), не нарушая сформулированных условий (требований). Чтобы составить такое расписание, требуется построить соответствующую модель линейного программирования. Она выглядит так: требуется минимизировать сумму

при ограничениях
x6 + x1 ≥ 20
x1 + x2 ≥ 50
x2 + x3 ≥ 80
x3 + x4 ≥ 100
x4 + x5 ≥ 40
x5 + x6 ≥ 30
xt ≥ 0 для любого t.
Решение задачи находится с помощью так называемого симплекс-метода. Алгоритм стандартный, типовая программа общего назначения, как правило, имеется в библиотеке стандартных программ большого компьютера (ЭВМ).
В случае, когда число периодов 1 является четным, задача эквивалентна сетевой. Сетевые оптимизационные модели также относятся к моделям линейного программирования.
Сведение задачи к известной схеме решения позволяет нам сэкономить на этапах написания и отладки программы.
В процессе криминологического исследования может возникнуть несколько подобных ситуаций, требующих использования информационных средств и математических методов для решения поставленных криминологами задач. Поэтому помимо банка криминологических данных и знаний необходимо создать и пополнять фонд алгоритмов и программ для решения типовых задач криминологического исследования.
3.3.3. Автоматизированное рабочее место для криминологостатистической обработки данных
Автоматизированное рабочее место (АРМ) представляет собой комплекс аппаратных и программных средств, обеспечивающих оперативное удовлетворение информационных и вычислительных потребностей специалиста и размещенных на его рабочем месте. АРМ криминолога позволяет решить проблему автоматизации криминолого-статистической обработки данных.
На уровне МВД, ГУВД задачи статистико-криминологического исследования давно решаются на компьютерах. В составе АРМ статистика имеется персональный компьютер (или дисплей терминала большой ЭВМ типа ЕС-1046), позволяющий вступать в контакт с машиной и ее программным обеспечением по мере необходимости. Например, стандартный пакет прикладных программ «Статистика» («Квадрат» ГУВД Свердловской обл.) обеспечивал доступ к учетным данным. Возможности исследователя могут быть расширены с применением математических методов анализа больших баз данных.
Степень математизации конкретного криминологического исследования во многом зависит от специальной подготовки исследователя-криминолога, который зачастую использует тот или иной метод анализа данных не потому, что он наиболее целесообразен, а лишь в силу его доступности. В настоящее время издан ряд пособий для исследователей гуманитарных специальностей. Они содержат программы, позволяющие оперативно подготовить и обработать на компьютере данные наблюдений и экспериментов. С помощью программистов информационного центра ГУВД, МВД можно внести изменения в тексты готовых программ с целью адаптации их к условиям конкретного криминологического исследования.
Так, в пособии С. В. Репина и С. А. Шеина приводятся тексты исходных программ, написанных на языке ПЛ-1 (или на Фортране) и обеспечивающих вычисление статистических средних величин и показателей вариации, интерквантильный анализ и простейшую типологию статистических данных, кластерный анализ и классификацию статистических данных, факторный анализ сложных комплексов переменных38.
Перечисленные статистические методы обработки данных эмпирического исследования базируются на математическом аппарате, доказавшем свою эффективность во многих отраслях науки. Их практическое применение дает толчок к дальнейшей разработке методологических и методических аспектов использования количественного подхода и системно-структурного анализа в информационной криминологии, а усвоение принципов статистических умозаключений наряду с содержательной криминологической интерпретацией результатов значительно повысит эффективность криминологических исследований. Заметим (перефразируя справедливое замечание одного из теоретиков факторного анализа Л. Терстоуна), что если не прозрачна интерпретация результатов туманных вычислений (Fog Computing), таким будет и все исследование в целом, сколь бы изящной ни была статистическая обработка. Кроме того, важна не столько математическая интерпретация полученных результатов, сколько связанное с ней криминологическое толкование.
На уровне горрайорганов внутренних дел в составе автоматизированного рабочего места статистика или криминолога целесообразнее применять персональный компьютер с его программным обеспечением: системным и прикладным (проблемным, функциональным).
Существующие в настоящее время статистические пакеты программ для компьютеров позволяют автоматизировать работу по таким основным направлениям криминолого-статистической обработки данных, как: создание таблиц, графический анализ данных, определение вариационных характеристик совокупностей, построение рядов распределения, анализ временных рядов и прогнозирование, кластерный анализ, множественный корреляционный и регрессивный анализ, включая двухшаговый метод наименьших квадратов, многомерный анализ (факторный, компонентный, дисперсионный, канонический, дискриминантный), анализ непараметрических статистик39.
Перечисленные средства рассчитаны как на начинающего пользователя, так и на многоопытного. Диалоговый режим работы: понятное меню, информативные подсказки и экраны помощи, – способствует быстрому выполнению операций по обработке уголовно-статистической и криминологической информации.
Для не имеющих специальной подготовки в области математико-статистических методов пользователей (работников) разработана диалоговая обучающая библиотека программ (например, TREND – автор Е.З. Демиденко) для анализа и прогнозирования показателей от времени (временных рядов). Ее возможности: построение прогноза поведения временного ряда, установление тенденций динамики ряда, сглаживание временного ряда, оценка статистических характеристик ряда, построение прогноза EX-POST, обучение анализу временных рядов.
Наиболее перспективным является сетевой режим эксплуатации автоматизированных рабочих мест, когда каждое АРМ строится на базе персонального компьютера, но все они соединены в информационно-вычислительную сеть, включающую в себя в качестве головной машины мощный компьютер информационного центра МВД, ГУВД и обеспечивающую оптимальный набор функций по обработке данных в интересах криминолога.
Рассмотрим обобщенную структуру концептуальной модели автоматизированного рабочего места криминолога, соответствующую следующему стандартному набору задач: создание и ведение таблиц, графический анализ, криминолого-статистическая обработка данных.
Элементы структуры: 1) диалоговый процессор со встроенной обучающей системой, 2) табличный процессор, 3) графический процессор, 4) статистический процессор, 5) конвертор, 6) архиватор.
Диалоговый процессор обеспечивает «дружественную» среду общения пользователя с информационной системой. Наиболее распространенной является организация диалога в форме «меню». Автоматизированное рабочее место предлагает пользователю-криминологу ряд альтернативных функций, и он выбирает одну из них нажатием одной-двух стандартных клавиш ввода и управления курсором.
Статистические данные при машинной обработке обычно сводятся в различные таблицы. Поэтому естественно и хранение их в табличной форме. Табличный процессор обеспечивает формирование таблиц, внесение и корректировку информации, изменение структуры, архивацию данных. Архивные операции над таблицами предназначены для эффективной организации и хранения их на внешних запоминающих устройствах.
Графический процессор служит для представления анализируемых данных в виде двух- или трехмерных графиков и диаграмм. От пользователя требуется только указать вид графика и местонахождение данных. Графики также можно архивировать.
Статистический процессор предназначен для обработки данных методами математической статистики и реализует наиболее простые и часто используемые функции типа «построение и анализ рядов распределения», «анализ парной корреляции и регрессии между рядами», «анализ рядов динамики и прогнозирование», «графический анализ данных», а также функции, ориентированные на пользователя, хорошо знакомого с различными методами математической статистики. Конвертор преобразует внешние данные и обеспечивает обмен информацией с иными компьютерами, входящими в информационно-вычислительную сеть.
Приближение компьютера, оснащенного современным прикладным программным обеспечением, к непосредственному рабочему месту криминолога – одна из наиболее эффективных организационных форм их использования для информатизации интеллектуального труда специалистов правоохранительных органов и сотрудников криминологических лабораторий.
Глава 4
Информационно-криминологическая подготовка кадров для органов внутренних дел
4.1. Информационные отношения в борьбе с социальными отклонениями
Одним из направлений, по которым развиваются современные взгляды на проблему борьбы с социальными отклонениями и происходит практическая реализация этой деятельности, является информационный подход. По мнению Ю. В. Кудрявцева, он (подход) основывается на представлении, что нарушения социальных нормы происходят из-за их незнания1. Информированность граждан о законах и преступности оставляет желать лучшего, а незнание норм, хоть и не освобождает от ответственности, все же оказывается одним из существенных факторов отклоняющегося поведения. Поэтому нет сомнений в важности распространения правовых и иных нормативных знаний среди населения. Для информирования людей используют все формы и методы правового воспитания и просвещения, правовой агитации, обеспечения правового всеобуча, средства массовой информации.
Однако информационный подход не ограничивается указанной стороной дела. Помимо информированности граждан – объектов профилактического воздействия, то есть тех, от кого можно ожидать отклоняющегося от социальных норм поведения, правонарушителей и их жертв, необходимо информирование системы субъектов профилактического воздействия – совокупности государственных, общественных организаций и граждан. Здесь уже не ограничиваются знанием социальных норм. Информационные потребности лиц, ведущих борьбу с социальными отклонениями, гораздо шире.
Кроме того, знание норм – необходимый элемент общей культуры человека, но этого недостаточно для того, чтобы не совершать правонарушения. Исследования криминологов свидетельствуют, что осужденные зачастую превосходят законопослушных граждан в знании конкретных уголовно-правовых институтов и норм2. Важно отношение личности к социальным институтам, общностям и нормам. Нормы, признаваемые и отстаиваемые отдельными общностями, могут соответствовать обще социальным (признаваемым и отстаиваемым всем обществом), быть нейтральными по отношению к ним либо противоречить им («нормы» поведения группы правонарушителей, преступного сообщества)3. Конкретная личность может знать, признавать отдельные нормы, но не выполнять их либо считать, что их нужно ослабить (усилить). Информационный подход к борьбе с социальными отклонениями базируется на двух ключевых понятиях: информированность (информация) и информационное взаимодействие (обмен информацией).
Информированность – знание содержания и механизма действия социальных норм – незаменима в трех основных сферах: профессиональной деятельности; действий процедурного (инструментального) характера; прав, свобод и обязанностей человека как гражданина государства4.
Ценность информации, содержащейся в нормах первой группы, которыми регламентируется профилактическая деятельность, отношения в ней, в том числе информационные, обусловили обязательную служебную подготовку сотрудников правоохранительных органов.
Информация, содержащаяся в нормах второй группы, обеспечивает естественное взаимодействие людей. Отсюда инструментальный, вспомогательный ее характер. Например, субъекту профилактики, в функции которого входит ресоциализация, трудовое и бытовое устройство лиц, освободившихся из мест лишения свободы, не только полезно, но и необходимо знать нормы, регулирующие порядок устройства на работу.
Значима и третья группа норм, регулирующих отношения индивида и государства по поводу прав, свобод и обязанностей личности. Информатизация общества и правоохранительных органов, правовая реформа потребовали не только более широкого информирования населения о компетенции должностных лиц, их обязанностях перед государством и гражданами, но и соответствующего обсуждения законопроектов (2011) об основах системы профилактики правонарушений в Российской Федерации, о полиции, об информационных отношениях в сфере обеспечения правопорядка.
В проект закона о профилактике включена статья 20 «Гарантия прав граждан при осуществлении мер профилактики правонарушений», где утверждалось, что при осуществлении мер по профилактике правонарушений не допускается ограничение прав и свобод человека и гражданина. Представляется, что в таком законе должны быть определены не только права лиц, в отношении которых осуществляются меры профилактики правонарушений, но и четко сформулировано право любого человека и гражданина, возможно, состоящего на профилактическом учете, на информацию о себе.
Правовое регулирование информационного взаимодействия имеет особое значение при реализации информационного подхода. Предметом правового регулирования являются общественные (информационные) отношения, которые складываются между сотрудниками, подразделениями, службами в процессе регистрации, сбора, передачи, хранения, обработки информации5.
Так, профилактическая служба органов внутренних дел имеет большое количество информационных связей как внутри системы органов внутренних дел, так и с субъектами внешней среды, участвующими в профилактике правонарушений и отклоняющегося поведения. Однако в нормативных актах, регулирующих обмен информацией (важная форма взаимодействия) между подразделениями, четкого и полного описания взаимодействия указанных служб нет. Рассматриваемые вопросы лишь частично отражены в ведомственных нормативных актах6.
По не потерявшему актуальности справедливому замечанию А. Э. Жалинского, следует и дальше совершенствовать нормативное регулирование работы с информацией. Необходимо определить, например, круг сведений, которыми органы внутренних дел обязаны снабжать трудовые коллективы и советы профилактики, а также правомочия различных органов по сбору, хранению и использованию информации. Важным является вопрос о соблюдении прав и законных интересов юридических лиц и граждан при работе с информацией – праве отказать в информации, если передача ее не предусмотрена соответствующими правовыми актами7.
Естественно, криминология, даже информационная, некомпетентна решать ряд других упомянутых вопросов, так как это прерогатива информационного права. Но оставлять без внимания обнаруживающиеся отклонения от норм, криминогенные проявления некоторых макро- и микро структурных явлений, политических, духовных и экономических процессов криминологическая наука также не вправе, она ограничивается здесь тем, что И. И. Карпец называет «сигнализирующей функцией»8.
Вопрос о допустимости и пределах вторжения криминологии в исследование непреступных форм антиобщественного поведения является дискуссионным9. Здесь антиобщественное (асоциальное) поведение синонимично негативно отклоняющемуся поведению, которое обычно подразумевается под термином «отклоняющееся поведение». Поведение может отклоняться от существующих моральных и правовых норм как в отрицательную, так и в положительную с точки зрения объективных интересов развития общества сторону, и в профилактике индивидуального преступного поведения должны использоваться обе стороны.
А. М. Матюшкин считает, что «совершенно необходимо сделать приоритетной во всех видах исследований всю систему индивидуальных различий. Нужны исследования не только в области дефектологии (знаем, сколько в обществе существует интеллектуально отсталых), но и исследования одаренных людей (не всегда знаем, сколько их) и различных видов их способностей»10. Добавим, что реализуются эти способности не только в правопослушной деятельности, но и в преступной.
Как следует из изложенного, чтобы дополнить криминологическую раннюю профилактику положениями и приемами теоретических концепций и методик, разрабатываемых различными науками, криминология должна рассмотреть психологические, педагогические, правовые, социологические, информационные и иные аспекты антиобщественного поведения.
Так, в Московском педагогическом государственном университете разработана инновационная программа «Актуальные проблемы девиантного поведения детей, подростков и молодежи: исторические, психолого-педагогические, социально-правовые аспекты» (А. Я. Минин, И. А. Куринова), а в магистерской программе «Ювенальное право и правосудие по делам с участием несовершеннолетних» имеется курс «Актуальные проблемы девиантного поведения детей и подростков». Поэтому объектом криминологических исследований помимо самой преступности должны стать связанные с ней так называемые фоновые явления – различные формы социальной патологии, которые играют существенную криминогенную роль в этиологии преступлений11. И действительно, «антиобщественный образ жизни представляет значительный интерес в криминологическом плане, поскольку он обычно связан с преступным поведением, что следует всесторонне учитывать при разработке теоретических и практических вопросов профилактики преступлений»12.
4.2. Компьютеризация специально-криминологической профилактики
Основные направления совершенствования информационного обеспечения специально-криминологического предупреждения преступлений органами внутренних дел, повышения эффективности использования информированности и криминологических знаний включают в себя организационно-правовые методы работы с информацией, внедрение математических методов и средств вычислительной техники.
Взаимосвязь указанных направлений очевидна. Но методологически и в методических целях некоторые авторы рассматривают их отдельно13.
Первое направление обеспечивает упорядочение каналов и потоков информации, рациональное определение ее источников и уровней (на которых целесообразно накопление и обработка информации), разработку положения об организации специальной информационной службы14, нормативное регулирование работы с компьютерной информацией, формализацию и стандартизацию электронных (машинноориентированных) документов, координацию деятельности субъектов специальной профилактики – компетентных органов и взаимодействующих с ними организаций, граждан, организацию рационального взаимодействия потребителя с информационной службой.
Второе направление дополняет научную организацию информатизации специальной профилактической деятельности, которая сопровождается созданием автоматизированных рабочих мест криминологов и сотрудников профилактической службы, банков криминологических знаний, баз данных, экспертных систем, сети ЭВМ, внедрением информационных средств и методов в сферу криминологических исследований, профилактики преступлений.
Один из путей совершенствования информационного обеспечения – изучение и распространение передового отечественного и зарубежного опыта, сведений о теоретических и прикладных исследованиях, которые могут быть использованы в сфере профилактики преступлений. Большое значение имеет применение типовой автоматизированной системы сбора, обработки и хранения профилактически значимой информации, эффективной системы управления базой данных, знаний. Так, автоматизированная информационно-поисковая система профилактического назначения – АИПС «Исеть», вошла составной частью в автоматизированный банк данных оперативнорозыскного и профилактического назначения в ГУВД по Свердловской области.
В прошлом веке ГУВД по Свердловской области, как и ряд министерств и управлений внутренних дел страны, было оснащено большим компьютером (типа ЕС-1046). Ныне Вычислительный центр оснащен современными ЭВМ и телекоммуникационным оборудованием, поставленными по контракту ФКУ «ГИАЦ МВД России» с фирмой «Сименс». [Электронный ресурс: 66.mvd.ru/gumvd/struktura/item/560744/]
В современных службах, подразделениях, горрайорганах внутренних дел появились персональные компьютеры – значит, изменилась система информационного обеспечения профилактики. Появилась возможность автоматизированного межрегионального обмена распределенной информацией. Вместе с тем методологические установки практической деятельности заинтересованных служб в направлении облачных технологий и туманных вычислений оставляют желать лучшего. Потребность же в профессиональных знаниях такого рода вышла за пределы научных и образовательных организаций (расширение информационного пространства).
Для решения возложенных на органы внутренних дел задач по предупреждению правонарушений используется автоматизированный профилактический учет лиц, от которых (судя по достоверно установленным фактам их противоправного поведения) можно ожидать совершения правонарушений и которые нуждаются в профилактическом воздействии.
Современные банки данных профилактического назначения обеспечивают нужной информацией воздействие на лиц, совершающих такие правонарушения, как употребление спиртных напитков (психотропных веществ, курительной смеси) и появление в общественном месте в состоянии опьянения (наркотического в том числе), несоблюдение правил торговли спиртными напитками (продажа несовершеннолетним) и т. д.15 Так, проверка с помощью компьютера установочных данных доставленных в правоохранительные органы граждан защищает интересы невиновных, чьим именем иногда пытается воспользоваться правонарушитель. Более того, положительно влияет на общественное мнение и отношение к сотрудникам полиции, в чьи обязанности входит участие в изъятии с улиц лиц, находящихся в состоянии сильного опьянения, помощь в установлении их личности, учете совершаемых ими правонарушений16.
Возможности усовершенствования информационного обеспечения профилактики правонарушений, конечно, не ограничиваются сферой противодействия отклоняющемуся поведению граждан, такому как пьянство, алкоголизм, наркотизм, токсикомания, табакокурение, иные саморазрушающие формы. Особенность автоматизированного учета правонарушителей в Екатеринбурге состоит в том, что данные о правонарушениях и лицах, их совершивших, всегда можно привязать к квадратам на карте города. Поэтому и аналитическая работа проводится на достаточно высоком уровне с применением математических методов и компьютера. Для сравнения заметим, что данные о правонарушениях могут быть связаны с дислокацией участковых инспекторов полиции. Правда, границы участков со временем меняются, например, при застройке нового микрорайона, и данные о правонарушениях становятся несопоставимыми. Названный подход к учету правонарушений имеет другой недостаток: неоперативное внесение коррективов в справочник улиц г. Екатеринбурга («справочник наполнения квадратов»). Так, при избирательной проверке (31.03.1989 г.) автором запроса по нераскрытому преступлению (уголовное дело № 627404) оказалось, что в машинограмме проставлены квадраты места жительства и квадраты места совершения преступления только у немногим более чем 60 % лиц, рекомендованных ЭВМ.

