
Гравитация и эфир
Поскольку Планк работал с квантами, изучаемыми атомом, то там частоты повторений атомных колебаний были относительно невысокими (рентгеновские частоты, типа тех же


Поэтому запросто имеем возможность работать с частотами повторения квантов эфира в составе каких-то квантов энергии (квант вплотную к следующему кванту) оцениваемыми величиной:

что на 14 порядков выше частот квантов энергии, излучаемых атомами.
Теперь надо более подробно пояснить физический смысл принятого у нас времени взаимодействия,

(в формуле Планка с нашим квантом действия Н). У нас время взаимодействия двух квантов – это то максимальное время, в течение которого кванты, пролетающие друг сквозь друга при их резонансном взаимодействии, не выходят из режима резонанса. А это может быть только в том случае, когда их сфазированные кольца («кольцо к кольцу») не успевают повернуться друг относительно друга на угол плюс минус


удовлетворяют этому времени взаимодействия тогда, когда проходят «кольцо сквозь кольцо» в пределах «начального» углового рассогласования частиц в

Но начиная с частот вращения частиц порядка





то единичный «квант энергии» Е, переносимый «на себе» такой частицей, будет уменьшаться – «обрубаться», уменьшая эффективность взаимодействия такой «быстрой» частицы с другими «медленными».
Для школьников заметим (на всякий случай), что частота собственного вращения частицы, о который мы только что говорили, не имеет никакого отношения к той частоте ν, которая стоит в формуле Планка. В формуле Планка ν – это частота повторения квантов. У нас в квантовой физике «повторяются» кванты-частицы, которые несут на себе их энергию и обмениваются друг с другом «квантами действия». У физиков в их атомной квантовой механике «повторяются» кванты энергии (какие именно эти «кванты энергии», из чего они состоят, как «выглядят» – про то физики не уточняют). Но мы, в отличие от физиков, именно уточняем (в главе 21 данной книги) про то, как «выглядит» фотон (квант энергии) физиков. Он «выглядит» в виде потока-череды всё тех же квантов-частиц эфира, о которых физики не имеют пока ни малейшего представления.
Конкретно же, фотон (квант энергии), излучаемый в переходном процессе возбуждённого атома, состоит из суммы большого количества квантов эфира, которые «продольным» потоком распространяются от атома в любую от него точку пространства, где может располагаться пробный заряд. В этом потоке наблюдается колебательный процесс, заключающийся для любой трассы полёта фотона в преобладании в выделенной точке этой трассы: то «положительных» квантов эфира, то «отрицательных». Именно эта частота полного колебания положительно – отрицательных квантов эфира (ν) стоит в формуле Планка.
Но в нашей квантовой физике (с уменьшенным в миллиард раз, по сравнению с планковским (h) квантом действия Н) этот продольный поток квантов-частиц «кванта энергии» состоит из последовательной череды единичных квантов-частиц эфира, излучаемых каким-либо «зарядом» в выделенном от него направлении. В общем виде такой «квант энергии» состоит из пачек «импульсов» (квантов-частиц эфира), следующих со средней частотой ν, которая стоит в той же формуле Планка – как количество (у нас) квантов-частиц в секунду времени, хотя сам «квант энергии» может состоять из любого количества частиц эфира, начиная с единичной и кончая миллиардами и миллиардами этих частиц, пересекающих данную точку пространства выделенного направления от излучателя потока этих частиц.
Запишем теперь формулу Планка (для того колебательного процесса, в котором «импульсы» – кванты эфира следуют друг за другом в короткой цепочке «кванта энергии») в следующем виде:

Здесь уже мы можем, с полным знанием дела, чётко ответить на тот недоумённый вопрос школьника – «где заканчивается квант энергии?» Для примера «кванта энергии», выберем тот же квант (глюон), излучаемый в нуклоне кварком, со средней частотой квантов – частиц, следующих в выделенном направлении (в сторону противоположного кварка), равной








Мы видим (на этом примере), что никакая «квантовая механика» физиков даже близко не подошла к объяснению сути «кванта энергии» Планка и Эйнштейна. Но только классическая квантовая физика способна на подобные подробные толкования сути квантового мира вещества.
В атоме же, излучающем свои «кванты энергии», энергию «большого» кванта можно представить той же величиной, допустим, 13,6 эВ, но излучаемой и передаваемой своими (планковскими) порциями:

где h =

Е = 13,6 эВ или

ν =

Т =

Здесь тоже каждая следующая «порция энергии» h излучается – передаётся (и следовательно, «заканчивается») через период времени Т =


Об этих орбитах возбуждённых атомов мы поговорим более подробно в следующей главе (Глава 21) настоящей книги.
Но сейчас, осветив разные методы подхода к одной и той же проблеме, а именно, – к оценке плотности распределения квантов – частиц высокочастотного слоя – уровня эфира, мы будем вынуждены ещё ближе подойти к реальной механике движения кварков в нуклоне, ориентируясь при этом на безусловное обеспечение плотностью квантов того реального потока частиц от кварка до антикварка, который необходим для получения вычисленной нами энергии глюона 16,6667 МэВ.
Решающим фактором в уточнении механики нуклона здесь станет тот, что разносторонний динамический подход к проблеме высветил для нас необычный и непривычный по первости факт очень высокой плотности вакуума, которую должен иметь эфир для построения, в условиях горячей Вселенной – из кварк-глюонной плазмы, частиц – нуклонов, зарождающихся в этот период жизни Метагалактики и Вселенной. Сейчас, к этому моменту наших исследований, мы уже точно определили для себя тот факт (не побоимся этого слова), который говорит о том, что мы сейчас живём в период заключительного этапа расширения Большой Вселенной, когда «картина» Вселенной уже окончательно оформилась, а плотность распределения эфира Метагалактики практически застабилизировалась в течение прошлых нескольких миллиардов лет и будет оставаться такой в течение следующих нескольких миллиардов лет, когда расширение Вселенной окончательно остановится, и она начнёт сжиматься ещё в течение нескольких следующих миллиардов лет, когда снова достигнет той плотности эфира, в которой мы сейчас живём.
Ещё раз заметим о том, что к полученной нами оценке высокой степени плотности эфира мы «долго» привыкали. Но сейчас видим (предполагаем), что даже эту оценку нам придётся скорректировать в сторону ещё большей плотности эфира. Здесь мы оттолкнёмся от того, что поскольку противоположные кварки в нуклоне обмениваются, при собственном вращении кварков – частиц, пачками импульсов – квантов эфира, при высокой частоте следования этих пачек


И следовательно, мы имеем 83700 пачек из импульсов, излучаемых каждым кварком в сторону противоположного за период одного оборота кварка по нуклонной орбите. Однако эта цифра сейчас – чисто иллюстративная и не примет никакого участия в дальнейших расчётах. Потому что в любом случае для нас станет главной цифра требуемого количества квантов – частиц в глюоне. И поскольку, к этому моменту исследований, мы определились с философией передачи любой энергии квантами в течение каждой следующей секунды времени, то теперь понимаем, что для получения энергии глюона


И это не важно, что на самом деле эта частота следования квантов будет передаваться пачками импульсов – квантов. Но ясно, что для получения данной (как бы «непрерывной») частоты нам надо будет увеличить «непрерывную» частоту следования этих квантов, собираемых кварком с площадки удалённого квадратного метра.
Итак, жёстким ограничением на точностные характеристики передачи потока квантов от кварка – излучателя к кварку – приёмнику будет следующее. Кварк – излучатель, постоянно вращаясь, должен «чиркать» – попадать своим лучом не столько по «большой» площади конструкции этого кварка, сколько по одной сотой части от размера радиуса электромагнитного кольца кварка. Только при таком точном попадании «кольцо кванта на кольцо кварка» между этими кольцами будет возникать преонный резонанс их квантового взаимодействия. Такой дискрет точного попадания концом радиус-луча кварка – излучателя по центру масс кварка – приёмника будет составлять следующую малую часть от всего пути радиус-луча, описываемого им по окружности радиуса D (диаметр нуклона) при полном обороте этого радиус-луча:

Тогда тот поток квантов, который будет «вырезаться» малыми пачками из всего полного потока, собираемого кварком 4 из конуса раскрыва в


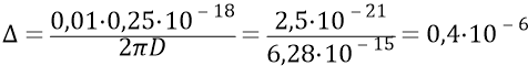
Мы видим, что полученная усреднённая частота следования квантов для кварка – приёмника уступает требуемой на 6 порядков величины. Поэтому нам придётся увеличить плотность распределения квантов на площадке квадратного метра на эти 6 порядков: получим





что уже не на порядки, но всего лишь в 2,5 раза отличается от требуемой «непрерывной» частоты

Итак, мы приходим к абсолютно «страшной» для нашего ума плотности эфира, с расстоянием между центрами масс частиц –



Но тогда частиц НЧ – эфира на этом же диаметре будет на 2 порядка больше:

а расстояния между центрами их масс –

Автор данной книги долго не решался привыкнуть к такой гигантской плотности эфира. Это «привыкание» происходило постепенно: день за днём. Но математика диктовала своё. Точно так же как с образом Вселенной – Кокона из паутинок, точно так же и с плотностью эфира: на первый план вышла математика. Именно она (и в оба эти раза – вовсе не философия с физикой) заставила признать факт «перехода количества эфира в его новое качество». Но ведь это практически – повторение слово в слово одного из основополагающих Законов Философии.
Мы, люди, настолько ещё маленькие, что наш ум боится нового. Мы слишком медленно привыкаем к Космосу, к Его действительному устройству.
Но почему надо пугаться столь высокой плотности эфира? Повторим ещё раз то, о чём уже замечали в данной главе. Итак, если сблизить две преонные орбиты двух частиц эфира при такой его плотности нитка – орбита к нитке – орбите, то расстояния между этими нитками – окружностями будет




Во всяком случае можно быть уверенными в том, что Природа конечно же предусмотрела заранее – заведомый запас по супер высокой стабильности новых электромагнитных частиц в их уникальности: от момента рождения и на мириады миллиардов лет вперёд на всё время жизни каждой частицы в многократно пульсирующей Вселенной.
Философия же снова говорит нам о том, что наверное Природе ни зачем не нужно иметь пустое пространство, ничем не заполненное. И тогда почему бы Ей не заполнять это пространство что называется – «под завязку» на каждом уровне организации нового вещества природы.

