
Гравитация и эфир
Что же касается современного «распущенного» состояния эфира «низкочастотной» Скорлупы Большой Вселенной, с её плотностью распределения частиц,

то даже в одном и том же объёме единичной частицы с единичным центром масс можно «распушить» орбиты со сдвигом



И при этом, пролетая даже одновременно через эту единичную точку, эти 130 000 частиц никак не заметят друг друга, спокойно следуя далее по своему прежнему пути – каждая.
То есть и при такой плотности распределения частиц эфир останется абсолютно изотропным, но готовым к тому, что, встретив «заряженную» частицу типа кварка – электрона, он, эфир, пронизывая её конструкцию, выстроится далее, после такой частицы, в струнку – поток поляризованных частиц – как в поле той, которая умеет таким способом «заряжать» эфир.
Итак, в результате мы получаем плотность распределения частиц низкочастотного уровня вакуума – эфира (а именно эта плотность, превосходящая «объемную» плотность ВЧ эфира на 6 порядков, определяет, следовательно, плотность эфира Скорлупы Большой Вселенной):

Тогда масса («вес») кубометра эфира Вселенной:

К великому сожалению для нас, та методика оценки кинематики Вселенной-Кокона, которую мы применили для «малых» плотностей эфира порядка тех наших



Ещё раз. Мы сейчас будем вынуждены посмотреть на замедляющую свое расширение Большую Вселенную не как на Жгут везде в своей структуре одинаковой плотности, но как на связанный эфир, но кластеризованный не только в его гигантском сечении по многим и многим уровням, но и по всей его гигантской длине – окружности по тем же многим и многим дискретам плотностей этого единого эфира Вселенной.
На изобретение каких-то новых методик кинематики останова Вселенной у нас сейчас (в данной главе данной книги) не осталось никакого времени. «Старая» же наша методика говорит о том, что если гравитировать эфир в жгуте «кубик к кубику» с размерами кубиков, равными средним размерам звёздной системы (Солнечной –



С каким предметом привычного нам быта можно было бы сравнить разно – уровневую космическую кластеризацию? Здесь обратимся к образу простой «резинки от спортивных брюк» или чего-нибудь подобного. Такая резинка – не сплошная, состоящая из сплошного резинового жгута. Она состоит из множества тонких резиновых нитей, связанных матерчатой оболочкой со структурой, позволяющей этой матерчатой оболочке растягиваться, допустим, только вдвое по окружности резинки. Сами резиновые нити могли бы растянуться ещё сильнее, не обрываясь при этом. Но ограничителем являются многочисленные текстильные нитки, умеющие вытягиваться не сами по себе, но в том запасе их максимальной длины, заложенном в структуре матерчатой сетки. Если в любом сечении полной резинки аккуратно перерезать текстильные нитки, то в этом месте разрыва материи сами резиновые нити можно будет растянуть ещё на довольно приличную длину по отношению к их сжатому состоянию.
Но в Жгуте Вселенной эти тонкие «резиновые нити», кроме прочего, разрезаны – кластеризованы не только по «ширине» резинки – жгута, но и по всей его длине – окружности Большой Вселенной. То есть если бытовая резинка растягивается только её плоскостью, то наша космическая растягивается (кластеризована) не только в объёме сечения жгута, но и в объёме всей длины его окружности. По всей длине этой гигантской окружности мы будем наблюдать притяжения друг к другу «кубиков» эфира самой его разной плотности, а следовательно, протяжения с самой его разной силой. То есть если, например, внутренний эфир звёздной системы будет связываться между собой с той великой силой, которая диктует ему великую плотность, необходимую для поддержания в целостности структуры нуклона (

Но вот далее, в меж – галактическом эфире, вопрос о жизни там нуклонов может вообще не стоять (мы в своей философии оставляем здесь знак вопроса, полностью доверяясь физикам, хотя при более тщательном его рассмотрении могли бы сказать что-нибудь более утвердительное). Во всяком случае, похоже на то, что между галактиками нуклонам вообще «нечего делать». Там свободно и практически без всяких искажений бегают фотоны самых разных энергий, а также, как ни в чём не бывало, бегают поистине элементарные частицы типа нейтрино, электронов и позитронов. В любом случае, эти три частицы там могут существовать запросто, не имея при этом ни малейшего намёка на хотя бы какую-то нестабильность параметров их конструкций, а тем более – на их целостность.
Но вот где уже совсем нечего делать нуклонам (как составным частицам), так это в эфире между Скоплениями галактик. Подчеркнём, что мы не говорим о том, что, допустим, атомов не может быть между Скоплениями галактик. Ведь там, похоже, пребывают гигантские облака, скажем, холодного газа. Но мы говорим о том, что размеры самих этих облаков не могут быть значительно большими размеров – кластеров Скоплений галактик, а следовательно, приравнивая эти скопления облаков к Скоплениям галактик, мы говорим о том, что между всеми этими скоплениями эфир может и должен быть очень и очень разрежённым.
Сделаем важное замечание. Мы говорили о том, что гравитация начинается с искривления путей гравитационных потоков изотропного гравитационного вакуума на медленных телах типа привычного нам мира вещества, собранного в виде медленных элементарных частиц в структуры предметов, планет и звёзд. В этом смысле нельзя путать явление увлекаемости эфира, например, Землёй с явлением кластеризации эфира (самого с собой). Хотя эти явления, на первый взгляд, похожи друг на друга, так как в них речь идёт о действиях гравитации. Но явление увлекаемости эфира скорее ближе к явлению Инерции, чем к кластеризации эфира. Здесь гравитационные изотропные «лучи», налетая на движущуюся Землю и прошивая вещество всей Земли, просто приобретают инерцию Земли, сдвигая свой поперечный путь в пространстве в соответствии с приобретённой ими скоростью движения Земли. Вылетая же затем из тела Земли, гравитационное поле Земли движется вместе с Землёй уже с новой для него поперечной инерцией.
Но настоящая кластеризация начинается только с «кубиков» эфира с размерами рёбер




Ещё раз приведём стандартный пример нашей методики, касающийся останова движения расширяющегося эфира действием сцепки эфирной гравитации (эфира самого с собой).
Итак, заключительный пример.
Диаметр «резинового» Жгутика эфира –

Плотность распределения эфира, выраженная в килограммах его массы – ρ =

Угол «кривизны» останова расширяющегося Жгута –

Масса куба эфира:
М = V ∙ ρ =





Сила инерции такого куба, летящего по радиусу удаления от центра Большого Взрыва:

Сила сцепки соприкасающихся кубов эфира:

Центростремительная сила, которая тянет один куб массой



Мы видим, что в расширяющемся Жгуте эфира сила инерции, толкающая его от центра Взрыва, всё ещё продолжает оставаться большей, чем центростремительная сила, которая постоянно тянет этот Жгут «вниз» к центру Взрыва и к его непременному, в конце концов, останову.
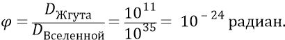
При этом гигантском размере Жгутика (π D = 3,14 ∙

его длина настолько непостижимо огромна для нас, что он словно бы выпрямлен в отношении своей гигантской длины настолько, что эта его кривизна составляет угол


И здесь мы, в очередной раз, не можем удержаться от того, чтобы не уколоть физиков по поводу их неприличного в культурном обществе жаргона. Потому что их «кривое пространство» уже вконец задолбало всех школьников и дилетантов. Уважаемые физики, пора и здесь вам приходить, наконец, к Здравому Смыслу. Никакую не кривизну пространства вы наблюдаете (привет Вам, господин Эйнштейн!). Вы наблюдаете только продольное
сферическое искривление ПЛОСКОСТИ расположения
на ней объёмов эфира –
как «кубиков» эфира, прижатых один к одному по всей длине расширения Жгута Вселенной. Искривление ПЛОСКОСТИ (расположения на ней прямых кубиков эфира) – может случаться в реальности и в точности соответствует здравому смыслу.
Но искривления ПРОСТРАНСТВА, занятого под объёмы этих кубиков, не может быть нигде и никогда, ни в какой нормальной (классической) физике. Оно, это идиотическое искривление пространства, может иногда случаться в теориях физиков, философия которых (философия и этих теорий, и этих физиков) не соответствует здравому смыслу и пудрит мозги простому школьнику.
Трагедия же физиков состоит именно в том, чего никак нельзя предположить в отношении их мыслей и действий: будто бы физики «наблюдают» сферическое искривление плоскости расположения объёмов эфира. Именно этого они пока (вместе с ОТО) не наблюдают до сих пор, потому что вообще никак не «наблюдают» эфир. Вот в чём их беда.
Итак, настоящая кластеризация начинается только с объёмов «звёздных» кубиков эфира, плотностью эфира в них



















То есть весь наш «резиновый» Жгут длиной 3,14∙


Этот пример даёт нам фактически модель действительной кластеризации. Но только в этой действительной кластеризации мы увеличиваем масштабы: кубометр эфира превращается в кубик










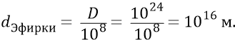
Итак, теперь мы будем почти одновременно: и расширять Вселенную, и кластеризовывать в ней эфир. Начинаем с объёма первичной гравитационной Эфирки. Оценим объём её первичного эфира. Если (грубо) считать её пропорциональные размеры такими же, как у Большой Эфирки Большой Вселенной (Жгута) –





Тогда объём её эфирного тела:

Повторим вычисление объёмного эфирного тела Вселенной:

Отношение объёмов Вселенной и Эфирки:

При этом оценим примерные объёмы эфиров разных уровней их кластеризации:




Здесь мы учли ту кластеризацию, которая стягивает эфир из «окраинных холодных» областей Жгута Вселенной полного её диаметра сечения


Далее (без подробных пояснений) найдём массы («вес») эфиров этих областей:










То есть здесь мы нашли пока ту массу Вселенной, которую она имела, если бы была сплошь заполнена только окраинным низкочастотным эфиром с его ранее рассчитанной нами плотностью тонких жгутиков (

Массой всех звёзд в галактике –



При этом эфирами между галактиками, между Скоплениями и между Метагалактиками мы пренебрегаем по отношению к эфирам самих галактик, Скоплений и Метагалактик, по причине заведомой разрежённости этих промежуточных эфиров по отношению к эфирам названных единиц.
Итого вес всей Большой Вселенной:

Сделаем теперь важное замечание. Вся эта масса эфира была когда-то сосредоточена в «малой» первичной Эфирке объёмом:

С тех пор абсолютно точно: сколько частиц электромагнитного эфира было тогда рождено, столько же их сейчас и осталось. Они никуда не могли из Вселенной исчезнуть и ниоткуда не могли появиться. Поэтому мы можем определить плотность эфира в первичной Эфирке, того эфира, который расширялся, кластеризовывался и дал найденную нами его массу:

