
Гравитация и эфир

Такая плотность первичного эфира почти на 21 порядок больше той плотности












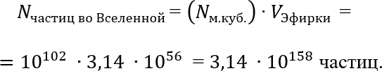
Итак, количество частиц в Большой Вселенной:

При этом количество элементарных частиц типа электронов, позитронов, нейтрино (и даже, включая сюда составные – нуклоны) потеряется где-нибудь в 100-ом знаке после запятой, а то и того их будет меньше.
Проверяем соотношение массы (веса эфира) Большой Вселенной, количества частиц и массы одной частицы (9,10953 ∙


И наконец, последнее замечание. Нам абсолютно ясно, что эфир расширяющейся Вселенной «въезжает» в последний, восьмой период своего замедленного радиального движения, с его «гравитационным» весом на 6 порядков превышающим «объёмный» вес кубометра эфира



Затем, почти сразу после начала 8-го периода (в течение этого периода скорость расширения Скорлупы Вселенной падает от единицы скорости света С до нуля), следует короткий период кварк – глюонной плазмы с рождением в её заключительной части нуклонов и с последующим далее медленным остыванием температуры – энергии частиц эфира. Эта последующая эра очень хорошо уже разработана физиками, с их Стандартной моделью и ядерной физикой. Но и для них было бы неплохо вплести в эти их теории тот эфир, которого там явно недостаёт.
Итак, проецируя наши предположения о структуре кластерности эфира на космологическую кинематику движения масс вещества по четырём известным законам Ньютона, мы постепенно приближаемся к тому какому-то образу Вселенной, который видится пока ещё в туманной форме некоего гигантского Кокона из паутинок, но имеющих некоторую причудливую структуру: они имеют по всей своей длине не постоянную плотность, но прерывную, как и имеют, следовательно, некоторую прерывную плотность на разрыв. В любом сечении гигантского Жгута эти прерывности, в первом приближении, распределены (мы не скажем, что по случайному закону, но) по некоторому, надо полагать, «интерференционному» закону, подчиняющемуся, однако, достижению некоторой средней, но в объёме всего Жгута – целостной плотности (при толщине – сечении тонкой звёздной резинки


Автор данной книги уверен в следующем. На такую смелую позицию, объявляющую буквально непримиримую битву господствующей ныне Власти, способен не столько смелый, сколько супер-наглый человек. Однако эта его наглость на порядок уступает действительной наглости Власти, позволяющей себе, уже в 21-ом веке, не замечать нового, а тем более – кардинально нового, о чём в последние 20 лет кричат одиночки – всяк на свой крик.
Интересно вот что. Как же физики, подавленные почти насмерть этой наглой Властью, будут (уже совсем скоро) оправдываться перед уже всё понимающими школьниками за свою предательски безвольную позицию? Эту позицию они заняли, в особенности, – в последние 50 лет, уже чётко понимая, что идут явно не туда, но, тем не менее, согбенно выпрашивая всяческие одобрения за каждый свой шаг по дороге «не туда» у Той, которая за это же время успела в совершенстве овладеть – как прочной защитой от инакомыслия – тонким искусством пофигизма.
Часть 6. О возможности построения в ближайшем будущем гравитационных передатчиков и приёмников
Приступим теперь к заключительной части главы. Она будет посвящена возможности (и уже – в скором времени) построения гравитационных приёмников и передатчиков. Конечно же, для зондирования далёкого космоса такие приборы должны и будут иметь какие-то большие, протяжённые размеры – конструкции. Но для первоначальных опытов по гравитации они должны быть достаточно малыми, умещающимися, допустим, внутри физической лаборатории, оснащённой специальными для этого приборами
Начнём тему с обсуждения возможных кандидатов на роль активных чувствительных «элементов» гравитационного приёмника. Здесь сразу же не согласимся с современными физиками, остановившими свой выбор на лазерных лучах. Да, лазерные лучи обладают многими прекрасными точностными характеристиками, которые способны как бы «навязывать себя» физикам: «Мы – верх совершенства для достижения точности эксперимента». Кроме того, фотоны луча электрически нейтральны, и это тоже ставится им в плюс в смысле их независимости от электромагнитных полей (хотя с этим последним утверждением можно и поспорить). Однако лазерный луч имеет очень серьёзный недостаток, почему-то невидимый физиками: он – слишком инерционен.
– Это вы про лазерный луч? – удивится физик – Но он ведь сделан из фотонов, не имеющих массы? Куда уж легче?
– Вы забыли, любезный, что он имеет «импульс» (количество движения). Спросите у Эйнштейна, он от этого не отказывается.
К великому сожалению, физики не знают, из чего сделан фотон. Они думают, что фотон должен быть легче элементарной частицы типа электрона. Но мы, в своей философии, утверждаем о том, что элементарные электромагнитные кванты, из которых сделан любой фотон (чего физики не знают), имеют ньютонову массу точь-в-точь такую же, какая она у электрона. И поэтому, в этом смысле, мы утверждаем: именно электрон имеет перед фотоном гигантское преимущество. Школьник уже догадался – какое. Правильно: фотон всегда движется с очень высокой скоростью – со скоростью света. Его нельзя замедлить. А если и можно будет это сделать в будущем, то для этого надо прилагать много энергии, сам факт применения которой делает неудобным способ замедления фотона. Но электрон физики могут замедлять чуть ли не до нулевой скорости (а вернее – именно до «нулевой») и замедлять хоть сейчас. Можно, например (почти запросто), замедлить электрон в миллион раз по отношению к фотону:

Это – фактически скорость звука (340



Но почему же физики не говорят об электроне, как о возможном кандидате на главный элемент гравитационного детектора? Потому что они не знают, что такое фотон. Поэтому не знают, чем он хорош, и чем он плох.
Зачем нам нужна труба-цилиндр? Она служит лишь усилителем отклонения электрона, испущенного из какого-то самого простейшего линейного ускорителя (ускорителя до малой скорости 300 м/сек). В зависимости от того, каким гравитационным полем мы будем «освещать» трубу-цилиндр, соответствующим будет и поведение (отклонение) электрона.
Оценим преимущество использования в качестве «гравитационного детектора» – медленного электрона перед быстрым квантом лазерного луча. Итак, для электрона, замедленного до скорости 300 м/сек, его инерционность, как инерционность не релятивистской, то есть, низко-скоростной частицы, будет определяться параметром – «количество движения»:

Для единичного же кванта, из множества которых состоит лазерный луч, этот параметр равен:

То есть луч лазера в


Оценим теперь инерционность единичного гравитационного кванта:


Мы видим, что маленький единичный гравитационный квант на 2 порядка более инерционен, чем квант луча лазера и на 8 порядков более инерционен, чем медленный электрон. Поэтому с точки зрения получения хорошей эффективности отклонения направленной гравитацией единичного элемента измерительного «гравитационного детектора», эту гравитацию остаётся только грамотно направить в нужное время в нужное место. А учитывая тот фактор, что плотность гравитационного вакуума


Поскольку с кандидатом на роль главного элемента гравитационного детектора мы уже чётко определились (это – медленный электрон), то подумаем о том, каким должен быть гравитационный приёмник. Этих приёмников можно разработать великое множество – самых разных. Всё зависит от того, на какой гравитационный сигнал должен быть «настроен» этот приёмник. А этих «сигналов» тоже может быть великое множество. Всё зависит от того, какой объект мы выберем в качестве гравитационного передатчика или какой гравитационный передатчик создадим сами. При этом мы абсолютно уверены в том, что здесь не только физиков, но студентов и школьников будет ожидать гигантский простор для выбора ими тех или иных конструкций – как приёмников, так и передатчиков. Всем им надо только немного подсказать философией (в особенности – подсказать зацикленным на ОТО физикам).
Интересно ещё и то, что вслед за разработкой конкретных приборов первой встанет неизбежная задача: измерить скорость гравитационного излучения. Похоже на то, что тому, кто это сделает первым, непременно будет полагаться Нобелевская премия по физике. Потому что измерение такой поистине фундаментальной величины – это эпохальное событие для людей – Землян.
Мы уже критиковали наших физиков в начале главы по поводу того, что в поисках гравитационного передатчика их мысль зачем-то улетела за тридевять земель. И действительно: зачем так далеко ходить, когда великолепный гравитационный передатчик висит прямо над головой у каждого физика в каждую его земную ночь? Это, конечно же, наша любимая Луна. Как же можно было не заметить этот «передатчик»? Здесь мы вспомним всё того же Крылова: «Слона-то я и не приметил». Если кто-то будет и теперь сомневаться в том, что Луна – «передатчик», то есть, излучатель гигантской гравитационной энергии, посылаемой на нашу Землю, то можно напомнить, например, о морских приливах. Эти приливы, помнится, использовал в своих прикидочных расчётах ещё сам Ньютон.
Да, конечно, физике гравитационного прилива сильно помогает гигантская сила сцепки атомов воды друг с другом, вплоть до силы поверхностного натяжения воды. А также помогает длительное притяжение гигантского массива воды в одном и том же направлении. Но ведь каждый атом воды – это всё те же орбитальные электроны да кварки в нуклонах. Причём каждый из них в отдельности заметно проигрывает нашему медленному электрону-детектору. Орбитальный электрон, со своей скоростью


Однако ещё с самого начала темы о Луне мы уже как бы слышим недоумённый вопрос физиков, и в особенности – защитников теории относительности:
– Но позвольте, как можно заметить влияние Луны на электрон, если Луна практически неподвижна по отношению к нему?
На это мы ответим так:
– Господа, свою любимую «относительность» вы видите, но ни о какой другой даже думать не хотите. Если Луна не колеблется по отношению к электрону, то электрон-то запросто может колебаться относительно Луны. Надо только грамотно построить это его движение – колебание.
Как же грамотно построить движение электрона при том, что само это движение в установке должно быть, безусловно, линейным? Потому что, допустим, любое круговое движение электрона-детектора – это то, где на него действуют постоянные электромагнитные силы, которые на много порядков превышают любые внешние гравитационные силы. То есть в любом случае мы двигаем электрон в какой-то металлической трубе (для его защиты в ней от внешних электромагнитных полей, которые обязательно во множестве пронизывают любую земную лабораторию, и которые на много порядков превышают полезное гравитационное поле, отклоняющее в этой трубе электрон – детектор).
Итак, сама труба – цилиндр служит «усилителем полезного сигнала», а этим «сигналом» является просто постоянное поле Луны, отклоняющее электрон в длинной трубе под действием этого внешнего гравитационного поля, которое запросто проникает через «дырявую» для него атомную сетку металла трубы. Источником серии одиночных последовательных электронов служит самый простейший линейный усилитель – ускоритель, который, безусловно, располагается в самой трубе на одном из её концов. На другом конце трубы располагается некий «экран» для падающего на него электрона. Об этом экране мы скажем ниже по тексту.
Если труба остаётся неподвижной относительно источника гравитации (Луны), то все электроны, выстреливающиеся из «электронной пушки» и летящие далее в цилиндре трубы по инерции, будут искривлять свой линейный путь в сторону Луны и, следовательно, отклоняться на экране в сторону Луны. Но если развернуть трубу на

Для того чтобы минимизировать паразитное гравитационное влияние Земли, в установке учитываются три обязательных фактора. Во-первых, измерительную трубу надо располагать и вращать строго в горизонтальной (касательной к Земле) плоскости по отношению к горизонту Земли. А следовательно, время проведения эффективного эксперимента наступает лишь тогда, когда для данной широты и долготы той точки, где расположена на Земле установка, ось цилиндра трубы проходит через диск Луны, то есть при восходе Луны над горизонтом или при её заходе за горизонт. Во-вторых, установку надо обязательно располагать на пике какой-нибудь высокой горки. Кроме того, эксперимент, безусловно, надо проводить только в ясную погоду, когда на небе нет движущихся облаков.
Сейчас решим следующую задачку: на каком расстоянии от установки должна пролететь птица, массой, допустим, 1 килограмм, чтобы помешать проведению эксперимента
Птица не помешает, если эффект её влияния на прибор будет на порядок ниже влияния Луны. Вычислим силу, постоянно действующую на медленный электрон со стороны Луны:

Рис. 20.9


Если птица пролетает на расстоянии одного метра от установки, то гравитационная сила её действия на электрон:

Мы видим, что влияние даже очень близко летящей птицы на установку будет в миллион раз меньшим (41–35 = 6 порядков), чем постоянно действующая на электрон гравитационная сила Луны. Поэтому макушки близко стоящих и качающихся на ветру деревьев тоже не слишком заметно повлияют на эксперимент. Хотя, лучше будет, если они не будут пересекать ось «установка – Луна».
И, наконец, третье и самое главное условие независимости детектора от гравитационного влияния Земли. Поток частиц в трубе обязан состоять только из горизонтально-поляризованных электронов. Такие частицы практически нечувствительны к любым гравитационным квантам, летящим от массива Земли по направлению «вверх» – к установке, расположенной, к тому же, на дополнительной возвышенности. Но об этом условии знаем только мы в нашей философии. Физики же вообще не понимают, о чём идёт речь, так как они, кроме того что не имеют модели электрона, но (в отношении разговоров о гравитации) не знают о том, что внутри любой элементарной частицы обязательно располагается гравитационное её ядро. Но даже если бы они узнали об этом, то этого знания было бы ещё недостаточно для того, чтобы грамотно строить гравитационные приборы любого типа. Главное здесь в том, что Природа подарила нам, людям, великолепную очередную подсказку, спрятанную в самой структуре – конструкции любой элементарной частицы, в том числе – в электроне и в кванте – частице эфира.
Рассмотрим теперь (упрощённую) структуру электрона, с включением в неё гравитационного ядра (рис. 20.10). По своей поляризации преонных колец гравитационное ядро является фактическим повторением поляризации электромагнитно-образующих преонных колец электрона. То есть плоскости поляризации колец гравитационного ядра и электромагнитных
ГОРИЗОНТАЛЬНО ПОЛЯРИЗОВАННЫЕ ЧАСТИЦЫ
Рис. 20.10
колец жёстко совпадают. Иначе и быть не может. Ведь и преонные нитки гравитационных колец, и преонные нитки электромагнитных колец когда-то давно накручивались одним и тем же полем преонного ядра любой частицы (гравитационной или электромагнитной), несмотря на то, что эти процессы «накрутки» гравитации и электромагнетизма отстоят по времени друг от друга на миллиарды миллиардов лет. Именно потому, что конструкции гравитационной и электромагнитной частей в одной и той же электромагнитной частице жёстко поляризованы, мы имеем (Природа имеет) прекрасную возможность не только управлять электромагнетизмом с помощью гравитации, но и наоборот – генерировать заданные гравитационные поля, сделанные из изначально первичных гравитационных космических частиц, более поздними, но более сложно организованными электромагнитными частицами.
А этими последними, в свою очередь, уже научились как-то управлять физики, хотя не всегда понимают при этом, как это их управление происходит на самом деле, а не так, как они думают.
На рисунке, конечно же, все гравитационные частицы непропорционально увеличены на много порядков по отношению к электромагнитному электрону. На самом деле (мы помним) размеры – диаметры колец гравитационных частиц меньше размеров электромагнитных на 6 порядков.
Итак, мы чётко видим, что как бы ни вращалась горизонтально-поляризованная частица (электрон и его ядро), но всегда она обращена «вниз – в сторону Земли» только рёбрами своих колец. Напротив, на любые налетающие на неё горизонтально-поляризованные частицы она периодически «смотрит» плоскостями своих колец и поэтому взаимодействует только с такими частицами. «Снизу» же от Земли на такую частицу могут налетать только частицы вертикальной поляризации, две из которых показаны на рисунке внизу справа. Левая из этих частиц поляризована в вертикальной плоскостиXOZ (она вращается вокруг оси, параллельной OY). Правая частица поляризована тоже в вертикальной плоскости, но YOZ (вращается вокруг оси, параллельной OX). Напомним, что плоскостью поляризации для любых частиц мы называем такую плоскость, в любое направление которой периодически «смотрят» своими плоскостями кольца частицы. Только в такой плоскости частица умеет излучать «из себя» своё поле – как поток частиц, проходящих сквозь её кольца, взаимодействующих с этими кольцами и направляемых далее этими кольцами в ту же сторону, куда эти кольца «смотрят». Мы чётко видим, что «нижние» – земные частицы умеют «смотреть» плоскостями своих колец только на вертикальные рёбра нашего горизонтально-поляризованного электрона, но никогда – на его плоскости, которые (эти плоскости) мелькают – смотрят, в сою очередь, на горизонтальное направление тех, например, частиц, которые налетают на электрон в этой плоскости от «левой» Луны. Нижние же частицы, пролетая снизу-вверх мимо электрона, «посмотрят» на него только в один миг, когда они будут пересекать горизонтальную плоскость XOY. Но, во-первых, на электрон посмотрят только те из них, плоскости колец которых будут в этот миг точно обращены на электрон, а электрон, в свою очередь, должен тоже в этот миг смотреть на эти плоскости колец, обращённых к нему. А во-вторых, несмотря на то, что в этот миг частицы и электрон могут встретиться «взглядом», но они слишком слабо встретятся своими гравитационными полями. Потому что, поскольку мы говорим о потоке «нижних» именно гравитационных частиц, то они пролетают через плоскость XOY настолько быстро, что способны сформировать вокруг электрона только поле, уступающее на много-много порядков тому, которое излучали бы, если бы они двигались в одной горизонтальной плоскости с электроном. Те же «мгновенные» гравитационные кванты, которые в этот миг будут всё же посланы в сторону электрона, – абсолютно изотропны по своему действию на электрон с самых разных горизонтальных «миговых» направлений.

