
Гравитация и эфир
Глава 21. Планетарный атом – как излучатель фотона. Продолжение теории Планка и Бора методом классической физики
История возникновения этой главы довольно неожиданна. Изначально она вообще никак не планировалась в «Философии». Но мысль о её написании сначала возникла в связи с главой «Гравитация», а конкретно – в связи с задачей ответа на вопрос о том, что такое на самом деле «реликтовое излучение». И поскольку это излучение состоит, как теперь экспериментально установлено, из фотонов очень низкой энергии, то сначала надо, наконец уже, дать ответ на вопрос 100-летней давности о том, что же такое есть на самом деле «квант энергии» (фотон) в теории Макса Планка. Мы утверждаем, что и по сию пору никто из физиков даже близко не подошёл к ответу на этот фундаментальный для всей физики вопрос.
Конкретным началом нашего ответа на этот вопрос явилось издание в 2018 году второго тома «Философии здравого смысла», где сразу в нескольких главах были изложены начальные условия ответа на вопрос о кванте энергии. Однако тогда не хватило ни мета во втором томе, ни времени на всесторонне тщательное исследование (к весне 2018 года, когда был издан том). Четыре части главы «Гравитация» были практически готовы к началу сентября 2018 года, когда автор принял участие в Московской Международной книжной выставке-ярмарке на ВДНХ, состоявшейся в первых числах сентября того года. Но само решение о включении в главу 20 («Гравитация») темы пятой части о фотоне возникло почти сразу же после выставки, в связи с решением о выпуске этой начальной главы третьего тома «Философии» отдельной книгой – ещё до окончания работы над завершением тома. Четыре следующих по порядку главы третьего тома были написаны задолго до издания первого тома (задолго до ноября 2017 года). Поэтому оставалось завершить работу по четырём последним главам (из 9-ти глав третьего тома). Однако незавершённая тема о фотоне плохо вписывалась в эти оставшиеся главы. И по этой причине с фотоном, следовательно, предстояло разобраться именно в данной, 20-й главе. Работа над пятой её частью продолжалась в вяло-текущем (по многим обстоятельствам) режиме вплоть до конца мая 2019 года. И поскольку тема о фотоне всё же выглядела как бы инородной в главе «Гравитация», а также поскольку она со временем выросла в довольно внушительный объём страниц, то ближе к концу мая 2019 года оформилось решение о выделении темы о фотоне в отдельную главу.
Всё то, что мы сейчас будем объяснять школьнику, является абсолютно новым в физике. Оно именно абсолютно новое потому, что никто из физиков пока ещё не подошёл к такого рода объяснениям сути квантового мира вещества. Этот «кто-то» не подошёл не потому, что не способен понимать или не хочет знать нового. Причина в другом: он боится Власти. Он полностью подчинён жестокой Власти. Власть же у людей всегда была высокомерной и наглой. Таковой она остаётся и сейчас. Эта Власть ненавидит всё то новое, что исходит не от неё. Но поскольку она, к тому же, ещё и боязлива, то не способна придумывать действительного кардинально нового. Она сама такого нового боится: «Как бы чего не вышло». И поэтому придумывает только боязливое «маленькое новое», что в переводе на язык здравого смысла означает: очередной реверанс в сторону всё той же Власти.
Однако поскольку в наших последних определениях сквозит жесть, то мы обязаны пояснить – что мы называем тут и вообще везде в нашей философии «Властью». Если кто-то из физиков подумает о том, что под Властью мы можем разуметь, скажем, достижения великих и не столь великих учёных, не говоря уже о них самих, то такой физик – совсем простой. Достижения и великие умы – были, есть и будут. Но Власть – это совершенно другое. Власть – это очередное идиотическое положение, мнение, претендующее чуть ли не на закон поведения, в соответствии с которым никому из смертных не позволено идти против оформившегося в круговую поруку Большинства: «мы, а за нами великие учёные, лучше знаем о том, – что делать, кому делать и когда делать; но мы также знаем и о том, чего делать недопустимо и почему так делать нельзя». Самыми весёлыми словами в этой формулировке атакующего Большинства являются следующие – «а за нами великие учёные». Нормальненько: великих учёных «прикарманили» себе – любимым.
Но великие учёные потому и великие, что сначала всегда шли против действующей в их время Власти. Те, которые были «непримиримыми борцами за правду», шли «на таран», в лоб Власти, подставляя свою грудь под её подлые удары. Те же, кто похитрее – шли в обход, следуя поговорке «умный в гору не пойдёт, умный гору (Власть) обойдёт». Так было всегда. Так есть и сейчас. И не только и даже – не столько в физике, но вообще – в любой сфере общественной жизни.
Итак, сейчас мы будем обращаться к Свободным людям, каковыми считаем только школьников. Мы всегда, на всех страницах «Философии», обращаемся только к ним. Но не к физикам, удобно устроившимся на долгий привал, боязливо поглядывая на заоблачную Вершину: «А хватит ли силёнок; а может – ну её, высокую и далёкую?»
Сейчас мы приступим к очень тяжёлой теме атомной механики. Эта тема довольно сумбурно освещена в многочисленных учебниках и в ещё более многочисленных статьях и книгах самих физиков. Мы скажем жёстко: на этой теме сломались физики 20-го века, которые лишь слегка затронули её основы, в результате чего у них оформилась такая теория как «квантовая механика». Эта теория родилась от бессилия физиков решить проблему классическим путём. Здесь даже такие корифеи, как Нильс Бор, вынуждены были свернуть на временную (как мы в том уверены) тропинку вероятностного описания атомных процессов.
* * *Итак, в главе «Электрон в атоме» 2-го тома Философии мы указали на фундаментальную ошибку Бора о выборе им квадратичной зависимости радиуса (r) стационарной орбиты от номера (n) орбиты. Квантовая же физика, в отличие от теории квантовой механики, располагает атомные орбиты по их радиусам в линейной зависимости от номера орбиты. При этом исходным размером радиуса орбиты для любой теории следует считать радиус первой («боровской») орбиты. Этот радиус – особенный в теории атома потому, что именно орбиту с этим номером можно и нужно считать основной атомной орбитой, поскольку физикам – спектроскопистам известно, что при температуре близкой к комнатной (20°С) орбитальные электроны атомов разных веществ большую часть времени находятся именно на этом стационарном уровне и именно к нему возвращаются после очередного режима возбуждения атома. И хотя радиус атомной орбиты до сих пор считается ненаблюдаемой величиной, но как многочисленные теоретические, так и практические оценки величины этого радиуса говорят о том, что возможная ошибка его оценки ни в коем случае не может составлять какие-нибудь «разы» от действительного природного значения радиуса, но обязана составлять лишь малые проценты от истинной природной его величины. Мы, вслед за физиками, принимаем «табличное» значение этого радиуса –

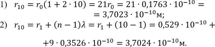
Но далее, поскольку и среди дилетантов, и среди профессионалов наблюдается великая путаница в представлении всеми ими картины стационарных атомных орбит, то приведём масштабный рисунок орбит, на который мы равнялись прежде и будем равняться всегда в будущем.
Учитывая тот факт природы атомного резонанса, что каждая последующая стационарная орбита обязана отстоять от предыдущей ровно на длину волны кванта эфира «лёгкого» слоя электромагнитного вакуума, мы приведём масштабный рисунок распределения первых атомных орбит, а также формулу для подсчёта радиуса любой орбиты (рис. 21.1).
Здесь длина волны «лёгкого» кванта эфира:

где

На длине этого диаметра, как и на каждом шаге новой орбиты, квант «лёгкого» эфира делает в пространстве один полный оборот вокруг оси своей конструкции, входя в конце каждого такого шага (на уровне очередной стационарной орбиты) в пространственный резонанс с конструкцией орбитального электрона, кружащего по этой орбите.
СТАЦИОНАРНЫЕ ОРБИТЫ АТОМА
Рис. 21.1
Приведём несколько примеров расчёта орбит.
Для первой орбиты:


Для десятой орбиты:

Для сотой орбиты:

Для тысячной орбиты:

Мы видим, что на самом деле (как мы в том теперь уже абсолютно уверены по многим причинам нашей уверенности) атом с орбитой номер 1000 (тысяча) имеет не тот гигантский диаметр, который этому номеру ставят в соответствие физики (0,1 мм), но всего лишь 0,035 микрон. Такой атом не только невидим глазом человека, но его только-только можно было бы «увидеть» в школьный микроскоп, если бы в микроскоп можно было бы видеть электронное атомное облако. Но гигантский атом с «тысячным» номером физиков, размером 0,1 миллиметр человеческий глаз увидел бы запросто, что немного не вяжется со здравым смыслом: человек своими органами, вроде бы, не должен видеть атомы, как и не должен видеть, например, ультрафиолет, а также ИК-диапазон фотонов.
Но у физиков, с их квадратичным распределением размеров орбит, размеры атома с


Но теперь, в дополнение к теме стационарных орбит, мы скажем о существующей в атоме сетке «супер-тонких» дискретов орбит, которые можно было бы назвать «суб-орбитами», о которых физики не только естественным образом не знают, но никогда не было и нет никаких предпосылок, в соответствии с которыми физики могли хотя бы что-то узнать об этих орбитах. Хотя некоторые отдалённые намёки на эти орбиты у физиков можно уловить тогда, когда они рассуждают о некой «тонкой структуре» перехода, естественно не понимая физики этой «структуры». Не знают же они (и не могут знать) ничего об этих суб-орбитах лишь потому, что они практически ничего не знают об эфире. Мы же не только говорим, но кричим физикам о том, что мы вместе с ними и вместе со всеми нашими атомами живём внутри нашего двухуровневого эфира. Это значит, что кроме квантов эфира «лёгкого» его слоя протон ядра обязательно излучает и кванты-частицы «тяжёлого» эфира, длина волны которых вдвое превышает размеры нуклона:

И поэтому между каждыми двумя последовательными стационарными орбитами, повторяющимися через длину волны «лёгких» квантов-частиц эфира,

укладывается следующее количество длин волн, а следовательно, суб-орбит, поддерживаемых (хотя и весьма слабо поддерживаемых) квантами тяжёлого уровня эфира. То есть между «полочками» стационарных орбит существуют и «полочки» – дискреты поля протона суб-орбит:

дискретов промежуточных орбит.
Тогда выражение для частот, например, серии Лаймана (для «классического»


но формулой:

имея при этом в виду, что серия Лаймана будет, начинаясь от R, уменьшаться не на бесконечно-малую величину дискрета (как



То есть следующей «полочкой» для частоты (а следовательно, для энергии квантов излучения и поглощения) будет

а вторым дискретом сетки частот (при отсчётах частоты «сверху-вниз» для серии Лаймана будет:

При этом можно быть уверенными в том, что в этой сетке частот из возможных 17630 дискретов серии Лаймана найдутся практически все любые – известные физикам.
Заметим, что более всего «тонкая структура» перехода, о которой иногда говорят физики, будет проявляться для положения электрона на его первой (боровской) орбите, когда положение электрона наиболее стабильно, по причине высокой там скорости электрона и одновременно высокому там уровню напряжённости поля протона, цепко держащего электрон на этой орбите сильным потоком квантов эфира (поля протона), держащих резонансным способом электрон на этой орбите.
Рассчитаем, для примера, дискрет суб-орбиты на уровне первой стационарной орбиты:

Для мириадного количества «квантов энергии», ежесекундно прошивающих атом того мира вещества, нагретого до той температуры (20°С), при которой мы, люди, живём в космосе, энергия квантов

При всём этом мы ещё раз хотим повторить следующее. В своей книге «Философия здравого смысла» мы занимаемся никакой не физикой, но только философией физики. То есть все наши вычисления ни в коем случае нельзя считать какими-то точными физическими. Этими вычислениями мы лишь иллюстрируем возможные подходы к тем задачам, которые могут решаться значительно проще и точнее, чем их решают физики. То есть если физики того захотят когда-нибудь, то они могут профессионально уточнять наши формулы и наши вычисления. Если же они не захотят, то это же могут захотеть сделать школьники. И тогда физики смогут отдыхать.
* * *А сейчас мы начнём приводить в соответствие со здравым смыслом сильно запутанную физиками энергетику атомных орбит. При этом будем решать все задачи, естественно, только классической физикой. Но предварительно поговорим об электродинамике.
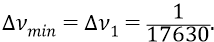
В главе «Ошибка Максвелла» (том 3 Философии) мы показываем, что вектор-направление магнитного поля неверно отражает направление реальных потоков квантов этого поля. Например, в теории атома физики говорят о том, что атомная орбита стремится ориентироваться своим спином вдоль направления магнитного поля (Н). Но спин электронов, как его представляют физики, ориентирован у них всегда: либо параллельно механическому моменту атома, либо антипараллельно ему. Но приводимый нами сейчас рисунок (рис. 21.2) чётко говорит о том, что поле Н, ориентированное так, как на рисунке, то есть параллельное-антипараллельное спину S электрона, вообще никак не может влиять на электрон той орбиты, плоскость которой перпендикулярна полю Н (только при такой ориентации поле Н параллельно спину S). Потому что поток квантов с направления поля Н, показанного на рисунке, всегда будет налетать на рёбра электромагнитных колец конструкции орбитального электрона и, следовательно, никак с электроном не будет взаимодействовать.
Вообще говоря, очень похоже на то, что макро-физику Максвелла, с его векторами электромагнитной волны Е и Н, к теории атома лучше не привлекать. Здесь, внутри атома, вполне можно и даже нужно обходиться лишь электрическим полем Е. Когда же физики в опытах по явлению Зеемана (влияние на атомные спектры магнитных полей) и явлению Штарка (влияние на спектры электрических полей) привлекают гигантские электрические и магнитные поля больших напряжённостей (40 000 эрстед – для магнитного поля и 100 000 В/см – для электрического поля), то все эти векторы Е и Н по отношению к атомам, в которых плоскости поляризации орбит электронов распределены чуть ли не по равномерному закону (для разных орбит разных электронов, кружащих в полях своих протонов ядра одного и того же атома), приводят физиков к такому сумбуру, в котором абсолютно непонятно, как какой-нибудь конкретный атом может быть ориентирован к этим векторам, и как он может, следовательно, реагировать – то ли на поле Е, то ли на поле Н.

Рис. 21.2
Поэтому вектор Н мы оставим макро-физике (например, процессу излучения электромагнитной волны дипольной антенной при протекании по её излучающим трубкам токов радио-частоты – то в одну сторону трубки, то в другую). Но в атоме мы вполне будем обходиться только напряжённостью электрического поля Е. Да и Ландсберг в знаменитом учебнике «Оптика» говорит о том (в исследованиях, напрмер, процессов отражения и преломления света), что (стр. 108):
«Магнитный вектор играет лишь второстепенную роль, и действие его непосредственно почти не сказывается».
Поэтому делаем вывод: настоящим направлением «магнитного поля» для данной орбиты атома (если оно претендует на влияние на электрон) может быть только то направление, которое совпадает с плоскостью орбиты. Итак, именно в плоскости орбиты электрона действует внутреннее электрическое поле атома, удерживающее на орбите атомный электрон. И это означает только то, что истинное и эффективно действующее на электрон электрическое поле (являющееся внешним для атома) совпадает (в данном случае) с направлением внутреннего электрического поля, и оно, следовательно, перпендикулярно тому (Н), какое показано на рисунке. Оно может иметь только направление векторов Е, параллельных оси Y и перпендикулярных оси Х (как оси, параллельной векторам Н).
Уважаемые школьники, если вы хотите выяснить направление любого поля в любом случае, то ищите не «векторы» физиков, но потоки квантов-частиц этого поля. При этом вы никогда не ошибётесь, ибо поле – это (чтобы физики себе уяснили) поток квантов-частиц электромагнитного эфира, ориентированных-собранных в этот поток источником этого поля.
Максвелл, неверно выбравший в пространстве взаимное расположение векторов Е и Н в электромагнитной волне, сбил физиков с их понимания реальных процессов не только в электродинамике электромагнитных волн, но и в квантовой электродинамике, а заодно и в квантовой механике. В последней физики дошли-докатились до того, что назвали «спин» – чисто квантово механическим параметром (внимание!!!), «не имеющим аналогов в классической физике». Таким образом, мы со школьниками прекрасно видим, как физики убегали, сломя голову, от классики при каждом следующем своём шаге, вводя в свой обиход каждую следующую «чисто квантово механическую» характеристику.
Возвращаясь к рисунку 21.2, мы прекрасно видим, что если, например, в поле Е преобладают отрицательные кванты-частицы электромагнитного поля, излучённого каким-нибудь эквивалентным «отрицательным зарядом», то такое поле будет ускорять (отталкивать вперёд) электрон, находящийся сейчас в точке А орбиты, и тормозить этот электрон, когда он окажется в точке В орбиты. При этом орбита электрона будет стремиться стать не круговой, но эллиптической, вытянутой в направлении отрицательных значений оси Y. И если, скажем, мы нарисуем справа от этой орбиты другую, параллельную нашей, но принадлежащую другому ядру-протону (в одном и том же, например, атоме гелия), то там направление движения электрона по орбите будет противоположным показанному на рисунке (спин того атома с вращающимся по орбите электроном будет направлен в другую сторону, то есть вдоль положительного направления оси Х). И поэтому ясно: в той орбите это же наше поле Е будет действовать на электрон аналогичных точек А и В прямо противоположно рассмотренному нами на рисунке. Оно будет тормозить электрон точки А (летящий теперь навстречу отрицательным квантам поля Е) и ускорять электрон точки В (убегающий от квантов Е). При этом ясно, что эллипсы двух атомных орбит одной и той же орбитали атома гелия будут сдвинуты по своему азимуту (по числу Зоммерфельда) один относительно другого, что явно приведёт к слегка разным спектрам от этих двух орбит в одном и том же поле Е, излучаемых атомом в каком-то одном и том же заданном направлении, где расположен анализатор спектров исследователей. То есть там будет наблюдаться расщепление уровней возбуждения атома гелия, а как следствие – расщепление уровней испускания – поглощения в спектре гелия, подвергнутого влиянию на атом внешнего поля Е.
После всего этого мы со школьниками спрашиваем физиков: а стоило ли в вашей «квантовой механике» вам убегать от классики, фантазируя себе при этом чисто квантово-механические штучки, «не имеющие аналогов в классической физике»?
Итак, поскольку Бор фактически ниоткуда не вывел энергетическую зависимость стационарных уровней от квадрата номера орбиты (от

В теории Бора шкала энергетических состояний атома намеренно сдвинута «вниз». То есть за нулевую энергию выбрана та, при которой связанный в атоме электрон становится свободным от атома. Мы не выступаем против такой шкалы, но утверждаем, что школьник очень плохо понимает физику энергетических состояний атома, когда используется эта «сдвинутая» шкала энергий. Приведём фразу из стандартного учебника физики, обосновывающую выбор такой шкалы: «Когда электрон находится в атоме, то у него энергии меньше, чем когда он свободен». Из этой фразы мы видим, что тот, кто написал подобный учебник, не понимает того, о чём он говорит. А мы хотим после этого, чтобы школьник понимал физику атома. Уважаемый автор учебника, сейчас мы попробуем вам объяснить обратное: когда электрон попадает внутрь атома и задерживается там на атомных орбитах, то его, электрона, энергия там возрастает. Причём она возрастает всё больше и больше по мере того, как электрон спускается всё ниже по орбитам, приближаясь к самой нижней по отношению к ядру орбите – «нулевой».
Ещё раз. Мы утверждаем, что школьник не понимает, о чём физики ему говорят своей энергетической шкалой: об энергии самого электрона, движущегося как единичное тело внутри атома, или об энергии атома, включающей в себя эту энергию электрона. Поскольку электрон в атоме явно не релятивистский (он движется там со скоростями на 2 порядка меньшими скорости света), то его собственную энергию с большой степенью точности можно и нужно считать чисто кинетической, вычисляемой по фундаментальной классической формуле:

где V – скорость поступательного движения центра масс электрона в любом месте движения электрона внутри атома, то есть при его движениях – как на стационарных орбитах, так и при переходах с орбиты на орбиту. И здесь ни к чему даже никакие ухищрения современных физиков, пытающихся отдать дань господствующей у них ныне теории относительности Эйнштейна. Потому что все поправки на скорость, на 2 порядка меньшую скорости света, приводят к таким малым погрешностям, которые спектроскописты в результате не замечают в изучаемых ими спектрах атома «дышащего» своими электронными переходами. Причём эта кинетическая энергия (как ясно из самой формулы) никогда не может быть никакой «отрицательной», но всегда остаётся только положительной. Кстати, во всех выводах и формулах самого Бора она тоже – только положительная.

