
Гравитация и эфир
потому что заряд


То есть если на верхних орбитах с номерами порядка 10 потенциальная энергия системы составляет величину порядка «минус десятые доли электронвольта», то, скажем, на уровне первой (боровской) орбиты она составит значение, превышающее по модулю 10 электронвольт (сколько конкретно – выясним позже).
Для перемещения заряда




Читается это так: величина (модуль) отрицательной потенциальной энергии падает. Что в переводе на термины нормальной (не сдвинутой «вниз») шкалы означает: потенциальная энергия системы возрастает. И действительно, когда мы поднимаем электрон «выше» над протоном, то мы «заряжаем» систему с помощью работы сторонних сил, «возбуждая» таким образом атом. И поскольку мы затрачиваем силы, то совершаем отрицательную (затратную внешнюю) работу:

работа сторонних сил, обратная положительной (естественной) работе поля протона (когда бы оно притягивало к протону электрон).
И теперь, после того как освежили в памяти физику потенциалов и энергий, принятых в классической электростатике, мы перейдём к тяжёлой теме действительных процессов, происходящих в атоме. Они включают в себя не только статику (и соответствующий ей энергетический путь исследования), но и динамику (кинематику движения электрона), рассматривать которую физики побоялись. Да, мы понимаем физиков. Там были великие трудности. Они были связаны со слишком большими неопределённостями, касающимися действительной механики атома, каковой является не «квантовая механика» физиков, но классическая механика движения реальной частицы в потенциальном поле другой частицы.
Первым из исследователей, кто реально попробовал «на зуб» классическую механику атома, был Нильс Бор. Мы, в своей философии, прекрасно понимаем, в отличие от современных физиков, основную трудность, вставшую стеной на пути первопроходцев ещё задолго до того, когда физики начала 20-го века взялись за исследование атомных процессов. Даже сейчас современные физики не видят эту трудность. Но она фундаментальна. Это эфир. Физики и сейчас, спустя век после тех событий, не знают его. Более того, мы постоянно, чуть ли не в каждой главе Философии, говорим о том, что они боятся знать эфир. В этом – их главная трагедия. Не зная же эфира, невозможно грамотно рассмотреть физику атомных полей, как и физику самих частиц, взаимодействующих между собой в атоме по классическим законам Ньютона.
Тема столь огромна, что на нескольких страницах главы её, конечно же, не удастся рассмотреть грамотно. Но нас опять спасёт то, что в своих оценочных исследованиях мы и не думаем заниматься никакой теорией физики. Теория – это дело профессионалов. Мы же занимаемся лишь философией физики, то есть намечаем некие пути, плохо видимые (а часто – вовсе невидимые) физиками. И что удивительно: не боясь двигаться по этому пути, нам, похоже, удаётся замечать ошибки профессионалов, некоторые из которых можно и нужно называть фундаментальными ошибками.
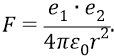
Итак, начнём с главного закона электростатики – с закона Кулона:

Между двумя точечными зарядами действует сила, прямо пропорциональная произведению зарядов, обратно пропорциональная квадрату расстояния между ними и направленная вдоль прямой, соединяющей заряды. В выражение закона входит электрическая постоянная:

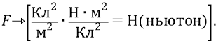
О ней современные физики, похоже, совсем забыли. Но она является необходимым классическим коэффициентом, связывающим (по типу гравитационной постоянной – в законе всемирного тяготения) размерности и порядки величин, входящих в закон. Размерность силы F – Н (ньютон):

Об этой постоянной говорится также в фундаментальной теореме электродинамики – теореме Гаусса.
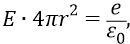
Поток напряжённости электрического поля Е через любую замкнутую поверхность равен полному электрическому заряду внутри поверхности, делённому на постоянную величину


где

Здесь говорится о «потоке через поверхность ∆S», размерность которого равна произведению величины Е на площадь поверхности. О каком потоке говорит теорема Гаусса в применении к атомным полям? Она говорит, конечно же, о положительном «заряде» (протоне), излучающем вокруг себя по всей сфере (4π

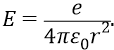
В соответствии с теоремой Гаусса, поток поля Е через поверхность сферы (внутри которой находится единичный заряд):

откуда поле E равно,

Если в поле этого заряда



И теперь мы переходим к самому главному для теории внутриатомного поля. На этом рубеже физики допустили фундаментальную ошибку, влекущую за собой грандиозные последствия. Дело в том, что тогда, когда мы говорим не о многоэлектронном атоме с ядром, где излучателями поля являются многие протоны, но о простейшем, но «фундаментальном» атоме водорода, имеющем один электрон, вращающийся около одного протона, то в таком атоме поле положительного «заряда» – протона не может быть шаровым. Но оно – жёстко поляризовано в «тонкой – претонкой» плоскости, в которой лежит орбита электрона. Физики до сих пор пропускают этот факт мимо своего внимания. И это является для них (уже в 21-ом веке) самым главным упущением, касающимся их взглядов на электродинамику. Современные физики (именно – «современные», которые просто перестали думать о некоторых направлениях своих исследований) виноваты перед школьниками по многим статьям своей деятельности, и об этом мы говорим в каждой главе Философии. Никто не имеет права высказывать претензии к пионерам 20-го века, взявшимся, причём фанатично взявшимся, за решение труднейших проблем, навалившихся на них тяжёлым грузом. Но к концу 20-го века и в начале 21-го мы наблюдаем не только идейный застой, но и деградацию по отношению к первопроходцам 20-го, не говоря уже о деградации по отношению к классикам физики.
В теории же атома современные физики просто ушли от электродинамики, спрятавшись от неё в свою любимую «квантовую механику», которая сейчас сильно замедлила своё развитие.
Но вернёмся к атому. Если не знать физики одноэлектронного атома, то никак не получится построить грамотную физику многоэлектронного. Потому что и в последней нет никаких «шаровых» полей. Физикам эти «шаровые» только кажутся. Именно потому, что физики попытались применить «шаровую» электродинамику к исследованию атомных процессов, у них (у Бора, потому что про остальных мы вообще молчим) ничего не получилось. Ядро атома не построено ни по какой «капельной» модели. Да, там просматривается оболочечная структура. Но действительная структура ядра – чисто кристаллическая.
Жаль, что издание третьего тома «Философии здравого смысла» затягивается по многим причинам, а одной из главных причин является позорная финансовая. В третьем томе мы показываем структуру многих ядер, хотя, если бы было время, то могли бы показать структуру абсолютно всех известных – не только элементов, но и всех тысяч известных (а заодно – и неизвестных пока) изотопов. На Международной книжной выставке – ярмарке на ВДНХ в сентябре 2018 года, на стенде автора данной книги им была «нагло» выставлена модель ядра атома кислорода, состоящая из 8-ми протонов и 8-ми нейтронов. Некоторые физики, посылая пару дежурных фраз в направление стенда (и по этим фразам было понятно, что это профессионалы), спокойно проходили мимо. И лишь дилетанты задерживались и проявляли интерес. Однако и они придавали модели малое внимание, конечно же, не догадываясь о её важнейшем значении. И лишь одна дама, химик, «просекла» физику модели и даже захотела её купить: «Я хочу показать её своему сыну». Я сказал, что вещь – демонстрационная, и поэтому не продаётся. А из той модели было чётко видно, что ядро кислорода состоит фактически из трёх альфа-частиц, соединённых двумя перемычками из нуклонов. Причём все три альфа-частицы там развёрнуты под разными углами, так, что поля протонов, входящих в альфа-частицы и в общем – в «кристаллическое ядро», – все развёрнуты друг от друга в разных плоскостях. Эти поля пересекают орбиты «чужих» электронов фактически лишь в двух точках для каждой чужой орбиты, не мешая, таким образом, этим чужим электронам вращаться вокруг «своих» протонов. Более того, из структуры кристаллической модели становится ясно, что положительные «заряды» (протоны) только потому способны находиться в малых объёмах ядра атома (меньших размера

Поэтому и там, в многоэлектронных атомах, орбиты и все переходы электронов на каждой из них обсчитываются фактически по принципу одноэлектронного атома водорода, лишь с малыми естественными добавками, следующими не из «непонятно чего» (читай – не из многоэтажной математики), но из модели ядра конкретного атома. Модель ядра обрушивает ненужную математику, пожалуй, на 2 порядка её (математики) величины (вот вам и «продвинутая» квантовая механика с её виртуальными «фононами» и «магнонами»). Вообще говоря, один только этот наш вывод, сформулированный в данном абзаце текста, запросто тянет на очередной фундаментальный для всей последующей физики.
Далее мы сделаем ряд допущений, которые будут согласны с теорией квантовой механики в той её части, которая проверена опытным путём теперь уже – векового развития физики. То есть глупо было бы подвергать сомнению все выводы квантовой механики – как неклассической теории, но получившей, однако, результаты, совпадающие именно с опытными данными физиков. Ведь мы прекрасно теперь знаем, как квантовая механика в первой трети 20-го века подстраивалась под опыт, спорить с которым любой теории бесполезно. Сначала была первая её редакция, которую теперь называют «старой редакцией». Потом была новая редакция, улучшавшаяся затем всевозможными поправками. Но можно сказать, что всё крутилось вокруг первой («боровской») атомной орбиты. Параметры этой орбиты в наибольшей степени согласуются: с одной стороны – сразу с несколькими физическими постоянными, с другой стороны – с классикой физики в части верных тогда представлений физиков о движении электрона – частицы по круговым и эллиптическим орбитам вокруг протона ядра одноэлектронного атома; с третьей стороны – параметры орбиты согласуются с теорией излучений Макса Планка; с четвёртой стороны – с опытными данными спектроскопии. Это только потом, вконец разбушевавшись и фактически открестившись от классики, эта «квантовая механика» ступила на путь чисто вероятностного, то есть почти чисто математического описания атомных процессов, не заботясь уже в этих описаниях с их согласованностью с классикой. Но и здесь Нильс Бор, как бы посылая «последний привет» классике, вынужден был, в результате мучительных раздумий, принять «принцип соответствия», согласно которому все параметры атома, тогда, когда электрон фактически отрывается от атома, переходя на очень высокие уровни возбуждения и становясь почти свободным, то эти параметры такого атомного электрона должны быть жёстко подчинены классике физики, то есть принципам не микро-атомной физики (допускающим отступление там от классики), но принципам «макро-физики», проверенным веками.
Самыми же главными характеристиками первой орбиты стали два её «классических» параметра, ставших фактически «табличными»:
1) линейная скорость движения электрона по орбите –

2) радиус первой орбиты –


И хотя оба этих параметра остались до сих пор фактически ненаблюдаемыми, но на их основе вычисляются все другие параметры классического движения электрона по круговой орбите, такие как период обращения по орбите




Последнюю мы ещё раз вычислим:

или

Далее мы обратимся не к физике, но к химии. Ещё задолго до атомной теории физиков другие учёные, химики, уже добыли из своих многочисленных опытов, причём добыли разными методами исследований, такую важнейшую характеристику для каждого атома периодической системы Менделеева как «энергия ионизации атома». В науке химии она исчисляется в единицах – кДж/моль («килоджоуль на моль»). Для одноэлектронного водорода величина этой характеристики равна:


Здесь 96,486 – это переводной коэффициент из единицы энергии «кДж/моль» в единицу энергии «электронвольт».
Вводя эту опытную характеристику в «физическую» теорию атомных процессов, мы сейчас лишь согласуем её с принятой физиками «сдвинутой вниз» шкалой энергетических состояний атома, где фактически все состояния энергий со связанным в системе электроном имеют отрицательные значения. Энергия же ионизации атома водорода – это та полная энергия, которой обладает водород в своём основном (не возбуждённом) состоянии при нормальной («комнатной» – лабораторной) температуре пребывания газа водорода. У физиков это основное состояние любого атома соответствует тому, в котором любой (связанный) электрон любого атома находится на первой (боровской) орбите. Поэтому

Это значит, что для того чтобы ионизировать водород, то есть оторвать от него электрон, надо к этому электрону, а следовательно – к атому, приложить энергию («плюсовую»), равную этой полной энергии атома, и тогда энергия атома (фактически – разорванного на две части) будет нулевой:


Физики, уточняя, говорят в этом случае об «энергии ионизации из основного состояния атома», то есть из его состояния, в котором электрон «пребывает на первом энергетическом уровне» (как говорят квантовомеханики), а мы скажем – когда электрон кружит вокруг протона по первой стационарной круговой орбите.
И вот только теперь мы перейдём к определению «потенциальной энергии» атомной системы. Эта система состоит (у физиков) из двух «частей»: из электрона и из протона. У нас, правда, эта же система состоит из трёх частей: из электрона, из протона и … из эфирного поля протона, о чём физики подразумевают, но не договаривают школьнику лишь потому, что не знают пока из чего конкретно «сделано» это поле. Но мы уже, даже последним выражением («из эфирного поля») фактически сказали школьнику, из чего сделано это поле: оно сделано из эфира, а конкретно – из его квантов-частиц.
И только теперь мы приведём рисунок распределения энергий, который (наконец-то) будет понятен школьнику (заметим, что физики не опускаются с их высот понимания ими процессов до таких простецких рисунков – диаграмм, рис. 21.4).
Из приведённого рисунка прозрачно вытекает следующая основная формула распределения энергий атомной системы:

Но поскольку «энергия ионизации» по своей физике должна быть такой, чтобы «обнулять» полную энергию атома, то она должна быть в точности равной по абсолютной величине этой полной энергии:

И, следовательно, наука химия нам определяет полную энергию атома:


Рис. 21.4
А это значит, что потенциальная энергия атома с электроном, кружащим по первой боровской орбите, равна:

Таким образом, потенциальная энергия атомной системы оказывается по абсолютной величине ровно вдвое больше кинетической составляющей энергии системы так, что можно записать:

Кстати, ровно об этом же говорит так называемая «теорема вириала», хотя эта теорема была доказана в науке задолго до того, как физики начали конкретно заниматься теорией атома.
Например, в применении этой теоремы к гравитационной системе тел, она указывает, в какой пропорции начальная энергия «делится в среднем» между кинетической и потенциальной энергией во время движения замкнутой гравитационной системы.
Выражение «вириал» происходит от латинских слов «vis» – «сила» или множественное число «vires» – «силы» или «энергии». Оно было введено Клаузиусом в 1870 году.
В применении к квантовой физике: среднему по времени от некоторой классической величины можно сопоставить математическое ожидание квантового аналога этой величины в состоянии с определённой энергией. В переводе на язык механики атома, и глядя на наш рисунок 21.4, мы видим, что «математическим ожиданием», как некоторым средним по времени, является монотонное движение электрона по стационарной орбите. Но по какой из них, если у атома – несколько (много) таких орбит? В теории атома нам надо оттолкнуться от какой-то конкретики. Конкретика же определяется опытом людей. Но все физики с незапамятных времён проводили свои опыты не в каком-нибудь «холодном далёком космосе», как и не в какой-нибудь «жаре внутри Солнца», но на поверхности планеты Земля; да ещё, кроме того, не «на морозе» или не на «африканской жаре», но вполне себе в «тёплых лабораториях» с комнатной температурой. Химики в своих реакциях ионизировали атомы элементов тоже в этих же «комнатных» условиях. Обобщая свой опыт, физики выяснили, что у атома любого элемента есть, при этих условиях, одна главная «чёткая» орбита, на которой электрон задерживается при этих условиях на длительное время. И если каким-нибудь образом возбуждать атом (например, нагреванием газа), то выяснилось (методом спектроскопии и последующими из неё расчётами), что электрон в атоме норовит опуститься на некоторую «нижнюю» орбиту, которую физики назвали первой «боровской». И сейчас мы поясним школьнику следующее, о чём физики ему не договаривают.
Выражение «электрон находится на первой орбите» не означает, что он там чётко вращается по окружности с чётким радиусом



