
Гравитация и эфир

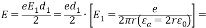
2. В результате этого действия получена формула для напряжённости поля, предполагающая зависимость поля от расстояния орбиты – обратнопропорциональную не квадрату радиуса орбиты, но первой степени этого радиуса:

И поскольку потенциальная энергия атомной системы прямо пропорциональна напряжённости поля на уровне соответствующей орбиты,

то полная энергия системы оказалась обратно пропорциональной также первой степени радиуса орбиты, что естественным образом соответствует действительной физике убывания поля дискретами, соответствующими равномерному возрастанию радиусов орбит через равные расстояния (через расстояния длины волны кванта эфира). А это последнее говорит о том, что реальный атом является резонансной системой, в которой резонируют: длина волны эфира (внутри которого всегда находится атом) и повторяющиеся через эту длину волны уровни орбит атома.
Таким образом, дискреты орбит реального атома в квантовой физике надо считать не по формуле Бора –

А по формуле –

где

Кстати, для первой атомной орбиты наш метод расчёта полной энергии атома полностью совпадает с теорией Бора. Так, у физиков энергия атома рассчитывается по формуле:


У нас


которая преобразуется с абсолютной точностью в классическую формулу электродинамики следующим образом:


3. Поскольку реальный атом при его возбуждении не может излучать одновременно обе полуволны фотона, то классическая квантовая физика утверждает о том, что полную длину волны любого фотона всегда излучает пара атомов, один из которых излучает положительный квант энергии, другой же в это же время излучает отрицательный квант энергии. То есть те порции энергии


необходимо делить на две половинки –



В качестве примера расчёта атома по нашей методике рассмотрим переход 1001–1000.
1. Находим радиусы удаления орбит:



2. Напряжённости поля протона на уровнях орбит:




3. Находим потенциальные энергии атомов:





4. Находим полные энергии атомов:




5. Теперь мы можем найти частоту фотона, соответствующего в каждом атоме порции энергии, равной разности энергий уровней 1001 и 1000, но фотона, излучаемого сразу двумя атомами:


6. Далее учтём, что для того чтобы грамотно связать воедино две полуволны фотонов, излучаемых разными атомами с противоположными полярностями излучаемых в нашу сторону полуволн, мы вводили коэффициент связи полуволн, дающий полуволну истинного излучаемого фотона:

И поскольку частота фотона связана с длиной его волны известной формулой,

то истинная частота фотона определится формулой:

Мы нашли (в пункте 5)

Поэтому, для того чтобы получить частоту фотона, надо полученный нами результат разделить на коэффициент связи полуволн (


7. В качестве дополнительного вывода по данному примеру – рассмотрим резкое различие радиусов удалённости тысячной орбиты в теории Бора и в нашей теории атома.
Радиус тысячной орбиты в теории Бора:


Следовательно, размеры такого атома (его диаметр):

(десятая доля миллиметра).
Такой гигантский атом может запросто увидеть зоркий глаз человека, не говоря уже о школьнике вооружённом лупой с 10-ти кратным увеличением. В этом последнем случае, такой школьник мог бы рассмотреть даже некоторые «детали» атома, и при том – без всякого микроскопа.
Наш же подход к теории атома даёт его размер с номером тысячной орбиты (пункт 1):

а диаметр атома

Эти размеры ещё пока на целый порядок не доходят до длины волны света, уже видимого нашим глазом фиолета

В этой связи дадим совет – не растерянным физикам, но школьникам: всегда проверяйте физику философией – никогда не ошибётесь.
Теперь найдём те номера действительных переходов, которые могут дать частоту фотона физиков, излучаемую в их переходе 91–90. Используя данные таблицы 21.1, имеем следующее.
Переход 510–509.
1.

2.

3.

4.


5. Частота фотона, соответствующая двум полуволнам, излучаемым двумя разными атомами:

С поправкой на коэффициент связи:

Эта частота отличается от частоты перехода 91–90, вычисленной нами ранее (8883 МГц) на 0,13 %, а от частоты физиков (8872,5 МГц) на 0,25 %.
Переход 511–510.
1.

2.

3.

4.


Эта частота отличается от вычисленной нами ранее (8883 МГц) на 0,28 %, а от частоты физиков (8872,5 МГц) на 0,16 %.
Теперь рассчитаем по нашей методике тот переход, который будет соответствовать переходу физиков


Переход 633–632.
1.

2.

3.

4.


Отличие от вычисленной нами ранее частоты перехода 105–104 (5769,4 МГц) – 0,03 %, а от частоты физиков (5762,9 МГц) – 0,08 %.
Рассчитаем по нашей методике частоты излучений ещё нескольких переходов.
Переход 301–300.
1.

2.

3.

4.




Переход 101–100.


Миллиметровый диапазон волн.
Эта частота

В заключение рассчитаем параметры ещё одного перехода (если такой существует в каком-то гигантском атоме где-то в космосе).
Переход 10001–10000.


Мы видим, что даже такой супер-гигантский атом, с размерами

Теперь выпишем ряд рассчитанных нами частот фотонов:
101–100

301–300

1001–1000

10001–10000

Мы видим, что частота излучаемого атомом фотона имеет квадратичную зависимость относительно номера

1. Энергия фотона имеет линейную зависимость от частоты:

2. Энергия излучаемого атомом фотона вычисляется как разность полных энергий атомной системы в переходах электрона:

Например,







частота которого равна

Заметим, что величина

Ещё раз отметим, что обе энергии в принятой физиками «сдвинутой» шкале энергий атомных уровней – отрицательные. Максимальной энергией (нулевой) здесь является энергия очень больших «верхних» орбит, когда электрон на них становится почти оторванным (свободным) от атома. Поэтому, поскольку орбита



потому что по абсолютной величине (по числовому значению) энергия

То есть во всех книгах по квантовой механике теория Бора верно полагает величину (как она пишется в книгах –


В соответствии с этим, физики верно считают, например, переход

3. Зависимость потенциальной энергии от напряжённости поля – линейная:

при том, что

4. Но зависимость напряжённости


Поэтому зависимость частоты излучаемого фотона от номера удалённости перехода

В жизни человеческого общества мы наблюдаем множество проявлений несправедливости. Но История, с её гигантским арсеналом все увеличивающейся и увеличивающейся год за годом памяти людей о прошлом, рано или поздно всё расставляет по своим местам. Когда-то значимое событие становится со временем рядовым, а когда-то рядовое становится не только значимым, но иногда и – знаковым. То есть и здесь, в Истории людей, мы словно бы наблюдаем воочию проявления философского закона перехода Количества (фактов) в Качество.
Ничто не может умалить честного достижения профессионалов – экспериментаторов Арно Пензиаса и Роберта Вилсона, обнаруживших в 1964–1965 годах трёхградусный фон космического микроволнового излучения. Пензиас и Вилсон дали своей статье в «Астрофизическом Журнале» скромное название «Измерение избыточной антенной температуры на частоте 4080 МГц» (длина волны 7,35 см). Они просто объявили о том, что измерения эффективной температуры шума дали значение 3,5 К – выше, чем ожидалось. Космологическое же значение опытам Пензиаса и Вилсона дали теоретики: Пиблз, Дикке, Ролл и Уилкинсон.
Но тогда почему было не отметить практическое достижение такой же высокой важности наших русских исследователей: Сороченко и Бородзича – из физического института имени П. Н. Лебедева и группу под руководством Дравских Пулковской обсерватории, которые совершили именно в те же годы (1964,1965) практически такие же по значимости открытия, какие совершили тогда же Пензиас и Вилсон? Ведь в истории открытий уже зафиксирована дата – 31 августа 1964 года – как дата докладов (на Генеральной Ассамблее МАС) групп этих исследователей об официальном открытии радиолиний, излучаемых возбуждёнными атомами. Эти линии явились результатом процесса рекомбинации ионов и электронов, а поскольку они образуются в диапазоне радиоволн, то получили название «рекомбинационных радиолиний».
В отношении самой идеи физиков о «реликтовости» принимаемых ими фотонов, у автора данной книги всегда, ещё десятилетия тому назад, когда впервые им была прочитана гениальная книжка Стивена Вайнберга «Первые три минуты», сквозило некоторое недоверие. Такое же недоверие, которое было к «безмассовым» частицам, «бесконечным» энергиям частиц и к кривым пространствам. Это недоверие с самого начала проявилось и в отношении того, что Гигантская Вселенная могла когда-то возникнуть из позорной «точки» физиков. Это недоверие не просто говорило – сначала шёпотом, потом вполголоса, потом в голос, – но оно бушевало в крик о своём несогласии с «точкой».
А причина недоверия была просто в том, что никак не хотел складываться образ фотона, всё бегущего и бегущего откуда-то очень издалека и только сейчас почему-то, наконец, прибегающего к нам «в глаза», а точнее – в приборы физиков. Как это может быть? С самого рождения Вселенной… Что-то здесь не так. Хорошо чистым математикам, хотя и – «физическим». Они все эти образы – «в гробу видали». У них есть их любимые «энергии». С ними и забавляются, кто как умеет.
На этом противоречии о без-о̀бразности реликтового фотона (а мы здесь поменяем ударения – о без-обра̀зности такого фотона) мы сейчас и попытаемся поймать физиков.
А сделать это будет не слишком трудно только потому, что мы имеем другую модель Развития Вселенной. В этой модели нет и не может быть никакой виртуальной «точки» физиков. Здесь всё соответствует простому здравому смыслу. Здесь Вселенная замедляет своё движение, хотя и расширяется при этом (как у физиков). Ключевым словом и понятием здесь выступает – «замедление». Причём это замедление мы уже конкретизировали в прошлой (20-й) главе Философии по тому его главному (для нас сейчас) признаку, что в тот момент, где наши с физиками сценарии развития Вселенной практически совпадают (это – 8-ой период замедления), то есть в момент после кварк-глюонной плазмы и в следующий за ним (через 300000 – 700000 лет) период рекомбинации, где родились те фотоны, которые «сейчас» прибежали к физикам «реликтовыми», Вселенная в нашей модели продолжала замедляться. Продвинутые школьники наверняка уже (к этой минуте наших пояснений) поняли, в чём тут дело и какое тут назревает противоречие.

