
Живая и мертвая вода – совершенное лекарство

Александр Кородецкий
Живая и мертвая вода – совершенное лекарство
Часть 1. Первые упоминания о живой и мертвой воде
Вот уж никогда не думал, что возьмусь за написание этой книги, – ведь вода, образно говоря, вовсе не моя стихия. Все мои друзья и читатели, а читатели – это тоже мои друзья, знают, что у меня и в своей зеленой аптеке непочатый край чудес, о которых можно рассказывать и рассказывать. Выращивая травы-муравы, я не перестаю удивляться их почти человеческой способности отвечать добром на добро. Я люблю и лелею свои растения, а они подсказывают мне все новые и новые рецепты лечения человеческих недугов. Вот такая у нас с природой дружба.
Но однажды ко мне на огонек зашли мои друзья, Глеб и Лариса Погожевы, которые были в Петербурге проездом. И сделали мне приятный сюрприз. А перед этим в телефонном разговоре я пожаловался им, что мое любимое растение, которое я так старательно выхаживал, погибает. Как назло, все молодые побеги золотого уса были совсем крошечные, а взрослое растение увядало у меня на глазах. Почему – для меня оставалось загадкой. Вернее, я грешил на своего кота. Он у меня такой вредный, что оставшись без кормежки, начинает общипывать мою «аптеку». И, представьте себе, посягнул на самое святое – на золотой ус!
Кота я, конечно, не тронул, а побыстрее накормил, но ус спасти не удавалось. Выхаживал, поил-кормил, но все напрасно: ус «таял» на моих глазах. И вдруг друзья привозят мне небольшой пузырек с жидкостью и говорят, что это сильнейший «Эликсир». Я подумал: разыгрывают. Но они велели мне полить и опрыскать мое больное растение.
Вы можете себе представить мой восторг и интерес по этому поводу?! Ведь я хорошо знаю Погожевых – просто так они не приедут: наверняка раздобыли где-то интересную информацию, сами проверили ее и теперь захотели поделиться со мной. Так и оказалось. Мой ус стремительно возвращался к жизни. Он наливался силой, вызывая неподдельную радость на лицах моих друзей. А что было с моим лицом – трудно представить. Неужели это новый природный биостимулятор? Бросился я к пузырьку, пытаясь по запаху и цвету узнать знакомый раствор. «Новый-новый», – засмеялись Глеб и Лариса одновременно. А я вылил последние капли жидкости, оставшейся в пузырьке, на свое обретающее надежду растение и горестно вздохнул, что воскрешение из мертвых оказалось лишь мимолетным счастьем. Жидкости-то больше не было. «Зато есть прибор», – радостно сообщила Лариса и вытащила из своего рюкзака небольшой компактный аппаратик с кнопочками. И тут меня осенило – это же электролизер, то есть аппарат для производства живой и мертвой воды! Так вот чем хотели удивить меня мои друзья. Что же, им удался этот фокус, но откуда берется такой сильный и быстрый эффект?
Если уж вода так влияет на растение, то и на организм она будет оказывать лечебное воздействие – мелькнула догадка.
Когда Глеб и Лариса Погожевы убедились, что я не на шутку взволнован, они раскрыли все карты, рассказав мне, что сами давно увлекаются живой и мертвой водой, нашли множество рецептов ее применения. И теперь пользуются этой лечебной жидкостью от всех недугов, да еще и соседей лечат: «Не только на подоконнике усы растут, а даже у нашего 75-летнего соседа Платоныча лысина волосами заросла, жаль только зубов новых не появилось, а он и на это не перестает надеяться – рот живой водой полощет!»
Вот так вода! – подумал я, досадуя, что раньше мне не приходило в голову серьезно изучать свойства активированных растворов. Ведь растения и вода – понятия неразделимые. Я понял, что допустил огромный промах, и засел за книжки и исследования. А потом поехал к моим друзьям в деревню, чтобы все увидеть собственными глазами и узнать, как воспринимает живую воду народ.
Поэтому вы, мои дорогие читатели, давно и не видели моих книжек. Все это время я сидел и изучал этот удивительный, необыкновенный и целебный раствор. Убедившись на множестве примеров, что после лечения водой язва зарубцовывается в считанные часы, а ангина проходит без антибиотиков, я понял, что накопленная мною информация и опыт требуют выхода. И засел за свое любимое занятие – написание книги. Потому что писать книги для меня, любезные читатели, все равно что огород мой целебный выращивать. Пишешь, а на другом конце страны читают, лечатся по твоим рецептам и благодарности посылают. Ваши благодарности я чувствую издалека. Они для меня, как живая вода для золотого уса. Он, кстати, быстро распушился, приподнял головку и пустил свои плети по всему окну. За неделю у меня вырос уже огромный куст. Да и все другие растения зазеленели и окрепли. Теперь даже кот им не страшен – пусть грызет листочки и сам лечится. А вода стала моей второй любовью после растений. Теперь я все проверяю через активированную воду, и на все мои позывы она откликается – ведь живая же!
Вот не хотел долго распространяться, а вспомнил и расчувствовался. Ну, ничего, беру себя в руки и – никаких эмоций. Теперь все по делу. Моя задача – донести до вас об активированной воде ценные сведения, которые я приобрел у своих друзей и получил в процессе собственного опыта работы с этой удивительной жидкостью.
Когда говорят о воде «живая» и «мертвая», то эти слова обычно вызывают улыбку, ведь они напоминают нам о детских сказках и волшебных превращениях. Столь же удивительным явлением стало открытие в 60-х годах прошлого века лечебных свойств активированной воды, причем это произошло сначала в бывшем Советском Союзе, а некоторое время спустя в Англии, Америки, Японии и других странах Европы. Оказалось, что вода, полученная в процессе электролиза (через которую пропущен электрический ток), может лечить различные по своей природе заболевания – от банального насморка до тяжелейшего недуга – сахарного диабета.
Ученые назвали эту воду католитом и анолитом, поскольку она приобретает положительно и отрицательно заряженные ионы. Но результаты научных экспериментов и опытных исследований на животных, а затем и на людях (ведь вода абсолютно безвредна) дали такие ошеломляющие результаты, что воду тут же окрестили «живой» (католит) и «мертвой» (анолит). А оба эти раствора носят название активированной воды. В литературе активированная вода упоминается и под другими именами: мертвая – «кислая», а живая – щелочная, редуцированная или ионизированная.
С середины прошлого века и по сей день свойства активированных растворов изучают у нас и за рубежом. Лечение активированной водой постепенно входит в лечебные методики медицинских учреждений. В качестве обеззараживающего средства при лечении ран и других кожных заболеваний активированную воду в больницах применяют уже давно. Хотя сначала она использовалась только для дезинфекции помещений, в последние годы живую и мертвую воду стали применять для детоксикации организма, а также при заболеваниях суставов и мочекаменной болезни. Особую популярность получила активированная вода в России, Украине, Чехии и Словакии.
Уже давно живая и мертвая вода активно используется в народной медицине. Так почему же уникальное лекарство, созданное природой и открытое человечеством, до сих пор не получило широкого применения в официальной медицине?
Чтобы ответить на этот вопрос, обратимся к истории открытия живой воды. В бывшем Советском Союзе это произошло совершенно случайно. Лечебную воду открыли не медики, а газовщики буровой станции в Ташкенте. Инженеры разработали прибор для электролиза нейтральной воды, обнаружив, что католит и анолит являются полезными растворами в процессе добычи газа. Однако эффективность заряженной воды превзошла ожидания даже специалистов. Вода помогала не только работать, она лечила! У газовщиков с буровой станции, которые умывались этой водой, стали проходить солнечные ожоги, порезы и ссадины, затягиваться рубцы и излечиваться кожная аллергия. Вот тогда свойствами активированной воды всерьез заинтересовались исследовательские институты, причем работа велась секретно.
Многочисленные исследования подтвердили способность воды заживлять больные клетки и восстанавливать здоровые. А врачам об уникальных целебных свойствах воды стало известно позже, когда исследования рассекретили. Оказалось, что вода, полученная в процессе электролиза, может не только обеззараживать раны и лечить кожные заболевания, но и помогает при инфекционных и даже онкологических патологиях! Это было такое грандиозное открытие, что серьезная медицина не смогла сразу принять его на веру. Известный ученый, Дина Ашбах, которая сначала тоже с недоверием относилась к уникальным свойствам активированной воды, а потом посвятила изучению этой воды всю свою жизнь, в своей книге вспоминает:
«Статья, опубликованная в журнале "Рационализатор и изобретатель", породила в народе настоящий бум, причем бум этот был связан с небывалым успехом применения активированных растворов в медицине. Появились сенсационные сообщения и многочисленные публикации о вылеченных ранах, ожогах, ангинах, экземах и т. д. Живую и мертвую воду с успехом применяли при широком спектре различных заболеваний, совершенно не связанных друг с другом ни по этиологии, ни по патогенезу.
Наверное, именно это повальное увлечение, широкий разброс не связанных между собой вылеченных заболеваний и всеобщее ликование народа по поводу того, что два раствора могут заменить аптеку, вызвало тогда у врачей и ученых не научную заинтересованность, а противоположную реакцию – отношение к этому феномену как к чему-то несерьезному, а порой и резкое неприятие.
Поэтому, к сожалению, активированные растворы начали свой путь в медицине нашей страны даже не с нуля, а со значений отрицательных, и понадобились годы исследований и тысячи научных публикаций, чтобы это негативное отношение преодолеть»[1].
А может быть, простое и дешевое средство не нашло своего применения в широких областях медицины по другой причине? Новое лекарство быстро бы вытеснило привычные таблетки и инъекции, поставив под угрозу разорения всю фармацевтическую промышленность. А это уже проблема не только медицинского, но и мирового масштаба.
Почему не помогает «минералка»
При заболеваниях желудка, печени, нарушениях обмена веществ, да и многих других проблемах со здоровьем врачи часто советуют пить минеральную воду. А в старину курорты с минеральной водой были первым спасением от самых разных недугов. Даже от неизлечимой в то время чахотки (пневмонии) люди спасались с помощью минеральных вод где-нибудь в Баден-Бадене. Но почему теперь бутылочная минералка не помогает столь эффективно? Оказывается, что дело тут вовсе не в «подделке». Лечебный эффект этой природной воды состоит не столько в ее солевом составе, сколько в уникальных природных свойствах живой воды. Ведь большинство минеральных вод как раз являются природными активированными растворами.
Как же в природе происходит процесс электролиза? Как пишет в своей книге известный ученый и врач Дина Ашбах[2], «лечебные источники, в недрах которых имеются пласты минералов, имеющих большую разность электродных потенциалов, таких как цинк и медь или кальций и никель, вполне могут служить анодом и катодом в подземном электролизере, причем цинк в таком природном электролизере отдает электроны, а медь принимает». То есть земная кора сама производит активированные составы, которые сохраняют свои лечебные свойства в течение нескольких часов. Этим и объясняется тот факт, что лечение приносит эффект только на самом курорте, если пить воду из источников, а бутилированная вода не дает такого эффекта, так как активированные растворы со временем теряют свою лечебную силу.
Вот откуда берет свое начало активированная вода – от самой природы.
Католит и анолит – две половинки одного целого
В 80-е годы прошлого столетия активированной водой заинтересовались ведущие научные институты и лечебные клиники Советского Союза. Правда, большинство исследований не афишировалось. Но информация просачивалась в общество, и заинтересованные люди – целители и врачи – узнавали о ней. Тем более что за рубежом научные работы велись открыто, а их результаты печатались даже в доступной за железном занавесом прессе, то есть у нас на родине.
Официальная наука признала, что вода, получившая в процессе электролиза отрицательный редокс-потенциал, то есть живая вода, обладает высокими иммуностимулирующими, регенерирующими и дезинтоксикационными свойствами, означающими, что она может с успехом применяться для лечения множества заболеваний. Эти уникальные свойства католита подтвердил Фармакологический Комитет СССР (решение № 211–252*/791). Ачто же вода мертвая? Ее характеристики тоже не подверглись сомнению, ведь раствор анолита благодаря своей антибактериальной активности уже спасал сотни людей от гниющих ран и пролежней.
Трудно определить, какой из растворов актированной воды важнее для здоровья человека, ведь и католит и анолит – словно две половинки единого целого – лекарства, созданного самой природой. А ведь природа никогда не ошибается, она лишь предлагает свою помощь человеку. Уметь воспользоваться этой помощью – задача каждого из вас. А я лишь расскажу о том многолетнем опыте, который наработали люди в поисках истины, ведь людям нужны доказательства. Что ж, вот они.
Итак, живая вода – это католит, то есть щелочной раствор с кислотностью рН от 8,5 до 10,5. Она является природным активным биостимулятором, а на вкус – мягкая и слегка напоминает минеральную воду. Анолит, напротив, имеет повышенную кислотность и высокий редокс-потенциал. Благодаря этим характеристикам анолит обладает выраженными антибактериальными свойствами. Мертвая вода с успехом применялась при лечении гнойных ран, ожогов, пролежней и других кожных заболеваний. Эта жидкость на вид тоже бесцветна, но она имеет слабый запах хлора.
Можно понять недоверие врачей, привыкших лечить болезни серьезными лекарствами, к бесцветной жидкости, которой приписывали такие уникальные свойства. Да и мне сначала трудно было поверить в то, что на вид обыкновенная вода способна убивать бактерии и заживлять раны. Но и живой воде еще предстояло удивить медицинский мир! Немного позднее католит со своими щелочными характеристиками произвел фурор среди ученых и практикующих врачей. Оказалось, что он является сильнейшим средством против свободных радикалов – главнейших врагов человечества. Напомню, что свободные радикалы образуются в организме человека в результате воздействия стресса или под влиянием патологических процессов, происходящих в органах.
Живая вода против свободных радикалов
Сильный антиоксидантный эффект живой воды, то есть ее способность препятствовать развитию свободных радикалов, впервые обнаружили и доказали японские ученые. Они назвали живую воду редуцированной. Благодаря их исследованиям стали понятны причины удивительного эффекта, который дает живая вода при лечении таких разных болезней, как ангина, гипертония и сахарный диабет. Дело оказалось в том, что живая вода не только тормозит окислительные реакции в организме, блокируя разрушительное действие свободных радикалов, но и стимулирует выработку самим организмом веществ, препятствующих образованию вредных окислителей. Это такие вещества, как витамин С, каталаза, флавоноиды и другие ферменты, которые под воздействием редуцированной воды многократно усиливают свое позитивное воздействие на клетки ДНК и защищают их от повреждений.
Это ошеломляющее открытие, описанное в журнале «Биофизическая химия» за 2004 год, доказало, что католит является непревзойденным многофункциональным антиоксидантом, способным побеждать любую болезнь. Ведь это не таблетка, воздействующая на работу отдельного органа, а раствор, пробуждающий собственные силы организма, то есть оздоравливающий его изнутри. Недаром известный фито-целитель, ученый, автор множества лечебных методик Г. А. Гарбузов назвал живую воду «умным раствором», способным самостоятельно распознавать болезненные процессы, происходящие в организме, и оказывать на них сильное лечебное воздействие.
Но вернемся к исследованиям зарубежных ученых. На Западе не жалели средств для изучения «водного» феномена, ведь у людей появлялось новое лекарство, не требующее дорогостоящего производства, а главное, не дающее побочных эффектов – бича современной медицины. Ведь любое химиотерапевтическое средство, направленное на излечение одного недуга, создает много проблем с другими ранее здоровыми органами. Организм становится больным уже от лечения, попадая в замкнутую цепь химиотерапии. Теперь перед врачами предстала возможность оборвать эту цепь и лечить людей совершенно безвредными препаратами, приготовленными на основе активированной воды. Появилась возможность лечить даже те болезни, которые считались неизлечимыми, потому что имеют генетическую природу. Ведь усиление антиоксидантной активности ферментов самого организма (что доказано, в частности, японским ученым С. Широхата) открывало возможности уничтожения болезни на генетическом уровне. Это уже не только лечение, а профилактика болезней, передающихся по наследству.
Как пишет Дина Ашбах[3], «японские ученые доказали, что добавление редуцированной воды уменьшает разрушение ДНК на 70 %!». Это прекрасно демонстрирует приведенный в ее книге «Живая вода против свободных радикалов и старения» рисунок 8:
«На приведенной ниже схеме вы видите неповрежденную ДНК (колонка 1), повреждение ДНК свободными радикалами (колонки 3–5) и резкое уменьшение повреждений ДНК, наступающее при добавлении живой воды (колонки 6, 7)».

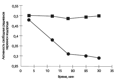
А вот доказательство того, как живая вода усиливает действие витаминов и других антиоксидантных веществ в организме. На рисунке 9 из той же книги Дины Ашбах показано, как редуцированная вода усиливает антиоксидантную активность перекиси водорода.

Живая вода лечит сердце
За этими наблюдениями стоят еще более грандиозные исследования, позволяющие доказать эффективность воды при лечении сердечно-сосудистых заболеваний. Как известно, повышенное давление, или гипертония, которой страдают тысячи людей во всем мире, является причиной ишемической болезни сердца, инфарктов и инсультов. Совсем недавно ученые выяснили, что развитие гипертонии и гипотонии зависит от количества особого вещества, которое производят сами сосуды, – окиси азота N0. Эта молекула регулирует нормальное давление крови в сосудах. А если по какой-то причине организм вырабатывает слишком мало N0 или совсем не вырабатывает ее, то давление начинает бесконтрольно «скакать». Тогда больной принимает нитроглицерин – химический препарат, содержащий искусственно созданную молекулу N0.
Поскольку свободные радикалы уничтожают N0 в организме, значит, они и есть непосредственные виновники гипертонии. Но не только радикалы виноваты в развитии сердечных недугов. При такой распространенной болезни, как атеросклероз, поврежденные атеросклеротическими бляшками сосуды сами не в состоянии производить N0 в достаточном количестве. В результате – развитие гипертонии. Вот почему эти болезни, как правило, сопутствуют друг другу. Но против них есть одно лекарство – живая вода. Именно католит уничтожает свободные радикалы, открывая свободный путь производству естественной окиси азота. При этом даже поврежденные сосуды получают помощь за счет ионов микроэлементов, содержащихся в живой воде и способствующих снижению артериального давления.
Лечение живой водой гипертонии и сахарного диабета подробно описала в своей книге Д. Ашбах[4]. Западная же медицина пришла к применению активированных растворов в медицине значительно позже но зато хорошо поняла и оценила поистине неисчерпаемые перспективы их использования. В настоящее время в Америке, Японии, Европе ведутся серьезные исследования этого феномена, тратятся солидные деньги и делаются важные научные открытия.
Конец ознакомительного фрагмента.
Текст предоставлен ООО «ЛитРес».
Прочитайте эту книгу целиком, купив полную легальную версию на ЛитРес.
Безопасно оплатить книгу можно банковской картой Visa, MasterCard, Maestro, со счета мобильного телефона, с платежного терминала, в салоне МТС или Связной, через PayPal, WebMoney, Яндекс.Деньги, QIWI Кошелек, бонусными картами или другим удобным Вам способом.
Примечания
1
Ашбах Д. Живая и мертвая вода – новейшее лекарство современности. СПб.: Питер, 2008.
2
Ашбах Д. Живая и мертвая вода – новейшее лекарство современности. СПб.: Питер, 2008.
3
Ашбах Д. Живая вода против свободных радикалов и старения. СПб.: Питер, 2009.
4
Ашбах Д. Живая вода против свободных радикалов и старения. СПб.: Питер, 2009.
Приобретайте полный текст книги у нашего партнера:

