
7 | Чалдон

7 | Чалдон
Александр Левинтов
Роман Максишко Дизайнер обложки
Игорь Злотников Редактор
Максим Осовский Издатель
© Александр Левинтов, 2022
© Роман Максишко, дизайн обложки, 2022
ISBN 978-5-0055-5041-5 (т. 7)
ISBN 978-5-0053-1985-2
Создано в интеллектуальной издательской системе Ridero

Александр Левинтов
Разговор с читателем
Этот последний наш разговор будет о моей жизни, которая растянулась более, чем на три тысячи лет, а, может, и значительно дольше – признаться, время меня всегда мало интересовало, ведь не оно – порождающее начало, а пространство. Этот сюжет может показаться невероятным и фантастическим – кому угодно, но только не мне, потому что это – моя реальная жизнь, это я и есть.
Нет, это – не череда инкарнаций и реинкарнаций, когда ты ничего не помнишь из предыдущей жизни, когда в каждой жизни ты – лишь имаго. Я, конечно, многое забыл, но всё существенное, как мне кажется, хорошо помню. Кроме того, я же помню, что был последовательно ребенком, молодым, зрелым, а теперь одряхлел и обветшал, как и моя душа.
Что значит «обветшал»? – Ветошью когда-то называли драгоценные и почти нетленные меха. Так и мы, я и душа моя, обветшав, в цене, как нам хочется верить, не теряем.
При этом я, конечно, осознаю необычность своего положения: немногим удалось прожить столь долгую жизнь, хотя такие были и многие из них хорошо известны: Мафусаил, Малхиседек, граф Калиостро, Воланд, старик Хоттабыч, Рип Ван Винкль и другие, очень хотел стать таким и испить из источника вечной молодости Бимини Христофор Колумб – но никто из них сам не описал свою жизнь, доверившись неверному, хотя и талантливому перу других, я же делаю это сам.
Я сижу сейчас в сердце Черногорья, в Цетинье. В окне видна снежная вершина священной горы Ловчен, высоко в небе завис тонкий лунный ятаган, огромное небо распахнуто звёздами, и прямо надо мной бабочка Ориона – всё это несравненно старше меня, и сколько б я ни прожил, я всегда был, относительно окружающего меня мира, молодым, только что вошедшим в него.
Жизнь… она всегда течёт двумя потоками, очень непохожими, контрастными и практически несмешиваемыми. Один поток – поток бытия: событий, перемещений, радостей, страданий, наслаждений, от частого употребления это бытие превращается в обыденность, в бесконечные и вполне бессмысленные повторения ритуалов и обрядов, привычек, традиций, стереотипов.
Второй поток – поток идей и мыслей, поток существования, бытия по сути, по существу, поток, в который мы иногда попадаем, неизвестно, как и зачем, но в котором мы точно понимаем и ощущаем – вот, где таятся смыслы, вот, что оправдывает наше пребывание и прибытие сюда вообще. Мы ли погружаемся в этот поток, он ли нас поглощает и уносит – я так до сих пор не понял, но я твёрдо знаю – быть, просто быть – просто и незаметно, существовать – интересней. И поэтому всё, что про бытие и быт – обычным шрифтом, всё про существование, про пребывание в мире идей и мыслей – курсивом. Так оно и будет излагаться двумя разными текстами. И можно читать оба текста, а можно – только один из них, а можно – и вовсе не читать, если неинтересно, неохота и недосуг.
Кому я пишу? – очень надеюсь, что круг моих читателей будет очень тесен, предельно тесен, в идеале он будет равен нулю: этот рассказ и разговор важен для меня и только для меня, а, когда я, наконец, умру, это будет неважно никому. И этот Никто и есть тот, перед кем я ответственен. Потому что жить и писать о своей жизни надо так, как если бы ты был последним на Земле, так, как если бы ничего, кроме твоего текста, от человечества не осталось.
И мне радостно в предвкушении начала долгого пути этой книги, необычайно и тихо радостно, ведь мне предстоит ещё раз вжиться в собственную жизнь.
Александр Левинтов начато 25 января 2018 года окончено 2 февраля 2018 годаИСХОД 1
От Кадма и Гармонии
Из первых, самых ранних своих воспоминаний, я помню, что у нас в семье нечасто, но в самые важные или торжественные минуты напоминали: мы – от Кадма и Гармонии.
Кадм был родом из Египта, древней страны. Любой другой край для египтянина – новина, целина, которую надо собой поднять и облагородить, превратить из пустого места в жилое и полезное. Кадм – прототип Персея, Егория Землепашца, Георгия Победоносца и всех тех, кто поражает змия или дракона: копьём, камнем, словом. Тот змий или дракон – сгусток геомансии, земной энергии, который, будучи прирученным и пригвождённым, даёт жизнь городам и новым начинаниям. И мне самому, всю жизнь затевавшему разные, самые возвышенные дела, всегда приходилось начинать с того, что пригвождает буйную и кажущуюся необузданной фантазию своего воображения, приручать змия, обуревающего меня, пока я сам, подобно своему древнему предку, не стал превращаться в змия, покорно свивающегося тугими кольцами и уходящего на покой в свою земляную нору.
Чтобы там ни говорили о нашей прародительнице, о её строгости и требовательности, а она была прежде всего прекрасна – своим гордым и неизменным спокойствием, уравновешенностью, правильностью.
Её нам, шаловливым и непоседливым, всегда ставили в пример для подражания и как остережение.
Мне совсем немного лет и потому я живу сам по себе, похожий на всход или росток – его ведь никто не погоняет и не понукает – он тянется сам по себе.
Я не люблю смотреть в пустые, безоблачные небеса: ну, голубые, но ведь – пустые. Когда же по небу бегут или просто висят облака, небеса наполняются смыслами и образами, которые ты сам и рисуешь.
А ещё прекрасней звёздное ночное небо – самое очевидное доказательство присутствия в этом мире Бога.
Я живу в горах, за которыми – море. И когда я попал на море, которое только вначале кажется плоскостью, я был очарован его текучей неподвижностью.
Я лежал на горячем песке, всматриваясь в серебристые письмена по воде, наслаждаясь туманным шлейфом прибоя, когда пенно-белым, когда розово-сиреневым, когда синеватым, и вслушиваясь, вслушиваясь в мерное дыхание Океана, в шелест отбегающих волн, в посвист ветра.
Иногда я спускался к кромке прибоя, шел босиком по влажному песку, далеко-далеко, туда, где никого нет, только прибой, порывистый ветер, кричащие, будто в отчаянии, птицы и мои мысли.
И я бесконечно повторял вслед за прибоем: «раз… раз… раз…», пока не понял, что «раз» (так по-гречески обозначается удар прибоя) и есть единица бесконечности времени. И я понял другую гармонию, символическую.
Это было всегда восхитительно иррационально, то есть полножизненно: всё рациональное узкό и односмысленно как геометрический вектор.
…первой, освоенной мною, цифрой была 1, «один», «единица», «раз».
Не знаю, как, но нам удалось связать этот «раз», эту первую цифру с бесконечностью, с вечностью – ведь счета еще не существовало. Эта связь выражалась двумя способами:
бесконечной цепочкой квадратных корней
или бесконечной цепной дробью
Такое можно было придумать только под мерный шум или грохот прибоя – и никак иначе.
Человек совершенствовался в знаниях и расчетах, придумал множество хитрых приспособлений для этого, от абака до компьютера, но никогда при этом не покидал берега Океана и не забывал о великой гармонии прибоя:
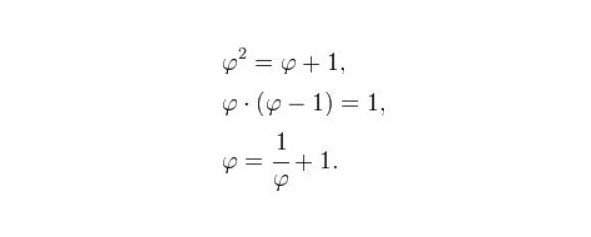
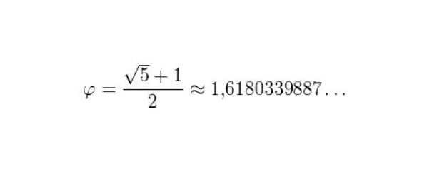
Положительное решение наипростейшего квадратного уравнения x2 – x – 1 = 0 равно , а отсюда удивительные φ
и даже тригонометрическое
Это изумительное φ, «фи», не пренебрежительное «фи», а великое «фи» имеет свое алгебраическое и числовое выражение:
Это и есть «золотое сечение». Среди великих иррациональных чисел оно, пожалуй, самое важное. «Пи» (π) названо, скорей всего, в честь Пифагора, «е» (основание натурального логарифма) – в честь Эйлера, «фи» (φ) – в честь величайшего скульптора Фидия, создателя Парфенона.
Сидя на берегу Океана, мы всегда задумываемся о необъяснимой и неизъяснимой красоте и гармонии мира, о том, что человеку дано суметь выразить это – музыкально, геометрически, пространственно, мыслительно, математически и даже этически – и восхищаемся этим.





Бог
Из всех слов во всех языках, включая, конечно, и русский, самым частотным является это – Бог. Если не считать артикли, разумеется. Да у нкас их и нет уже полтысячи лет. Хотя иудаизм и христианство самым строгим и решительным образом запрещают частое употребление этого слова, особенно всуе. Но именно всуе оно чаще всего и произносится, как верующими, так и неверующими. При этом имеется огромное число синонимов: Господь, Создатель, Всевышний, Всеблагой, Отец и так далее. У иудеев, кажется, этих имен столько же, сколько дней в году. Одни имена расхожи, как шлепанцы, другие настолько сокровенны, что их произнесение в неположенное время в неположенном месте неположенным человеком и образом может привести к печальным последствиям, что и произошло с Иисусом из Назарета, произнесшим на Малом Синедрионе «Я есть». Это имя Бога стоило ему жизни, но стало кредо христианина.
Этимология слова «Бог» удручающе проста: Бог он и есть Бог. В самых изначальных значениях это был Некто, дающий счастье и богатство, а что еще человеку надо, если он не знает пока про курс акций, ваучерную приватизацию, недвижимость на Гавайских островах и Блэк Джек? Впрочем, в «Кратиле» Платон устами Сократа пытается связать бога (theos) с бегом (thein), с бегущим, поскольку первые люди увидели бога только в двигающемся, в бегущем по кругу: солнце, луна, звезды, небо. Впрочем, возможно, богом могли называть бегущего как лучше всех освоившего прямохождение, родового лидера прогресса, антропогенеза и эволюции вида.
Если говорить о несчастнейших жертвах Второго тысячелетия, то первой является Он: сколько было Богохульств и Богоотступничеств, Богоборцев и Богогонителей, сколько преступлений, войн, притеснений, экзекуций, казней, пыток, проклятий и гонений было сделано от Его имени и во славу Его, создавшего людей из любви и для любви.
И теперь Он – почти в забвении, потому что – это бросается в глаза – в той же Америке хоровые песнопения и приплясывания есть форма социализации, психотреннинга и выколачивания десятины из паствы, а вовсе не интимный молитвенный диалог с Богом; в той же России – недоуменная братва от Больших братьев до братишек сменила партбилеты и комсомольские значки на свечечки и иконостасы, партсобрания и политпросвещение на молитвенные собрания и литургический цикл, Историю КПСС на Евангелие, не зная, не понимая ни того и ни другого. В католической Испании, уставшей от церковного фанатизма генерала Франко, люди перестали обращать на Бога внимание, и даже исламский фанатизм сильно попахивает нефтью и политикой.
Ныне нет более нелепой и несчастной фигуры, чем Он: мы придумали себе некоего партнера и вступили с ним в непрекрещающийся и гнусный торг по поводу нашего бессмертия и долголетия (что практически несовместимо), нашего благоденствия, преуспеяния и процента за пребывание в этом мире: мы тебе, Боже, по воскресеньям будем петь по паре часов, а ты нам, Отче, за это хлеб наш насущный дай нам днесь, предоставь жилплощадь в белом районе своего Эдема, застрахуй нас от дорожно-транспортных происшествий, дурных болезней и русской мафии, а всех остальных к себе не пущай и на дорогах дави, потому что мы не желаем из-за них портить вид на Тебя и отношения с Тобой.
У мормонов дело дошло уже до заключения юридических отношений с их Богом и купле-продаже загробного брака, вечного блаженства, крещения усопших (с выплатой за них положенной десятины, по-видимому) и других коммерчески выгодных таинств.
Коммерциализация Бога, а заодно его технологизация, компьютеризация, вовлечение в Интернет и Green Peace, автоматизация и торговля им to go, распивочно и навынос – закономерный и неизбежный итог трепания имени Божьего по свету.
– Боже!
– Чего?
– Да, ничего, это я просто так.
– А, ну, ладно. Если что, то Я здесь. Зови, если, конечно, нужно.
«Я в Бога не верю» – говорит атеист, – «но я верю в некий Высший Разум, в то, что кто-то и для чего-то все это создал». Увы, представления верующих о Боге, если они не цитируют, гораздо неопределенней и туманней. Либо, в прямую противоположность, примитивно иконические. Предметные и вещные представления о Нем, конечно, увеличивают зрительную и осязательную достоверность присутствия, но чего: Его или нашей наивности?
Богом по понятию оперируют – какой кошмар! что за выражение?! – только профессионалы: богословы, философы, преподаватели научного атеизма (теперь они все преподаватели этики или истории и географии религий, кажется – шустрые ребята).
Крайности унижения Бога достигли феминистки, с бабьей дури начавшие обсуждать Его сексуальную принадлежность и ориентацию.
Я думаю, Он скоро отвернется от нас совсем и лишит последнего удовольствия конца света и Суда: судиться с этими? Да они сами кого хочешь затаскают, а их адвокаты такие найдут доводы, зацепки и аргументы, что лучше не связываться и не пачкаться.
Боже мой, Боже мой! Во что мы превратили Тебя и во что превратились от этого сами? А ведь как Ты предупреждал нас о неведомости нам пути Твоего! Но мы все прём и прём, с Лениным или Тобою в башке, с наганом и кошельком в руке, уверенные, что движемся верной дорогой, товарищи!
Можно ли испытывать стыд за Бога? – Разумеется, нет, Он ведь и есть наша совесть, наш стыд. Но мы можем испытывать угрызения за свои поползновения, использование и употребление, за свои слова и деяния, за свои подмены и лукавства.
А для этого прежде всего необходимо вырвать это слово из обихода, перестать клясться и сквернословить им, оставив его только для одинокой молитвы и тишины покоя.
И помнить, всегда помнить: Бог создал этот мир плохим и несовершенным, нелепым и несуразным, чтобы Человек в борьбе с этими безобразиями боролся и тем становился совершенней, ближе к Нему.
Людоеды
Мы – людоеды, так получилось само собой. На побережье живут наши ближайшие родственники. Обычно они рыбачат, очень умело и успешно, но в остальном они живут разбоем и пиратством, ведь они – потомки эллинских пиратов, придумавших острокилевые пятидесятивёсельные суда с косым парусом, пентеконтеры, наводившие ужас на прибрежные города, от Колхиды до Барселоны.
Мы же, жители гор, привыкли таскать камни и выворачивать из скал тяжёлые буки, бороться с крупным зверьём, огромными дикими козлами и баранами, с медведями и вепрями.
Из рода в род.
И это сделало нас долговязыми, длиннорукими и длинноногими, необычайно красивыми и чрезвычайно жестокими – ко всем, в том числе и к людям.
Когда наши братья захватывали чужие суда, города и селения, они никого не брали в плен: пленных надо кормить, пленные несут заразу и угрозу бунта. Всю человеческую добычу они сваливали в трюмы, где хранилась соль. Выпаривать соль из морской воды – занятие, конечно, скучное, но не хлопотное, специально для женщин. В соли или в крепчайшем соляном растворе трупы хорошо хранятся. Горными тропами их привозят к нам, большими партиями. В каждом нашем селении – а они разбросаны в наших горах по низинам, ущельям, ручьям и речкам, малозаметные и неприметные – есть сушарни, где мы на буковых поленьях коптим мясо, любое, что кабанятину, что человечину, что медвежатину. Хорошо прокопчённое и просоленное мясо может храниться несколько лет. К тому же у нас на вершинах гор и на восточных склонах лежит снег, а в карстовых пещерах – лёд. Здесь мы и храним копчёное мясо.
Сладковатый чад сушарен плывёт по неподвижному воздуху над каждым селением, отчего деревня всегда подёрнута дымкой, её очертания зыбки, неясны, расплывчаты, обманны, таинственны, сказочны, и только небо, только горы днём и ночью ясны и отчётливы.
На них и по ним мы и ориентируемся.
Но чаще мы ни на что не ориентируемся, а пребываем в сладковатом ожидании – чего-нибудь сказочного.
Как легки и прекрасны наши сказки! Они всегда рядом с нами: вот-вот легкая дымка сгустится, и сказка сбудется, придёт, и мы очутимся в ней. И мы ждём этого и зовём нашу сказку к себе – песнями: вот почему наши песни так сладостны и протяжны, они сами – уже полусказка, они сами – уже полу-чудо. И мы можем петь целыми днями и ночами, впадая в сказочный транс, в полузабытьё, в клубы древнего или собственного воображения.
Мы любим, чтобы у нас росло то, что растет само и не требует ни забот, ни ухода – старые седые оливы росли в наших краях, когда мы пришли сюда – они и теперь седые и старые, и продолжают плодоносить, и так будет всегда, именно от олив исходит идея бессмертия, недоступного для человека, а потому такого притягательного.
Мы любим сады – они долго живут, а огороды – ну, что растёт само, то пусть и растёт само, а уж мы найдём ему применение: что есть, а что пойдёт в приправу или консервант.
Скотину мы не держим – возни много, а толку мало, да и зачем нам скотина, если вокруг, в горах водится дикое зверьё. И лошади нам ни к чему – им здесь трудно двигаться, есть почти нечего, мы же на своих длинных ногах бегаем быстрее лошадей и пройдём там, где не пройти коню. Хищные зубья скал, торчащие из гор на каждом шагу, и кручи бесчисленных ущелий делали наши места труднодоступными для коней
А потому наше клочковатое и разрозненное хозяйство, если его вообще можно назвать хозяйством, так зыбко и неустойчиво, так непрочно и своевольно: то ломится изобилием, то скудно до настоящего голода.
Когда он, голод, наступает, то спасения от него почти нет. Он тянется долго, иногда целый год, до следующего урожая, а иногда и годами. Когда наступает голод, поднимается чёрной тучей саранча и улетает прочь – неизвестно куда. Саранча часто оказывается последней потухшей надеждой – когда ничего нет, мы жарим и едим её. Когда наступает голод, глубоко под землю уползают змеи – самая лучшая еда и самое верное лекарство от любых ран и болезней.
И тут возникает выбор, для других, наверно, мучительный, для нас же привычный и спокойный.
Либо мы начинаем есть друг друга, сначала детей, потом молодых, ещё никогда не рожавших девушек, либо отправляемся в соседние с нами города и страны и продаем себя, сначала детей, потом молодых, ещё никогда не рожавших девушек и в последнюю очередь взрослых мужчин, которых покупают на невольничьих рынках весьма неохотно, потому что заставить работать их практически невозможно, а то, что они умеют делать, никому не нужно. Или почти никому. Да, если их и покупают, то только, чтобы использовать их как охранников, сторожей, телохранителей, тюремщиков и надсмотрщиков, воинов. В таких качествах они, конечно, хороши, но всё равно опасны, потому что всегда могут обернуть свои силы против хозяина. Это – не зазорно.
Зачем человеку совесть?
Различать Добро и Зло могут все живые организмы, как одушевленные, так и неодушевленные: растения помнят тех, кто зло обращался с ними и всеми силами и способами стараются ответить тем же: цепляются колючками, издают неприятный запах, а, если не могут этого, то просто чахнут и гибнут. На Добро они отвечают Добром: пышно цветут и плодоносят, благоухают и т. п.
Способность к различению Добра и зла присуща всему живому и, более того, является этическим основанием Космоса и Мироздания. Эта способность фундаментальна для совести, но только ею совесть не описывается.
Над этим фундаментом – нравственный императив, выведенный Кантом, но сформулированный до него многими другими мыслителями, учителями и священниками:
максиме «поступай только согласно такой , руководствуясь которой ты в то же время можешь пожелать, чтобы она стала всеобщим законом»
Или, что то же самое:
«поступай так, чтобы человечество и в твоем лице, и в лице всякого другого всегда рассматривалось тобой как цель, но никогда только лишь как средство».
Категорический императив имеет такой же всеобщий, вселенский, космический (а потому не преодолимый и не обходимый ни через какие лазейки) характер, но распространяется исключительно на человека и человечество, минуя и оставляя без внимания всё остальное живое.
Наконец, в структуре совести имеется высший слой, без которого совесть и не является совестью, но который невозможен без двух нижележащих – индивидуальный универсум совести.
И в английском, и в русском языке и в большинстве европейских (=христианских) языков понятие совести предполагает некоторую совместность человека и Бога:
со-весть (весть и канал связи между Богом и человеком)
сonscience – (science – наука) английский
Gewissen – (wissen – знать) немецкий
сonscience – французский
сoscienza – итальянский
и так далее.
Понятие «совесть» созвучно и по смыслу и фонетически с «сознанием»:
со-знание (совместное знание)
consciousness – английский
Bewußtsein – немецкий
сonscience – французский
conoscenza, sensi – итальянский
В отличие от «сознания» и «совести» «мышление» не предполагает никакой совместности и достаточно сильно различается в языках, за исключением немецкого и русского, где в основе лежит «мысль», но не надо забывать, что многие интеллектуальные понятия в русском языке – калька с немецкого:
мышление
awareness, mind, mentality – английский
Denken, Denkweise – немецкий
faculté de penser – французский
facolta mentale, pensiero – итальянский
Само «мышление» в понятие «совести» не входит, но без совести и сознания оно невозможно. Мышление, в отличие от совести и сознания, креативно, и только оно изо всех интеллехий человеческих креативно. Мы только в мышлении – со-творцы, по Образу Божию. Мы только в мышлении составляем с Ним индукционный контур, порождающий новые сущности, именно для этого мы и нужны ему, и существуем, пока можем творить или пока не создадим Навигатору замену себе, после чего можно спокойно раствориться и исчезнуть.
Да, мышление не оперирует и не выбирает между Добром и злом, да, мышлению не нужен нравственный императив, но для того, чтобы мышление не превратилось в своеволие, опасную спекуляцию, неосторожную игру ученика чародея, или не стало орудием зла, нужна совесть, нужна непрерывная связь с Богом, довлеющая над нами и нам не подчиненная, но нас подчиняющая. Именно в этом смысле мы – рабы Божии, и ни в каком другом смысле, ибо Богу противна и чужда идея рабства и зависимости: причинно-следственный мир, узаконенный и занормированный мир придумали люди, а сам мир – свободен в своём выборе, достаточно посмотреть на звёздное небо или снимок с телескопа «Хаббл».
С практической точки зрения это значит: технически нельзя быть творческой личностью и мыслителем, если игнорируешь выбор между Добром и злом, если не подчиняешься нравственному императиву, если не слышишь и заглушаешь в себе голос совести.
Нельзя технически и онтологически.
Бегство
Так длилось и длилось и, казалось, будет длиться вечно. Но вечного не бывает.
С запада, из-за моря, пришли на тяжёлых, грубых и неуклюжих судах люди, тяжёлые, грубые и неуклюжие.
Они разрушили наши селения и построили свои города, они порушили наши нравы и обычаи и возвели свои законы, они попрали наших домашних богов и понаставили всюду своих истуканов, глухих к нам и нашим местам, они извергли нашу культуру и насадили свою безликую, горожанскую цивилизацию, дикую для нас и наших гор. Их Диоклея, нелепый город, стал клеймом нашего края, унижением нашей свободы. Они посчитали нас дикарями и варварами, но ведь это они пришли к нам, а не мы к ним. И мы не смогли сбросить их с наших скал в море, потому что мы – россыпь, а они – безжалостный бич. Мы владеем ножами с двух рук, они – только с одной, но в этой руке – тяжёлый и длинный гладиуc, меч смерти.

