
Геометрия. 7-9 класс

От автора
Эта книга предназначена для обычных школьников, которые хотят понять геометрию на плоскости, но в силу разных обстоятельстве в школе им это не удалось сделать. Книга разделена на несколько частей: для удобства изучения и для качественного усвоения материала. Все части книги связаны и представляют собой единую программу по предмету Геометрия, раздел «Планиметрия».
Пусть наука простит меня за какие-то возможные неточности в изложении материала, я не для нее писала эту книгу и старалась максимально связно и доходчиво донести знания до детей любого возраста и для родителей, которые хотят помочь своим чадам в изучении этого предмета или вместе изучают предмет.
Программа отработана и показывает хорошие результаты усвояемости учениками разных возрастов, от 5 до 11 класса.
Планируется выпустить сначала все книги по теории, потом задачники.
Начальные знания об элементарных фигурах
Фигуры на плоскости, изучаемые в школе: треугольники, четырехугольники, окружность, круг, многоугольники.
Также надо различать и понимать, что такое точка, отрезок, луч, прямая, угол.
В курсе «Геометрии» 7-9 класса проходят темы «Векторы», «Метод координат», «Движение» и «Начальные сведенья из стереометрии, однако в ОГЭ по математике, пока что эти темы не включены.
Для начала вспомним определения и свойства элементарных «фигур»:
Точка – абстрактный объект в пространстве, не имеющий никаких измеримых характеристик.
Прямая – это самая простая геометрическая фигура, которая, не имеет ни начала, ни конца, т.е. бесконечна.
Луч – это часть прямой, ограниченная с одной стороны точкой. Луч имеет начало, но не имеет конца. Любая точка на прямой разделяет ее на два луча.
Отрезок прямой – это часть прямой, ограниченная двумя точками (точки называются концами отрезка).
Также надо понимать, что, все вышеперечисленные объекты – это множество точек (кроме точки она одна, не множество), бесконечное множество – ничем ограниченная прямая; бесконечное множество, ограниченное с одной стороны (или имеющее начало) – луч; множество точек имеющие и начало и конец – отрезок.
Точки, обозначаются только большими латинскими буквами
точка A
точка B


Прямые обычно обозначают малыми латинскими буквами
прямая a прямая b прямая c
Но если на прямой есть точка, то можно обозначать ее двумя точками, лежащими на прямой.

прямая AB
На прямой АВ также есть четыре луча и один отрезок. Луч можно, как и прямую, обозначить малой латинской буквой или двумя большими, где правая будет обозначать начало луча, а вторая может быть любой точкой на этом луче


Отрезок всегда обозначают двумя большими латинскими буквами.
Угол – это геометрическая фигура, которая состоит из точки и двух лучей, исходящих из этой точки. Другими словами, угол – это два луча, у которых совпадают их начала.

Углы обозначаются тремя большими латинскими буквами, где средняя буква является вершиной угла, началом лучей.
Прямые
Прямые могут пересекаться и не пересекаться. Если у прямых есть одна общая точка, то они пересекаются. Прямые a и b пересекаются в точке A.

Если у прямых нет общей точки пересечения, то такие прямые называются параллельными. Прямая c параллельна прямой d. (обозначение //)

Если у прямых две общие точки, то они совпадают, т.к. через две точки можно провести только одну прямую. Прямая z совпадает с прямой LM

Если прямые пересекаются под углом в 90 градусов (под прямым углом), то такие прямые называются перпендикулярными

Прямая h перпендикулярна прямой i
Углы

Углы бывают четырех видов:


Углы на пересекающихся прямых
Углы, которые находятся напротив друг друга, называются вертикальными. Они равные.

Углы, которые находятся рядом и образуют прямую (или развернутый угол) называются смежными. В сумме они составляют 180 градусов.

Углы на двух параллельных прямых и секущей
Соответственные углы равны.

Внутренние накрест лежащие углы также равны

Внешние накрест лежащие углы также равны

Внутренние односторонние углы в сумме составляют 180 градусов

Внешние односторонние углы в сумме составляют 180 градусов

Градусная мера углов
Углы измеряются в градусах « о», минутах « ’», и секундах « ”»

До 9 класса достаточно знать о градусах. О минутах и секундах рассказывают в 10 классе на уроках Алгебры, в разделе «Тригонометрия».
Измерить градусную меру угла можно транспортиром :

Общие сведения о треугольниках
Общие сведения, которые касаются всех треугольников:
1.Сумма углов в любом треугольнике равна ста восьмидесяти градусам
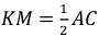
2.У любого треугольника есть средняя линия, длина которой равна половине основания.

Средняя линия (K M) – это отрезок, который соединяет середины сторон, т.е. K – середина AB, M – середина BC.
Значит AK=KB, CM=BM
а


3.Кратчайшее расстояние от точки до прямой – перпендикуляр. Это понимание нужно для решений некоторых задач, где рисуя перпендикуляр то получается либо высота, либо прямоугольный треугольник , либо


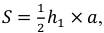
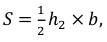
4.Площадь треугольника



где b – это основание, а

– это высота, опущенная на основание.

Т.е. площадь можно найти, используя половину произведения ЛЮБОЙ стороны и высоты, ОБЯЗАТЕЛЬНО опущенной именно на эту сторону.
5.Высота – это отрезок, концы которого соединяют вершину треугольника и противоположную сторону так, что сторона и отрезок образуют


6.Медиана – это отрезок, соединяющий вершину треугольника и середину противоположной стороны.

7.Биссектриса – это отрезок, исходящий из вершины на противоположную сторону и делящий угол пополам

Виды и свойства треугольников.
Что такое треугольник, думаю, знают все: еще с начальной школы знаем, что такая фигура имеет три угла, три стороны и три вершины. Разберемся теперь, какие треугольники бывают.
В зависимости от углов:
остроугольные (все углы острые, меньше 90°)

тупоугольные (один из углов тупой, больше 90°)

прямоугольные (один из углов прямой, 90°)

В зависимости от сторон:
произвольный (все стороны и углы разные)
равнобедренный (две стороны равны)

равносторонний (три стороны равны)

В планиметрии рассматривают: прямоугольные, равнобедренные и равносторонние треугольники – они немного особенные и свойств у них много, которые надо знать.
У остроугольного нет особенностей.
У тупоугольного есть одна: три высоты будут пересекаться вне треугольника.
Прямоугольный:
Стороны, прилежащие к углу в 90°, называются катетами
Сторона, лежащая напротив угла в 90°, называется гипотенузой
Свойства:
Два острых угла дают в сумме 90°. (Сумма углов в треугольнике составляет 180°, в прямоугольном – один угол прямой, т.е. 90°, 180°-90°=90°, таким образом на два острых угла приходится только 90°.)
Катет, лежащий напротив угла в 30°, равен половине гипотенузы.

Равнобедренный:
Равные стороны называются боковыми, третья- основанием. Боковые стороны равны по определению.
Свойства:
Углы при основании равны.
Конец ознакомительного фрагмента.
Текст предоставлен ООО «ЛитРес».
Прочитайте эту книгу целиком, купив полную легальную версию на ЛитРес.
Безопасно оплатить книгу можно банковской картой Visa, MasterCard, Maestro, со счета мобильного телефона, с платежного терминала, в салоне МТС или Связной, через PayPal, WebMoney, Яндекс.Деньги, QIWI Кошелек, бонусными картами или другим удобным Вам способом.
Приобретайте полный текст книги у нашего партнера:

