
От бедности к богатству

Алексей Решетников
От бедности к богатству
Финансовая свобода – это капитал, проценты от которого позволяют оплачивать счета и быть свободным
Введение
Дорогие читатели, огромное вам спасибо за то, что вы приобрели эту книгу. Так же хочу вас поздравить с тем что, вам не наплевать на самих себя, и вы начали или продолжаете изучать опыт тех, кто стремиться и делает богатыми себя и окружающих.
Первый шаг на пути к богатству – это знания, и чем больше вы будете вкладывать в свое образование, тем быстрее станете богаче. За что хочу выразить огромную благодарность свом родителям, которые всегда старались использовать любые возможности для образования своих детей и привили привычку учиться и трудиться, хотя жили мы бедно, и денег на образование практически не было. Были времена, когда приходилось ходить в школу в фуфайке и что бы выглядеть более или менее прилично мне пришлось ее обрезать, вставить замок, вырезать карманы. Мой отец дополнительно зарабатывал игрой на баяне и ремонтом телевизоров, что бы можно было жить, а не существовать. Сейчас все иначе, о чем я раньше мог только мечтать. Мы с моей супругой, и сыновьями перебрались из провинции в мегаполис и владеем жилой и коммерческой недвижимостью за четверть миллиона долларов, а перед этим объехали более десятка стран для выбора дальнейшего приобретения вилы у моря.
Знания, полученные от богатых людей через общение, книги и семинары, помогли перевернуть всю мою жизнь.
Конечно, помимо знаний существует множество факторов, которые помогают или мешают становиться богаче, о чем я и хотел бы с огромным удовольствием вам рассказать.
В настоящем мире многое зависит от того, сколько мы имеем денег и что можем себе позволить, т. к. любой товарообмен происходит за деньги. Деньги это мера стоимости товаров и услуг. Что бы появились деньги, нужно что-то произвести или оказать какую либо услугу. Для этого сначала нужно учиться, а затем работать. Но у многих на этом все развитие личности заканчивается, т. к. появляются какие-то деньги, на которые можно прожить, а иногда просуществовать, в зависимости от того, кто на что учился, тот на то пригодился. Следом появляется лень, еще хуже потребительские кредиты, которые позволяют обманывать самих себя, а другим наживаться, но об этом чуть позже. Некоторые начинают заниматься бизнесом, так как понимают, что работая на «Дядю», много не заработаешь, но не у всех это получается.
Основная проблема многих это лень и безграмотность. Для дальнейшего увеличения дохода не важно работая на «дядю» или занимаясь бизнесом нужны желания и знания. И любой, кто хочет стать богаче должен познать экономику и психологию, точно так же как получить профессию.
В наше время разделение класса происходит с бешеным темпом, богатые богатеют, бедные беднеют. Если так будет продолжаться дальше, можно придти опять к рабовладельческому строю. Настоящая перестройка только началась. Особенно это заметно после очередного кризиса, который говорит о том, что если есть работа, есть деньги, если нет работы, нет денег, а на что жить, в период пока нет работы? И на что жить после работы на пенсии?
Многие начинают понимать тяжесть навалившихся проблем и еще ожидаемых, что приводит к экстренному изучению экономики и психологии. На сегодняшний деньии. В настоящее время «гламур» с его кредитами постоянно соблазняет и мешает дальнейшему развитию личности и созданию капитала.
В этой книге мы рассмотрим основные методы создания, сохранения и приумножения капитала, которые соблюдают богатые люди. Данные методы помогут любому достичь успеха в достижении своих целей по улучшению своего благосостояния и понять причины своих неудач.
Необходимо разобраться и понять, что многое зависит не только от увеличения дохода, но и от грамотного распределения расходов, которые мешают сохранять и приумножать капитал.
Сайт автора www.investuslugi.ru
Глава 1. Философия формирования капитала
1.1. Капитал
Капитал – это совокупность имущества, активов, используемых для получения прибыли, богатства. Значит, чем больше у нас имущества и активов, приносящих прибыль, доход, тем более мы становится богаче. Следовательно, что бы стать богаче, нужно формировать капитал.
Формированием капитала в семье уже давно занимаются в развитых странах из поколения в поколение. После завершения трудовой деятельности люди продолжают жить на проценты от своего капитала, как и от доходов во время трудовой деятельности. Появляется много свободного времени, которое можно тратить на свои увлечения, путешествия, занятие своим здоровьем и так же легко оплачивать привычные счета, в том числе за содержание своего имущества. Капитал переходит по наследству детям, которые продолжают его увеличивать и так далее.
Но до сих пор есть огромное количество людей которые этого не делают, думают что государство о всех позаботится. Такие люди просто безответственны за свою жизнь и жизнь своих детей. Государству наоборот легче управлять такими зависимыми людьми, чем независимыми. Что до сих пор сохраняется в обществе и в управлении людьми на предприятиях. Руководители продолжают пользоваться экономической безграмотностью работников и их финансовой зависимостью, т. к. всем надо содержать свои семьи и кредиты, а живут от зарплаты до зарплаты. Поэтому когда на предприятии прибыль увеличивается в несколько раз, зарплата практически не изменяется.
Распространенной проблемой людей является неумение контролировать свои расходы. Неоднократно приходиться наблюдать, как человек, получивший зарплату, тратит ее львиную долю в первый же день, а к середине месяца денег практически не остается, что заставляет людей влезать в кредиты, долги и ведет к банкротству. Самое страшное, что из-за этого происходят скандалы в семьях, которые могут привести к разводу, страданию взрослых и детей от жизни не в полноценных семьях, прежние супруги больше не могут найти себе спутников жизни и так далее.
Выход у простого человека один разобраться со своей экономикой и начать формировать капитал, иначе вся жизнь пройдет в бедности и зависимости и это все наследство, которое он сможет передать детям. Мы сами хозяева своей жизни и ни кто другой!
1.2. Пенсия
Активная часть жизни проходит от 20 до 60 лет, в этот период многие могут себе позволить различные вещи в зависимости от дохода. Но как только человек, не создававший себе капитал, выходит на пенсию, он вынужден от много отказаться, потому что его ежемесячный доход падает примерно в 5-10 раз, денег хватает заплатить только за коммунальные услуги и то не всегда. Многие отказываются не только от машин, одежды, но и даже приходиться уменьшать жилищную площадь на более меньшую и худшую, что бы появилась возможность ни только заплатить за коммунальные услуги, но еще и покушать. А где взять деньги на восстановление здоровья, или хотя бы на обезболивающие лекарства?
Наверно каждый об этом хоть раз задумывался, как жизнь может резко измениться после выхода на пенсию, так как уже не будет хорошей зарплаты, а значит и привычного уровня жизни. Тем более, что после пенсионной реформы пенсия складывается из нескольких частей, одна из которых зависит от того сколько у вас была официальная зарплата, а сколько «в конверте», зачастую разница огромная. Поэтому не надо на кого-то надеется, все будет зависеть от того, какой капитал сформируете вы сами.
Как приятно посмотреть на счастливых пожилых людей, которые сформировали себе капитал и могут себе позволить регулярно посещать санатории и курорты и как обидно смотреть на тех, кто считает копейки у кассы, что бы купить крупы. А счастливым может быть любой, кто этого захочет и добьется.
1.3. Будущее детей
Дети – это наше будущее. Для будущего детей необходимо тоже создавать капитал на образование, недвижимость, приданное. Думать сегодня о будущем детей так же необходимо, как прокормить семью сегодня. Все родители желают своим детям самого лучшего, но не все понимают, что надо не только желать, но и делать, облегчая старт во взрослую жизнь. Некоторые родители думают, что дети с 18 лет могут сами устраивать свою жизнь так как хотят, но это ошибочное мнение и как правило может привести к тому, что ребенок не только не найдет себе достойную дорогу в жизни, но и может скатиться в низ. Поэтому так важно, что бы ребенок к вступлению во взрослую жизнь уже был подготовлен. Например, обеспечен жильем, которое позволит создавать семейную жизнь без скитания по съемным квартирам и выкидыванию большей части зарплаты за аренду, а так же поиска «левых» денег, так как частенько получается, что стоимость аренды такая же, как и зарплата одного из супругов, а если родиться ребенок, то добыча денег ложиться на одного.
Богатство достигается не сразу, поэтому кто раньше начинает разумно накапливать сбережения, тот быстрее становиться богаче. А парадокс заключается в том, что подросткам никто не рассказывает об этом. Следовательно, бедность передается по наследству. Если мы хотим, что бы наши дети были здоровыми и богатыми, а мир счастливым, мы должны сами научиться управлять своими финансами, здоровьем и научить детей.
1.4. Финансовая свобода
Когда человек начинает получать доход в виде процентов от своего создаваемого капитала больше, чем от наемной работы или бизнеса, он получает финансовую свободу. Наступает период жизни, о котором многие мечтают, т. к. уже не надо совершать повседневную работу и появляется много свободного времени, которое можно использовать для различных целей.
Вопрос весь в том, за какое время можно достичь финансовой свободы. Это зависит во первых от того, сколько нужно ежемесячно денег для удовлетворения повседневных затрат и возможности продолжать формировать капитал, а во вторых сколько человек ежемесячно может откладывать и в течение, какого периода. Чем раньше начать создавать и приумножать свой капитал, тем быстрее можно достичь цели.
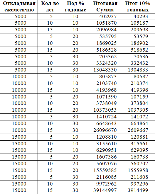
Многие люди с нетерпением ожидают выхода на пенсию, которою обеспечивает государство, и считают это финансовой свободой, но это просто абсурд, скорее да же обман самих себя. На эти деньги не возможно существовать, а не то, что жить. Любое государство стремиться увеличить период выхода на пенсию, а некоторые люди не доживают вообще до нее. Лучше не ждать от государства пенсию, а сделать ее самому и например к 30 или 40 годам. Исходя из этого, давайте лучше сделаем выводы и посмотрим на примерные расчеты, из которых будут видны свои возможности и к чему нужно как минимум стремиться:

Глава 2. Кредиты не богатство
2.1. Основные факторы мешающие сохранять и приумножать деньги
Многие люди думают, что чем больше они зарабатывают, тем они богаче, но это не совсем так. Это только начало пути к богатству. Не для кого не секрет чем больше доходы, тем больше расходы, а если еще приходится платить по потребительским кредитам, то тогда вы не на пути к богатству, а на пути к банкротству.
Потребительские кредиты это болезнь подобная наркомании. И чем раньше вы это поймете, тем быстрее станете богаче. На самом деле начало пути к богатству и спряталось в этой болезни. Первое что надо сделать – это раз и навсегда забыть про потребительские кредиты. Кредит можно взять только в одном случае, если вы с помощью него сможете увеличить доход. Но не у всех это получается. Не каждый бизнесмен становится настоящим бизнесменом, многие просчитываются и становятся рабочими, а еще хуже, если им приходится платить по долгам.
Не надо покупать дорогие машины и много других вещей ради «понтов», которые на самом деле многим не по карману. Тем более что за них надо расплачиваться в течение большей части времени, которое их достаточно быстро обесценивает, а иногда и сразу после аварии или угона без возможности получения выплаты от страховой компании, неважно по каким причинам, а если автомобиль приобретался полностью в кредит, да это просто катастрофа. Что еще хуже, когда многие не правильно рассчитывают свои возможности и начинают экономить на своем питании, здоровье и детях. На моей памяти достаточно много таких примеров, страданий, слез и рыданий пострадавших людей. Они просто сходят с ума, особенно если взяли дорогой автомобиль полностью в кредит без страховки. Жилья своего нет, приходится платить за аренду квартиры, автомобиль разбивают без возможности восстановления или частично, но нет денег на восстановление, а иногда со смертельным исходом или получением инвалидности близких людей. При всем при этом надо выплачивать долг в течение минимум пяти лет стоимостью новой квартиры. Ужас, про который не рассказывают, когда выдают деньги в долг. Дай бог им силы все это пережить и не совершать такие страшные ошибки ни кому. Лучше вкладывать деньги в здоровье, интеллектуальное и духовное развитие себя и своих детей, а не платить проценты банкам и обвинять потом государство и окружающих, что мы плохо живем.
2.2. Мошенничество на кредитах
Очень много людей страдает от мошенников, не добросовестности работников банков и несовершенного законодательства. Например, человек оформил кредит, а потом передумал, и к нему через год приходит известие о том, что он должен кругленькую сумму с бешеными пенями, затем начинаются суды и заканчивается все тем, что судебные пристава забирают автомобиль, выносят вещи из квартиры, все это оценивают по смешным рыночным ценам для погашения долга, а перекупщики наживаются на горе людей. Или еще один пример, когда мошенники приобретают автомобили в кредит через подставных людей или сами, затем продают простым обывателям, у которых забирают потом эти автомобили, так как они находятся в залоге у банков. Еще хуже, когда эти автомобили продаются дальше и страдают цепочки автолюбителей владевших данными автомобилями. Становятся все друг другу должны, и опять суды, которые длятся годами и высасывают деньги из семейного бюджета через адвокатов и действий приставов, которым наплевать справедливое решение суда или нет, их задача исполнять закон.
Примеров очень много, их все невозможно перечислить, а всему виной алчность и кредиты. Всегда удивляюсь тем, кто ради денег готов на все, пойти на преступление, предать друзей, родных, и будущее своих детей, все эти деньги на тот свет не заберешь, а только сделаешь хуже будущему своих детей и всему мировому сообществу.
2.3. Сумасшедшие выплаты по кредитам
Вы только представьте, что по статистике в среднем автолюбитель покупает машину в кредит за 500000 рулей на 5 лет под 20 % годовых. Это значит, что за 5 лет он выплатит за нее 800000 рублей, плюс страховка за 5 лет примерно 150000 рублей и того 950000 рублей, т. е. ежемесячно затраты от семейного бюджета составляют в среднем 15000 рублей. Стоимость машины через 5 лет будет составлять максимум 250000 рублей. А это означает, что 700000 рублей будут выброшены просто на ветер. При этом ее все это время надо обслуживать, иначе она может просто стать развалюхой и в нужный момент не доедет до места назначения.
А если в стране произойдет кризис, который нагрянет внезапно, то можно попасть под сокращение, что еще страшней. Ни кто об этом не задумывается когда берет кредит, а последствия очень плачевные. Ни кто не хочет падать ниже достигнутого социального статуса, а приходиться и новую вещь ни когда не продашь как новую, а отдавать деньги банку надо. Иногда приходится платить по долгам поручителям, тогда страдают еще больше людей.
Конец ознакомительного фрагмента.
Текст предоставлен ООО «ЛитРес».
Прочитайте эту книгу целиком, купив полную легальную версию на ЛитРес.
Безопасно оплатить книгу можно банковской картой Visa, MasterCard, Maestro, со счета мобильного телефона, с платежного терминала, в салоне МТС или Связной, через PayPal, WebMoney, Яндекс.Деньги, QIWI Кошелек, бонусными картами или другим удобным Вам способом.
Приобретайте полный текст книги у нашего партнера:

