
Основы социологии и политологии. Учебное пособие

Анатолий Алексеевич Горелов
Основы социологии и политологии
Предисловие
Как только человек начинает осознавать самого себя, он понимает, что окружен другими людьми – родителями, родственниками, соседями. Постепенно круг его общения расширяется. Сферу социальных связей можно изучать так же, как и природные явления, и занимаются этим такие науки, как социология и политология. Они появились позже, чем математика и естественные науки, но не менее важны. Их достижения также должен знать человек, считающий себя современным и образованным. Знание развития общества способно помочь как в выработке мировоззренческой позиции, так и в решении конкретных жизненных проблем.
Выбор материала для данного учебного пособия обусловливался стремлением, с одной стороны, познакомить студентов с основными социологическими понятиями, представлениями и теориями, а с другой стороны, дать им сведения, которые помогли бы разобраться в современном устройстве общества. Структурно и содержательно книга соответствует Госстандарту для вузов и может служить пособием для самостоятельной работы студентов.
Изучение материала учебного пособия желательно дополнить чтением классических социологических и политологических трудов Платона, Аристотеля, Г. Спенсера, Л.Н. Толстого, Э. Дюркгейма, М. Вебера, П.А. Сорокина, М. Мид, Э. Фромма и др.
Глава 1
Становление социологии и политологии
Определение социологии
В 1839 г. французский философ Огюст Конт (1798–1857) предложил создать науку, изучающую общество, и назвать ее социологией. «Социо» в переводе с латинского – общество, «логос» в переводе с греческого – слово, разум. Буквально: наука об обществе. Конт образовал это слово по аналогии с названием науки о живой природе – биологии (это понятие появилось в начале XIX в.).
То, что предложил новую науку именно Конт, не случайно. Он был основателем нового философского направления – позитивизма и считал, что человеческое мышление прошло в своем развитии три этапа. Сначала оно было теологическим (религиозным) и объясняло все происходящее действием богов («Бог дал, Бог взял» и т. п.). Потом оно стало метафизическим («мета» – греческий предлог «за», буквально: за физикой, т. е. природой) и выводило все из понятий и идей. В Новое время, последовавшее за эпохой Возрождения, мышление, по Конту, стало позитивным (научным), и оно основывается на эмпирической (опытной) проверке гипотез и теорий, открывая законы природы.
Научное мышление сначала утверждалось в исследовании природы. Возникли естественные науки – астрономия, физика, химия, биология. Затем научный подход восторжествовал и в изучении общества, и наука о закономерностях общественного развития была названа социологией.
Однако если сейчас определять социологию как науку об обществе, то это не будет точно. Дело в том, что в XIX–XX вв. появились другие науки, изучающие отдельные общественные явления: политология, культурология, антропология, этнография, этнология и т. д. Это закономерный процесс развития науки. Когда-то физика возникла как наука о природе («фюзис» по-гречески – природа), но если сейчас назовем ее наукой о природе, то будем не правы. Теперь это одна из наук о природе, поскольку появились другие: астрономия, химия, биология. Чтобы отличить физику от других наук о природе, следует дать более точное определение.
То же с социологией. С появлением других наук об обществе надо дать более строгое ее определение. Это сделал в XX в. выдающийся русский социолог П.А. Сорокин (1889–1968). Он выделил две группы вопросов, составляющих предмет социологии. Во-первых, наиболее общие проблемы человеческих взаимоотношений (такие, как развитие общества в целом и т. п.), а во-вторых, проблемы соотношения явлений, которые изучают порознь представители других общественных наук.
Поясним это на схеме, предложенной П.А. Сорокиным. Предположим, что одна из общественных наук, скажем, политология, изучает явления А, Б, В, Г…, другая наука, скажем, культурология, – явления А, Б, Д, Е…, третья наука – А, Б, Ж, 3… Тогда предметом социологии будут общие для всех наук явления, т. е. А и Б, а также взаимоотношения между явлениями В и Д, Г и 3 и т. д.
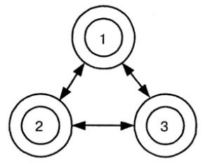
Еще одно необходимое дополнение. Понятие «общество» имеет в русском языке несколько определений. Обществом называют элементы социальной системы, т. е. людей, взаимоотношения между элементами и социальную систему в целом. Социология изучает прежде всего структуру социальных систем, т. е. совокупность взаимоотношений между людьми, оставляя изучение самих людей психологии, а изучение продуктов их деятельности – культурологии. Это можно проиллюстрировать с помощью простой схемы.

Социология изучает не элементы 1, 2, 3, а их взаимоотношения, отмеченные стрелками: 1 <—> 2, 1 <—> 3, 2 <—> 3. Различия между элементами, составляющими структуру, и комплексом элементов, из которых строится система, такие же, как между деревьями и лесом. Лес – не совокупность деревьев, стоящих на таком расстоянии, что они не влияют друг на друга. Итак, социология изучает «лес», а не отдельные «деревья» сами по себе.
Отметим также, что уже после предложения О. Конта о структуре социологии стало выясняться, что животным также присущи порой очень сложные формы социальной жизни. Социология не изучает общественную жизнь животных, а только человеческие взаимоотношения.
После этих необходимых замечаний можно дать четкое определение социологии. Социология – это наука о наиболее общих проблемах специфически человеческих взаимоотношений и взаимосвязи явлений, изучаемых другими общественными науками. Специфически человеческими будем называть такие взаимоотношения, которые свойственны виду Homo sapiens. Их также называют социокультурными.
Определение политики и политологии
Слово «политика» понимается в двух основных смыслах. В широком смысле – это сфера общественной жизни, имеющая дело с управлением. Так, можно говорить о семейной политике, политике в области образования, спорта и т. д. В рамках политологии нас будет интересовать политика в узком смысле слова, а именно сфера общественной жизни, имеющая дело с управлением государством. Политика в этом смысле существовала не всегда, а появилась с возникновением государства как социального института.
Слово «политика» происходит от древнегреческого слова «полис», обозначавшего город. В Древней Греции города с прилегающими к ним территориями представляли собой государства, т. е. полностью распоряжались всеми вопросами управления городом. Соответственно первоначально политика представляла собой искусство управления городом-государством. Система городов-государств, как, например, Афины, Спарта и т. д., существовала не только в Древней Греции, но и на Ближнем Востоке, в Древней Индии и в других частях мира. Известны города-государства в средневековой Европе. В Древней Руси такими городами были Новгород и Псков.
Изначальное определение политики как искусства управления людьми имеет веские исторические основания. Именно такое значение имело слово «политика» в Древней Греции аналогично тому, как риторика считалась искусством красноречия. Но это античное определение ушло в прошлое, так же как времена греческого полиса, когда оно сформировалось. Оно ныне также представляется неоправданно узким, так как могут быть политические решения далекие от искусства в высоком смысле слова и попросту некомпетентные.
Столь же ограниченным будет определение политики как науки управления, и не только потому, что политика возникла гораздо раньше, чем наука, но и потому, что конкретный политический уровень деятельности зачастую не основывается на объективных научных данных и вообще протекает на бессознательном уровне, не доходящем до разумной оценки событий. Такое определение имеет историческое основание, так же как, скажем, риторику называли наукой красноречия. Опять-таки, как и в случае с политикой – искусством, оно не соответствует реалиям современной действительности. Ведь наука в полном смысле слова образовалась только в XVI в., а наука, изучающая политические явления и названная политологией, – в XIX в. Определение политики как сферы общественной жизни, имеющей дело с управлением в государстве, более общее и адекватное практике. Мы в дальнейшем будем ему следовать.
Одним из первых суть политики определил древнегреческий философ Платон в диалоге «Политик». Платон рассматривал политическое искусство как умение «ткать» из отдельных индивидуальностей государственное целое. Он также называл политиков «пастухами человеческого стада». Будем ли мы считать политику наукой или искусством, в любом случае она имеет дело с управлением.
Определяющей границей политики будет, по Платону, не количество правителей, не насилие или добрая воля, не богатство или бедность, а знания. Здесь Платон следует за своим учителем Сократом. Второе, что Платон добавляет к знанию, – это справедливость, и формулирует следующее «великое правило» для правителей, состоящее «в том, чтобы умно и искусно, уделяя всем в государстве самую справедливую долю, уметь оберечь всех граждан и по возможности сделать их из худших лучшими» (Платон. Политик. 297 в.).
Так как политика неразрывно связана с управлением, имеющих к ней отношение можно разделить на управляющих и управляемых, хотя до некоторой степени условно. Соответственно выделяют субъекты и объекты политики.
Субъектами политики являются те, кто занимает управляющую позицию, т. е. принимает политические решения или, по крайней мере, имеет влияние на их принятие. Если человек просто соглашается или возмущается какими-либо политическими действиями, это не делает его ее субъектом. Сначала надо понять свои интересы и характер их связи с политикой (политическое сознание), затем выразить их в политических формах (политическая культура) и бороться за их осуществление (политическое поведение).
Объект политики есть, по философскому определению слова, нечто пассивное («инертное большинство») в противоположность субъекту как активному деятелю. Вопрос перехода из объекта в субъект – это вопрос о том, как человек может повлиять на политику (и не только один раз в несколько лет, но постоянно). В момент, когда человек опускает бюллетень с принятым им решением, он является субъектом, но во все остальное время он может быть простым объектом политики, если не участвует в принятии политических решений.
В Древней Греции политику называли искусством и наукой. В Новое время Д. Юм в эссе «О том, что политика может стать наукой» выдвинул так называемые «универсальные аксиомы политики», думая, что это сделает политику наукой. Но уподобления политики математике для становления науки недостаточно. Предложенные аксиомы слишком умозрительны, чтобы создать политическую науку. Юм думал, что политику сделает наукой «нахождение вечных политических истин», но сейчас мы знаем, что не этот признак характеризует науку, а проверка следствий из теорий.
Вопрос о том, сможет ли политика стать наукой, остается открытым. Но развитие гуманитарных наук привело к становлению политологии как науки о политике. Мы определили политику как сферу общественных отношений, имеющую дело с государственным управлением. Соответственно задачей политологии как науки о политике будет эмпирико-теоретическое познание данной сферы отношений и формулирование законов ее развития. Появление этого понятия снимает использование слова «политика» в смысле науки.
Каковы главные отличия политологии от политики? Политология – идеальна, политика реальна; политология объективна, политика субъективна, хотя в ней существует понятие объекта политики; политология рациональна, в политике наравне с рациональными присутствуют и нерациональные (порой бессознательные) моменты, и не только у подданных – объектов политики, но и у правителей. Если политика возникла 2,5 тыс. лет назад, то политология только в XIX в. в процессе дифференциации социологического знания. Сначала должна была возникнуть социология как наука об обществе, чтобы затем от нее отпочковалась дисциплина, изучающая ту часть общественной системы, которая имеет дело с государственным управлением.
Предмет социологии и политологии
Предметом науки является то, что она изучает. Предмет следует отличать от объекта. Объект реально существует и обладает в принципе бесконечным количеством свойств. Ученый вычленяет из объекта свойства, которые представляют для него интерес, и совокупность их становится предметом исследования.
Предметом социологии служит то, что великий французский ученый Э. Дюркгейм (1858–1917) назвал «социальными фактами». Эти факты находятся вне человека, в отличие от психологических фактов – ощущений, представлений и мыслей, но и не в природе, окружающей общество, а в нем самом. Они существуют в пределах человечества в целом, но вне конкретной личности. Слово «факт» понимается в самом широком смысле: это и социальные институты, и классы, и конкретные взаимодействия между людьми. Социальные факты, считал
Дюркгейм, обладают свойствами, которые не содержатся в самом сознании человека, так как общество не сводится к совокупности его членов. Как свойства воды не выводятся из суммы свойств атомов водорода и кислорода, так свойства общества, изучаемые социологией, не выводятся из суммы свойств его членов. К социальным фактам Дюркгейм относил верования, стремления, обычаи группы, взятой коллективно. Предмет социологии имеет, таким образом, специфику, отличающую ее от естественных наук и психологии. Собственно, эта специфика и объясняет появление науки со своим особым предметом исследования и методами.
Знаменитый немецкий философ и социолог Г. Зиммель (1858–1918) писал, что социология изучает формы взаимоотношений, подобно тому как геометрия изучает пространственные формы. Формы столь же важны, как и содержание. В предмет социологии входят социальные формы, представляя результат обобщения содержания социальной реальности.
Конкретные вопросы, входящие в предмет социологии, обозначены в оглавлении учебного пособия. Это методология социологии, история социальных учений, социологические школы, социологические теории, социология личности и девиантное поведение, социальные взаимодействия и группы, социальные институты и типы обществ, социальная стратификация и мобильность, отраслевая социология, методы и программы эмпирических исследований.
Предметом политологии является совокупность действий, связанных с управлением государством. Но вопросы управления в государстве не ограничиваются деятельностью собственно государства. Существуют проблемы, непосредственно не связанные с государством, но влияющие на него. Это деятельность партий, других общественных организаций – профсоюзов и т. п.; отдельных людей и заинтересованных групп с присущим им политическим сознанием и культурой; совокупность политических процессов в мире.
В целом это составляет предмет политологии. Предметом политологии будет вся совокупность тем, которые рассматриваются в данном учебном пособии, хотя, конечно, она далеко не исчерпывает всего того, чем занимается политология. Конечная цель политологии, как любой другой науки, – выявление закономерностей, в данном случае закономерностей управления обществом, закономерностей функционирования политики как особой сферы общественной жизни.
Методы социологии и политологии
Учение о методах, подходах, способах научного исследования называется методологией. Относительно специфики методологии еще в XIX в. в трудах двух выдающихся ученых, стоявших у ее истоков, – французского социолога Э. Дюркгейма и немецкого социолога М. Вебера (1864–1920) – сложились два различных представления, объясняющиеся спецификой этой науки.
Основоположник первого направления, Дюркгейм, подчеркивал в методологических работах, что социологи должны столь же непредвзято изучать свой предмет, как естествоиспытатели. «Таким образом наше правило… требует только одного: чтобы социолог погрузился в состояние духа, в котором находятся физики, химики, физиологи, когда они вступают в новую, еще неисследованную область своей науки» (Дюркгейм Э. Социология. М., 1995, с. II). Если более строго, то «социальные факты должны рассматриваться как вещи», т. е. как объективно существующие независимо от сознания исследователя. Подробная точка зрения получила название позитивизма в социологии (вспомним, что основателем позитивизма как философского направления был «отец» социологии О. Конт).
Конец ознакомительного фрагмента.
Текст предоставлен ООО «ЛитРес».
Прочитайте эту книгу целиком, купив полную легальную версию на ЛитРес.
Безопасно оплатить книгу можно банковской картой Visa, MasterCard, Maestro, со счета мобильного телефона, с платежного терминала, в салоне МТС или Связной, через PayPal, WebMoney, Яндекс.Деньги, QIWI Кошелек, бонусными картами или другим удобным Вам способом.
Приобретайте полный текст книги у нашего партнера:

