
Рассуждения об основах физики

Предисловие
Основой для написания этой книги послужила изданная в 2019 г. книга [1], а также восемь научных статей, опубликованных уже после выхода в свет указанной книги. Эти статьи являются логическим продолжением книги [1] и вместе образуют единое целое, которое мы и назвали «Рассуждения …». То, что речь идет об основаниях физики, вполне справедливо. Здесь мы будем говорить о самых основных понятиях физики: длине, времени, массе, скорости, об абсолютном и относительном (о заряде и спине мы будем говорить кратко, по ходу изложения). Мы также будем говорить о связи геометрии с физикой. Особое место отводится здесь проблеме измерения времени. Эта проблема, до сих пор спорная, теперь уже никак не может обойтись без критики теории относительности и гипотезы расширения Вселенной. И здесь мы покажем иллюзорность этих теорий.
Изложение принципиально ведется с позиций материалистического понимания законов природы и законов мышления. Эта книга будет полезна не только физикам и астрономам, но и математикам, а также и тем, кто намерен изучать законы природы вообще.
Замечание об обозначениях. В связи с особенностями цифровой печати, физическую (алгебраическую) величину скорость мы будем обозначать буквой V (прописной, латинский курсив), чтобы надежно отличать её от ν (ню – частота колебаний). Векторные величины будем обозначать как обычно – латинский шрифт, полужирный, строчной, прямой (r – радиус-вектор точки, v – вектор скорости точки и т. д.). В записях в строку будем применять косую черту, как символ деления: a/b означает a, деленное на b. В числовых записях символ * будет обозначать умножение.
Глава 1. Об измерении времени и основах теории относительности
1. 1. Постановка задачи
Среди многочисленных высказываний в физике у нас наибольшее беспокойство и недоумение вызывают два следующих постулата, лежащих в основах так называемой, специальной теории относительности. Они таковы. Во-первых, скорость материальной точки не может превышать скорости света [2, с. 358] (далее коротко – 1-й постулат); во-вторых, скорость света всегда одна и та же в любой системе координат [2, с. 365] (далее коротко – 2-й постулат). На практике обычно говорят только о втором постулате и называют его кратко – «постулат о постоянстве скорости света». Нумерация нам понадобилась, чтобы избежать путаницы в изложении.
Наша цель: выяснить, как могло случиться, что в теории относительности все скорости относительны, а скорость света, однако, абсолютна? А так ли это на самом деле? Как выяснилось по ходу размышлений, происхождение постулатов тесно связано с проблемами измерения времени. Поэтому мы начнем с того, что проанализируем заново работу часов, а для этого посмотрим на них более внимательно.
После этого мы обсудим вопросы, касающиеся одновременности событий, синхронизации часов, преобразований координат и, наконец, придем к выводу, что постулаты, о которых говорилось выше, не имеют места и не являются законами природы.
1. 2. Общая, традиционная точка зрения на принципы работы часов
Обозревая устройство различных часов, и помня о том, что любые часы можно заменить эквивалентными световыми часами, мы можем взглянуть на часы с одной общей точки зрения.
Общим для всех часов (часто в неявной форме) является наличие у них некоторой, так называемой, эталонной скорости (далее Ve).
Среди всех скоростей измеряемых физиками, существуют скорости, обладающие весьма высоким постоянством. Именно эти скорости и берутся для построения часов. Что делают часы? Они берут некоторый, всякий раз постоянный (то есть эталонный) отрезок длиной se и преобразуют его в эквивалентный временной интервал Δt по формуле: Δt = se/Ve. Постоянство Ve и se гарантирует также и постоянство Δt . Когда мы говорим: «часы берут отрезок se» под этим мы понимаем, что этот отрезок встроен в сами часы (то есть является их важнейшей частью). Это необходимо, чтобы часы могли работать, находясь в покое. Обычно преобразование отрезка se во время делается методом «туда и обратно» как световых часах. В них световой импульс, проходя путь равный 2se от генератора до зеркала и обратно, преобразуется во временной интервал: Δt = 2se/c. Здесь c – скорость света.
1. 3. Материальная точка и часы как преобразователи пространства во время
Далее мы будем рассматривать только прямолинейное движение материальных точек и часов вдоль оси OX. В пункте (1. 13.) мы дадим обобщение полученных результатов на трехмерное пространство.
Пусть материальная точка двигается по оси OX c некоторой скоростью V . Этот процесс можно рассматривать как преобразование пространства во время по закону x/V = t, то есть пройденному расстоянию x материальной точки ставится в соответствие некоторое время t = x/V. В частном случае, когда V = 0 можно считать, что это преобразование также имеет место, но его результат не определен.
Рассмотрим теперь часы, как и материальную точку, двигающиеся вдоль оси OX или покоящиеся. В чем сходство часов с материальной точкой? Их два. Первое – часы также материальны, как и материальная точка. Второе – часы также являются преобразователем пространства во время.
В чем отличие часов от материальной точки? Их два. Первое – часы преобразуют пространство во время, используя строго постоянную (эталонную) скорость Ve по закону: t = x/Ve, тогда как у материальной точки скорость, вообще говоря, может быть любой. Второе – часы, находясь в покое, сохраняют прежним результат преобразования: t = x/Ve, тогда как у покоящейся материальной точки результат преобразования становится неопределенным. Таким образом, чтобы получить представление о реальных (материальных) часах, мы должны скомбинировать и сходства и различия между часами и материальной точкой (непротиворечивым образом) в одном устройстве, называемом реальными часами.
Сделав это, мы получим структурную схему часов, изображенную на рис. 1. 1.

Рис. 1. 1
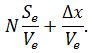
В преобразователе пространство – время (s -> t) на основе эталонной скорости Ve последовательно преобразуются эталоны длины se и часы показывают на выходе слагаемое N(se/Ve), где N – число периодов часов. Но если часы сдвигаются по оси OX на величину Δx, то и эту величину преобразователь также преобразует во время (по тому же закону) равное Δx/Ve. В результате часы будут на выходе показывать сумму:

Назовем слагаемое Δx/Ve слагаемым переноса часов. Слагаемое переноса равно нулю, если во время измерений часы неподвижны. Но если допустить, что часы не материальны (но все-таки работают), то в этом случае слагаемое переноса будет равно нулю и тогда, когда часы двигаются. Истинное время, измеренное часами, равно только N(se/Ve) и из показаний часов следует вычитать слагаемое переноса. Чтобы придать слагаемому переноса определенный знак (– или +) договоримся о направлении эталонной скорости Ve. Если часы сдвигаются независимо (от других скоростей), то будем направлять скорость Ve в положительном направлении оси OX. Если же часы двигаются вместе с материальной точкой, время движения которой они измеряют, то будем направлять скорость Ve также как и скорость точки V, то есть векторы ve и v одинакового направления.

Рис. 1. 2
На рис. 1. 2 представлена наглядная механическая, одномерная модель реальных часов. Механизм часов двигается вдоль оси OX, не меняя своего направления в пространстве. Циферблат же часов, представляющий круг, может свободно вращаться вокруг своей оси и катиться по оси OX (для выполнения правила знаков он катится по оси OX снизу). Неподвижные часы (1) отсчитывают угол α пропорциональный истинному времени kα = N(se/Ve). Подвижные часы (2) отсчитывают угол α+β, причем β – угол поворота циферблата пропорционален слагаемому переноса, а k – коэффициент пропорциональности. Таким образом, подвижные часы отсчитают время:

В дальнейшем договоримся показания часов снабжать индексом χ (греческое хи), то есть писать – tχ, тогда, как истинное время будем писать обычно – t и тогда:

Наиболее ясно механизм появления слагаемого переноса усматривается в световых часах. Если часы неподвижны, то путь проходимый светом за один период равен 2se. Но если часы двигаются вдоль оси OX (и световой импульс двигается вдоль этой же оси) то, как легко видеть, путь проходимый световым импульсом за один период будет равен не 2se, а равен 2se+Δx, где Δx – сдвиг часов за один период вдоль оси OX. Поэтому часы покажут время:

Здесь второе слагаемое есть слагаемое переноса часов.
1. 4. Система часов
На практике нам нужны не одни часы, а система часов, где все часы совершенно одинаковы. Чтобы достичь этого, нам необходима некоторая универсальная эталонная скорость Ve, обладающая тремя важными свойствами. Первое – она должна быть как можно более постоянна. Второе – она должна легко воспроизводиться. Третье – она должна быть как можно больше по величине. Если первое свойство весьма важно как в теоретическом и практическом отношениях, то второе и третье свойства важны лишь в практическом отношении. Именно такая универсальная скорость, как мы сейчас увидим, должна являться средством связи между часами, образующими систему часов.
Пусть в точках A и B расположены часы, которые должны работать совершенно одинаково. Расстояние AB = s. Каждые часы снабжаются генератором коротких импульсов, посылаемых к другим часам со скоростью Ve , а также генератором мгновенной отправки, пришедшего от других часов импульса в обратном направлении, имитируя отражение импульса. В случае световых импульсов генератор мгновенной отправки можно заменить отражающим зеркалом. Таким образом, каждые часы отправляют импульс к другим часам со скоростью Ve и получают его «отраженным» обратно с той же самой скоростью. Поэтому каждые часы должны показать одно и то же время движения импульса туда и обратно, равное: t = 2s/Ve. И если это не так, то вводятся поправочные коэффициенты, чтобы это было так (при необходимости к времени t добавляется «время задержки» импульса). Тем самым каждые часы приводятся к часам на основе одной универсальной скорости Ve (то есть заменяются по сути дела таковыми). Такая процедура создания системы часов не кажется простой, однако она легко объясняется. Не всякие часы можно расположить в одном месте, чтобы сверить их работу (например, на Марсе и на Земле) и, тем не менее, эти часы обязаны работать одинаково. Итак: универсальная эталонная скорость обязательно должна быть средством связи между часами, чтобы иметь гарантию идентичности часов системы. В настоящее время средством связи между часами является скорость света. Поэтому современную систему часов можно считать основанной на универсальной скорости (то есть единой для всех часов), скорости света:
Ve = c.
Далее для сохранения общности мы будем писать по-прежнему Ve, но в конкретных задачах мы всегда можем заменить Ve на c и это не должно приводить к недоразумениям.
Системы часов, основанные на разных универсальных скоростях, теоретически равносильны. Но на практике предпочтительна наибольшая из таких скоростей; при этом повышается точность измерения времени, а также сокращается время на создание системы часов.
1. 5. Синхронизация часов
Общепринятая практика синхронизации часов такова. Часы расставляются в исследуемые точки и в начало координат и регулируются следующим образом: из начала координат посылается световой импульс к регулируемым часам, находящимся в точке с координатой x. Наблюдатель, находящийся у этих часов, ставит время: t = x/c в момент получения светового импульса (c – скорость света).
Однако показания реальных часов включают в себя и слагаемое переноса часов, равное здесь также x/c. Поэтому на часах следует ставить время равное 2x/c. Синхронизированные таким образом, часы могут двигаться вдоль оси OX, и при этом слагаемое переноса будет меняться. Поэтому для правильного отсчета времени, кроме времени tχ, всегда необходимо знать так же и координаты часов в момент измерения. И в этом заключается пространственно-временная связь.
Заметим еще, что предложенная здесь синхронизация часов не вполне корректна. Она основана на нашем твердом убеждении, что скорость света в одном направлении равняется средней скорости света на пути «туда и обратно». Но как это утверждение проверить экспериментально? Чтобы его проверить, необходимо иметь разведенные на расстояние s часы, синхронизированные ещё до начала опыта. И тогда вышеприведённый способ синхронизации уже не годится. В этом опыте нам придется двое часов расположить прежде в начале координат и запустить их одним начальным (нулевым) импульсом. После этого одни из часов сдвинуть по координате на расстояние s (не вмешиваясь в их работу). При этом в часах к истинному времени автоматически будет добавляться слагаемое переноса, которое при измерениях следует вычитать из показаний часов.
1. 6. Одновременные события

Рис. 1. 3
Одновременность событий поясняется на рис. 1. 3. Здесь в координатах XOt изображена зависимость от координаты слагаемого переноса x/Ve. Это прямая OC, наклонённая к оси OX под некоторым углом α, для которого tgα = 1/Ve. Назовем прямую OC прямой синхронизации. Прямая AB, параллельная прямой синхронизации замечательна тем, что события расположенные на ней одновременны, так как для точек этой прямой истинное время одинаково (например, tA = tB). Пусть теперь часы двигаются вместе с подвижной системой XIOItI вдоль оси OX. При этом прямая синхронизации (теперь уже OICI) будет сдвигаться параллельно прямой OC, а значит и параллельно прямой AB, а потому tIA = tIB. Из этого следует, что если в одной системе координат события A и B одновременны, то они будут одновременны и в другой системе координат.
Ввиду важности понятия одновременности остановимся на этом подробнее. Рассмотрим высказывание: пусть в момент времени t координаты точки равны x,y,z. В мире математики это высказывание есть не что иное, как определение неявной функции четырех переменных в виде F(x,y,z,t) = 0. Однако в мире физики это высказывание можно трактовать как угодно, если не сделать дополнительного соглашения (между физиками и математиками). Каково должно быть это соглашение? Оно должно быть таково, чтобы высказывания физика и математика относительно реального мира были тождественны. Это следующее соглашение: отметки на часах о времени события, а также отметки на координатных осях о положении точки должны делаться за время равное нулю (далее кратко, нуль – соглашение). Это соглашение необходимо и полезно, потому что теперь математический аппарат приобретает физический смысл. Это соглашение в неявной форме всегда присутствует в «правильных» формулах физики.
Однако сторонник теории относительности полагает, что отметки на осях координат можно делать за время равное нулю, а отметки на часах о времени события нельзя сделать за время равное нулю. Как он это узнал? Ведь материальная точка может находиться на очень большом удалении не только от часов, но и от осей координат. Эта непоследовательность (а точнее, отказ от нуль – соглашения) и привела к «релятивистскому» понятию одновременности, когда два одновременных события в одной системе координат становятся уже неодновременными в другой системе координат.
Конечно, на практике, как при измерении координат, так и при измерении времени, мы всегда используем конечные скорости распространения сигнала. Но наши формулы должны быть устроены так, чтобы они все равно приводили бы к выполнению нуль – соглашения. Если они к этому не приводят, значит – они неверны. Нам приходится об этом говорить, потому что об этом забывают.
Резюмируем сказанное. Наша точка зрения такова. Сторонники теории относительности нарушили нуль – соглашение и это привело к появлению многочисленных «парадоксов». Но это на самом деле не «парадоксы». Это настоящие противоречия, «парадоксами» мы их называем по традиции. Ни одно из этих противоречий не было и не могло быть удовлетворительно разрешено в рамках теории относительности. Многочисленные попытки разрешить эти противоречия – яркие примеры того, как нужно «правильно рассуждать неправильно». Это потому, что нельзя разрешить противоречие, выдвигаемое теорией, с помощью этой же самой теории.
1. 7. Скорость материальной точки
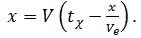
Пусть в начальный момент tχ = t = 0 материальная точка двигается из начала координат вдоль оси OX со скоростью V. Вместе с ней с этой же скоростью двигаются и часы (Ve и V одного направления). Когда точка и часы будут находиться в точке с координатой x, часы покажут время tχ. Это время состоит из двух слагаемых: 1-ое – истинное время движения точки t = x/V; 2-ое слагаемое – слагаемое переноса часов x/Ve. Таким образом:

Решая это уравнение относительно V, находим:

Эта формула отличается от обычной (классической) формулы наличием в знаменателе члена x/Ve и он появляется потому, что мы учитываем материальность часов. Для идеальных (нематериальных) часов этот член равен нулю. Заметим также, что соглашение о направлении скоростей Ve и V делает член x/Ve всегда положительным. Запишем (1. 3) с применением производных

Или

Таким образом, начиная с формул (1. 4) и (1. 5) нам следует отличать величины:


1. 8. Сложение скоростей
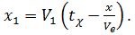
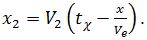
Пусть относительно системы координат O1X1 со скоростью V1 движется другая система O2X2, а относительно системы O2X2 со скоростью V2 движется материальная точка и вместе с ней с той же скоростью двигаются и часы. Какова скорость точки V относительно системы координат O1X1? В начальный момент времени tχ = t = 0 положим координаты точки, часов и второй системы координат O2X2 равными нулю, относительно первой системы O1X1.
Время, отсчитанное часами по достижению точкой координаты x (в первой системе координат), равно


Путь, пройденный за это время системой O2X2 относительно системы O1X1 равен:

Путь, пройденный за это время точкой относительно системы O2X2, равен:

Путь, пройденный за это время точкой относительно системы O1X1 равен:

Этот путь равен сумме путей x1 и x2 , то есть:
x = x1 + x2.
Из последних четырех равенств получаем:

Итак, для истинных времени и скоростей правило сложения скоростей классической механики остается в силе и никаких ограничений на величины скоростей при этом не накладывается.
С применением формулы (1. 6) нетрудно вывести аналогичную формулу и для векторов скоростей:

1. 9. Первый постулат
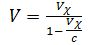
Как уже говорилось выше, для современной системы часов Ve = c. Заменим в (1. 5) Ve на c и получим:

отсюда, выразив Vχ через V и c получим:

Пусть в выражении (1. 8) скорость V неограниченно возрастает. Тогда мы получим следующий предел:

Выражение (1. 9) есть не что иное, как математическая запись 1-го постулата, именно: если скорость точки измерять по показаниям часов tχ, то измеренная таким способом скорость Vχ, никогда не превысит скорости света. При этом истинная скорость точки V может превышать скорость света на сколько угодно. Итак, 1-й постулат появился только потому, что измеряя время реальными часами, мы полагаем, что они – идеальны. При учете материальности часов и введении формул перехода от показаний часов к истинному времени, 1-й постулат теряет силу и должен быть отменен.
1. 10. Преобразования координат
При справедливости формул сложения скоростей (1. 6) и (1. 7), нетрудно сделать вывод, что уравнения классической механики, в том числе законы сохранения импульса и энергии, остаются в классической форме, и во всех формулах должно фигурировать истинное время t. То же самое относится и к производным по времени, например:

Преобразования координат есть преобразования Галилея, с добавлением формулы перехода от показаний часов к истинному времени:

1. 11. Измерение массы ядер
В качестве примера того, как путаница между скоростями Vχ и V приводит к «странным» результатам, рассмотрим измерение масс ядер в масс-спектрометрах с применением магнитного поля. Измерение основано на приравнивании центростремительной силы силе Лоренца для частицы, движущейся в магнитном поле. Это уравнение таково:

Здесь: m – масса частицы, q – её заряд, r – радиус траектории частицы, B – индукция магнитного поля, V – скорость частицы.

