
Рассуждения об основах математики

Анатолий Овчинников
Рассуждения об основах математики
1. Введение
Эта книга есть логическое продолжение рассуждений о связи математики и опыта. Начало этим рассуждениям было положено в недавно вышедшей в свет книге [1], в которой сейчас для нас наиболее важны пятая и шестая её главы. Затем появились ещё две важные по этой теме статьи [2], [3]. Все изложенное в этой книге и в этих статьях, мы будем считать известным, а потому настоятельно рекомендуется сначала ознакомиться с их содержанием. Сейчас становится целесообразным объединить всё, имеющее отношение к основам математики в одну книгу, что здесь и сделано. Заметим, что основания физики и основания математики на деле не различаются; в их основе лежат экспериментальные факты. Но физика использует математический аппарат, а поэтому различие между физикой и математикой (в их основаниях) становится практически неразличимым. В такой ситуации трудно различить: где начинается (и кончается) физика, а где начинается математика, и наоборот. Вот почему мы полагаем, что и книгу [1] и данную здесь книгу нужно рассматривать как единое целое.
Мы продолжаем здесь опровергать некоторые устойчивые заблуждения и мифы, имеющие давнее происхождение. Многие из нас интуитивно понимают, что с неевклидовыми геометриями и теорией относительности «что-то не ладно». В этой книге мы покажем, что это «что-то не ладно» возникает из-за той идеалистической позиции, которую занимают математики и физики-теоретики при изучении законов природы. Мы здесь будем говорить лишь о традиционной геометрии и математике, то есть о тех, с которых обычно начинается их изучение в средней школе. В частности, в них имеются понятия геометрической фигуры, числа, имеются знаки: <, =, >. Имеются также простейшие операции: сложение, умножение, вычитание, деление. Однако читатель, ознакомившись с изложенным здесь, легко увидит, что все сказанное в книге будет справедливо и для других разделов математики.
Кратко напомним самое важное для нас здесь из [1].
а) геометрия начинается с экспериментальных фактов, называемых иначе построениями
б) определения и аксиомы геометрии и математики есть рациональное осмысление экспериментальных фактов (построений)
в) критерием существования геометрической фигуры в реальном пространстве является аксиома существования
г) в реальном пространстве существует только одна геометрия это – евклидова геометрия.
Добавим ещё здесь, что в книге часто будут напоминаться банальные истины, но они будут чередоваться с тем, о чем мы ещё не думали. Но так бывает всегда, когда речь заходит об основах науки. Банальные истины начинают забываться в процессе длительного обучения, а потому их приходится напоминать.
Основная часть
1. Рациональное и иррациональное осмысление экспериментальных фактов
Мы не будем здесь давать строгое определение понятию рационального осмысления экспериментальных фактов (оно вряд ли возможно). Мы ограничимся здесь лишь некоторыми примерами из науки рационального и нерационального (иррационального) осмысления экспериментальных фактов.
Пример 1. Геометрия. Геометр строит фигуры: точки, прямые, окружности и так далее. Существование всех этих реальных фигур есть экспериментальный факт. Как осмысливает эти экспериментальные факты геометр? Он говорит: «Я допущу, что в реальном пространстве существуют не только те реальные фигуры, которые я построил, но и идеальные фигуры, которые я буду строить, имея также для этого идеальные инструменты. А это значит, что могут быть построены и существуют идеальные фигуры (идеальная точка, идеальная прямая, идеальная окружность и так далее)». Это – рациональное осмысление экспериментальных фактов. В самом деле. Существование идеальных фигур в реальном пространстве нисколько не меняет ни свойств самого пространства, ни свойств самих реальных фигур. Реальные и идеальные фигуры существуют в одном (общем для них) реальном пространстве, нисколько не мешая друг другу. А вот изучать свойства фигур целесообразно начинать со свойств идеальных фигур. После того, как это будет сделано, достаточно сравнить свойства реальных фигур со свойствами идеальных фигур. И что же мы увидим? Мы увидим, что свойства реальных фигур тем меньше отличаются от свойств идеальных фигур, чем точнее построена эта реальная фигура. И отличие свойств реальной фигуры от идеальной всегда может быть выражено с известной степенью точности. Во всех этих рассуждениях особо следует подчеркнуть важность материалистического подхода к изучению законов реального пространства. Началом всему являются экспериментальные факты. Не было бы этих фактов, нечего было бы и осмысливать.
Пример 2. Физика. Кинематика точки. То, что тела могут двигаться и при движении оставляют после себя те места, которые они уже покинули, это – экспериментальный факт. Как осмысливает этот экспериментальный факт физик? Он здесь подражает геометру. Он говорит: «Я допущу, что в реальном пространстве существуют материальные точки (такие же как у геометра, но наделенные массой) и траектории этих точек такие же как у геометра (идеальные линии). И посмотрю, что из этого получится». Это – рациональное осмысление экспериментальных фактов. В самом деле. Существование материальных точек и их идеальных траекторий в реальном пространстве нисколько не изменит законов природы. И точно так же, как в геометрии, реальные тела с их реальными траекториями нисколько не мешают существовать материальным точкам с их идеальными траекториями. А вот изучать свойства движущихся тел целесообразно начинать с кинематики материальной точки. Потому, что это гораздо проще. Аналогия между осмыслением экспериментальных фактов у геометра и физика здесь усматривается предельно ясно.
Пример 3. Физика. Идеальный газ. То, что газ есть собрание хаотично двигающихся молекул (газа) является экспериментальным фактом. Как осмысливает этот экспериментальный факт физик? Он говорит: «Я допущу, что существует идеальный газ, в котором молекулы заменяются материальными точками. Эти материальные точки замечают друг друга только при столкновениях, и при таких столкновениях ведут себя, как упругие шарики». Это – рациональное осмысление экспериментального факта. В самом деле. То, что в одном сосуде – реальный газ, а в другом сосуде – идеальный газ вовсе не влияет на законы природы. Законы природы будут действовать одинаково на оба этих газа. А вот изучать свойства газа целесообразно начинать со свойств идеального газа. Затем свойства реального газа всегда можно сравнить со свойствами идеального газа, и объяснить по каким причинам они различаются. Здесь также видна аналогия между осмыслением экспериментальных фактов геометром и физиком.
Пример 4. Геометрия Римана и расстояние между точками A и B. Как экспериментально определяется в геометрии расстояние между точками A и B? Строится прямая (евклидова), проходящая через точки A и B и длина отрезка этой прямой между этими точками как раз и называется расстоянием между точками A и B. Но вот Риман говорит: «Проведем через точки A и B кривую, а длину этой кривой между точками A и B будем называть расстоянием между этими самыми точками. А эту кривую будем теперь называть прямой». Это типично нерациональное (иррациональное) осмысление экспериментального факта. В самом деле. Кривых между точками A и B можно построить сколько угодно и «расстояний» между ними будет сколько угодно. А вот прямую между двумя точками можно провести одну, и только одну. И это экспериментальный факт. Если принять определение расстояния между точками, следуя Риману, то такое расстояние становится бессмысленно измерять. Нет никакого смысла пытаться измерять расстояние между двумя неподвижными точками, если мы заведомо знаем, что оно может быть каким угодно. Иррациональность в определении расстояния между двумя точками по Риману возникает потому, что Риман (и его последователи) отождествляют совершенно два различных геометрических понятия: расстояние между точками A и B и, длина кривой между точками A и B. Для них это – одно и то же. Однако ни сам Риман, ни его последователи не привели никаких объяснений тому, почему они считают эти два различных понятия одним и тем же. Более того, таких объяснений мы никогда и не получим. Почему? Потому, что наше реальное пространство устроено так, что оно принципиально запрещает смешивать два разных понятия: расстояние между точками и длину кривой между точками. Это, фундаментальное свойство нашего реального пространства подтверждается многочисленными экспериментальными фактами (построениями геометра). Риман пренебрег этими экспериментальными фактами и построил геометрию, не существующую в реальном пространстве. Пренебрежение экспериментальными фактами это – типичная позиция математика-идеалиста.
Пример 5. Физика. Теория относительности – пример иррационального осмысления экспериментальных фактов. Как показано во второй главе книги [1], введение преобразований Лоренца в физику устраняет из геометрии аксиому неизменности геометрических объектов. А это, в свою очередь, лишает физика возможности проводить какие-либо измерения. Но разве нужна кому-нибудь такая физика (без измерений)? Ведь если ничего нельзя измерить, то ничего нельзя и проверить.
Пример 6. Физика. Гипотеза расширения Вселенной – пример иррационального осмысления экспериментальных фактов. Как показано в третьей главе книги [1], введение этой гипотезы равносильно отказу от принципа относительности в физике. А тогда какую физику нам следует изучать ту, в которой этот принцип есть или ту, в которой его нет? Наверно придется изучать обе эти физики. Тогда в каждой физической задаче будет иметься два ответа: один – когда в физике есть принцип относительности, другой – когда этого принципа в физике нет. И оба эти ответа будут соединяться союзом «или», что будет означать полную неопределенность. Разве это рационально? Конечно, нет. На основании приведенных здесь примеров, мы можем с достаточной степенью точности утверждать следующее: в геометрии, математике, физике рациональное осмысление экспериментальных фактов это – то же самое, что и научное их осмысление. В этой книге мы полагаем, что рациональное и научное осмысление экспериментальных фактов это – синонимы.
2. Существуют ли априорные истины?
В этом вопросе мы будем придерживаться материалистической позиции. Что является критерием истины? Критерием истины является практика. В математике и физике под «практикой» следует понимать экспериментальную проверку любого утверждения (подтверждение истинности утверждения опытными фактами). Но в таком случае словосочетание «априорная истина» становится совершенно нелепым. В самом деле. Пусть человек высказывает некоторое утверждение. Это утверждение может родиться в голове человека (в результате работы мозга) по различным причинам. Причиной может быть «априорная» (фантастическая) идея. Причиной может быть смесь опытных и фантастических фактов. Причиной может быть суждение по аналогии. Причиной может быть догадка, где все вышеперечисленное уже имеется (и так далее). Но это всего лишь причины появления утверждения. Но нас-то интересует не причина появления утверждения, а его истинность или ложность. Причина появления данного утверждения в этой ситуации становится не актуальной. Актуальной остается проверка на истинность или ложность. А такая проверка производится экспериментально. После такой проверки утверждение становится ложным или истинным и одновременно оно становится экспериментальным (то есть вытекающим из опыта).
Таким образом, никаких «априорных» истин не существует. Всякая истина, будучи проверяемая экспериментально, автоматически становится следствием экспериментальных фактов. Нам давно уже пора расстаться с мифом об «априорных» истинах. Миф об «априорности» геометрии и математики покоится на ложном утверждении; якобы аксиомы геометрии или математики невозможно проверить экспериментально. Это типичное суждение идеалиста-математика. Он путает понятие экспериментальной проверки с понятием идеальной проверки. Идеальных проверок не бывает (это закон природы); все проверки – экспериментальны, а потому всегда выполняются с некоторой (ограниченной) степенью точности. На самом деле мы проверяем и аксиомы и теоремы геометрии и математики ежедневно огромное количество раз (например, в инженерных расчетах). Еще ни один экспериментальный факт не дал нам никаких оснований для того, чтобы изменить какие-либо аксиомы евклидовой геометрии или математики.
Здесь особо хочется отметить, многим известную, экспериментальную проверку суммы углов треугольника, проведенную Гауссом в 1821 – 1823 годах [4, 319]. Гаусс измерил сумму углов в треугольнике (длины сторон которого – несколько десятков километров) и пришел к выводу, что нет никаких оснований менять евклидову геометрию на какую-то другую. Это – типичный материалистический подход к науке (критерий истины – практика). Добавим здесь ещё, что эфемериды планет вычисляются с применением евклидовой геометрии (и никакой другой). Эти вычисления и их сравнение с фактическим положением дел также не дают нам никаких оснований заменить евклидову геометрию какой-то другой.
3. Особенности описания математическим аппаратом реальной картины мира
Как известно, математический аппарат устроен так, чтобы он обладал внутренней непротиворечивостью. Ни одно определение или формула никогда не противоречит ни одному другому определению или формуле, внутри самой математической системы. Это очень важное и полезное свойство математики. Но эта внутренняя непротиворечивость ещё не гарантирует внешней непротиворечивости по отношению к внешнему миру. Математический аппарат одинаково безупречно может описывать как то, что происходит в реальном мире, так и то, что в нем никогда не происходит. И эту особенность математического аппарата нужно обязательно учитывать. Отбор математических описаний (того, что происходит в реальном мире) делается уже не при помощи математических знаний, а экспериментально (смотри здесь предыдущий пункт). Ниже мы приводим несколько примеров того, к чему приводит пренебрежение указанной здесь особенностью математического аппарата.
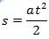
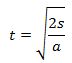
Пример 1. Прямолинейное равноускоренное движение. Пусть s – путь, проходимый точкой; a – ускорение точки; t – время движения точки. Из формулы

находим

Но мы, однако, принимаем во внимание только решение с плюсом:

Но почему? Ведь отрицательное решение вовсе не противоречит математическому аппарату. Мы отбрасываем решение с минусом потому, что здесь мы пока ещё помним о том, что математический аппарат может одинаково безупречно описывать как то, что происходит, так и то, что не происходит в реальном мире. Не существует экспериментов, где время движения точки оказалось бы отрицательным.
Пример 2. Дифференциальные уравнения. Как известно, любое дифференциальное уравнение дает бесконечное множество решений. И только некоторые из этих решений описывают то, что происходит на самом деле. Подавляющая часть этих решений не имеет никакого отношения к описанию реального положения дел. Почему нас это не удивляет? Да потому, что и здесь мы пока ещё помним, что математический аппарат безупречно может описывать как то, что происходит, так и то, что не происходит. Чтобы решение описывало то, что происходит, нужно задать «правильные», реально существующие начальные и граничные условия, а это дело можно поручить только физику. Почему? Потому, что только физик имеет дело с первоначальными, реальными измерениями физических величин, и уж он-то знает, каковы эти величины бывают на самом деле. Если, например, поручить это дело математику, то он может задать «несбыточные» начальные и граничные условия. А потому и решение дифференциального уравнения будет описывать «несбыточные» процессы. Но очень часто даже физик имеет весьма туманное представление о начальных и граничных условиях, а тогда, дифференциальное уравнение становится совершенно бесполезной вещью.
Пример 3. Производная координаты по времени и дифференциал времени. Пусть s – путь, проходимый точкой; t – время движения; v – скорость точки. Производная пути по времени (скорость) в математическом анализе выражается формулой

.
Но что означает символ

В математическом анализе это означает, что Δt стремится к нулю и слева (оставаясь меньше нуля) и справа, оставаясь больше нуля. Производная существует, если в обоих этих случаях предел один и тот же:

.
Математический аппарат обязательно требует, чтобы Δt в формуле могло быть как меньше нуля, так и больше нуля. В противном случае определение производной будет противоречиво (если пределы слева и справа – различны, то производная в данной точке не существует). А что говорят реальные опыты (эксперименты)? В реальных опытах Δt никогда не бывает меньше нуля. Время – специфическая физическая величина, её измерение связано с подсчетом числа произошедших событий (периодов часов). Ситуация когда

не имеет места, ни в каких опытах, и поэтому

не существует в природе, но существует в математическом анализе.
Таким образом, когда физик смотрит, например, на уравнение

,
то он отчетливо должен понимать, что в эту одну формулу математический аппарат совершенно безупречно вложил два решения:
1-ое, когда

и оно (и только оно) реализуется в опытах.
2-ое, когда

и оно никогда не реализуется в опытах.
Аналогичная ситуация возникает, когда мы говорим о числе произошедших событий N и их приращении ΔN. В реальности ни dt, ни dN никогда не бывают математическими дифференциалами (назовем их «полудифференциалами»). Но математик-то обязан их объявить дифференциалами потому, что этого требует непротиворечивость математического аппарата.
Таким образом, если некто смотрит на формулу

и забывает о сказанном выше, у него возникают мысли о возможности создания машины времени

Именно математический аппарат провоцирует человека (очарованного этим аппаратом) на создание машины времени. И наоборот, никакие реальные опыты не дают нам оснований говорить об обратном течении времени. В вопросе о машине времени математический аппарат сыграл «злую шутку» с естествоиспытателем. Ниже мы увидим, что такие «шутки» математический аппарат проделывает постоянно.
Пример 4. Четырехмерное пространство-время. Теория относительности имеет математически компактное изложение при введении четырехмерного пространства-времени. И это изложение будет математически безупречно. Но какое отношение все это имеет к реальному пространству? Никакого. Реальное пространство – трехмерно, а не четырехмерно, и это – экспериментальный факт. В реальном пространстве нет места для четвертой оси Эйнштейна ict (размерность которой есть длина, такая же, как и остальных осей). Геометр материалист скажет: «Господа, вы утверждаете, что существует четырехмерное пространство-время. Тогда извольте построить, упомянутые вами четыре оси в реальном пространстве. Правила построения обоснуйте и сообщите эти правила нам». Ясно, что из этого ничего не выйдет. Но почему мы забываем об этом экспериментальном факте, и всякий раз возвращаемся к воображаемому четырехмерному пространству-времени? Потому, что здесь мы как раз и забываем о том, что математический аппарат одинаково безупречно описывает как то, что происходит, так и то, что не происходит. А в теории относительности математический аппарат как раз и описывает то, что не происходит. Ни одна точка реального пространства не принадлежит воображаемому четырехмерному пространству-времени. Это различные непересекающиеся множества.
Пример 5. Неевклидовы геометрии. Нам известно несколько геометрий. Однако адекватно положение дел в реальном пространстве описывает, лишь евклидова геометрия. Чтобы убедиться в этом, достаточно применить к любой геометрии аксиому существования геометрических объектов (более подробно см. в пятой главе [1]). Почему, однако, мы не оставляем попыток применять неевклидовы геометрии к описанию процессов в реальном пространстве? Потому, что и здесь мы как раз забываем о том, что математический аппарат одинаково безупречно описывает как то, что происходит, так и то, что не происходит. Фактически неевклидовы геометрии описывают безупречно то, что происходит лишь в воображаемых пространствах, а не то, что происходит в реальном пространстве.
4. Кое-что к размышлению
Примеры 4 и 5 из предыдущего пункта дают нам богатый материал к дальнейшим размышлениям. И мы немного поговорим здесь об этом. Почему Эйнштейн и его последователи никак не хотят указать нам правила построения четырехмерной системы координат (пространства-времени) в реальном пространстве? И дело даже не в том, что таких правил не существует. Дело в том, что им даже в голову не приходит, попытаться все-таки отыскать эти правила. Почему это так? Да потому, что ни Эйнштейн, ни его последователи не считают построения геометра экспериментальными фактами. Но если построения геометра – не экспериментальные факты, то, что тогда это такое? Иллюзия? Но если это – иллюзия, то падение камня на Землю также есть иллюзия. А вслед за тем и вся физика превратится в иллюзию. Вот вам, господа, «достижения чистого разума» физика-идеалиста! Конечно же, и падение камня, и движение планет, и построения геометра, и многое другое есть экспериментальные факты. И это есть материалистическое толкование того, что происходит в мире вне субъекта (носителя мысли).
Конец ознакомительного фрагмента.
Текст предоставлен ООО «ЛитРес».
Прочитайте эту книгу целиком, купив полную легальную версию на ЛитРес.
Безопасно оплатить книгу можно банковской картой Visa, MasterCard, Maestro, со счета мобильного телефона, с платежного терминала, в салоне МТС или Связной, через PayPal, WebMoney, Яндекс.Деньги, QIWI Кошелек, бонусными картами или другим удобным Вам способом.
Приобретайте полный текст книги у нашего партнера:

