
Новый сборник статей по физике пространства. Наука будущего
Анализ многочисленных материалов о химических связях свидетельствует о том, что в их образовании доминирующую роль играют пространственная направленность и максимальное перекрытие электронных облаков взаимодействующих атомов и молекул в совокупности с воздействием на них эффективных ядерных зарядов атомов. В тоже время следует отметить, что сам механизм воздействия ядерных зарядов атомов на эти параметры до сих пор не изучен.
С позиции единства взаимодействия материи и пространства механизм воздействия ядерных зарядов атомов химических элементов на пространственную направленность и максимальное перекрытие электронных облаков взаимодействующих атомов выглядит следующим образом
В качестве примеров рассмотрим образование молекул двух разнородных атомов H2 O
Молекула воды H2 O образуется из двух разнородных атомов – одного атома кислорода и двух атомов водорода. Атом водорода имеет один валентный s-электрон, а его ядро содержит один протон, который сжимает силовые линии пространства вокруг себя с одинаковой степенью деформации во всех направлениях.
У атома кислорода во внешнем электронном находится два валентных p-электрона, а его ядро состоит из двух энергетических слоев (α и β). Второй энергетический слой, который деформирует силовые линии пространства во внешнем электронном слое и придает ему пространственную направленность, находится 6 дейтронов. Степень сжатия силовых линий пространства во внешнем электронном слое атома кислорода в значительной степени превосходит степень их сжатия протоном ядра атома водорода, поэтому при сближении атомов максимальная степень сжатия силовых линий межатомного пространства сдвигается в сторону атома кислорода (Рис 6).

Рис. 6 Схема образования молекулы воды со сдвигом максимального сближения силовых линий межатомного пространства в сторону атома кислорода
Опираясь на базовые принципы смоделированной системы можно сделать следующие выводы:
1. Ображование химических элементов происходит в результате повышения степени деформации (сжатия) силовых линий пространства в недрах звезд, обусловленной гравитационным сжатием их масс
2. Ядра химических элементов имеют слои, соответствующие периодам ПСЭ.
3. Возникновение новых ядер химических элементов, находящихся в основном (нормальном) состоянии, происходит при условии равновесия степени сжатия силовых линий окружающего ядро пространства с таковой внутри самого ядра.
4. Ядро нового химического элемента образуется путем присоединения определенного количества нуклонов к незавершенному слою ядра предыдущего элемента.
5. Присоединение дополнительных нуклонов к завершенному слою ядра формирует новый ядерный слой, вместе с ним формируется соответствующий период ПСЭ. При этом присоединяющиеся нейтроны выполняют роль «буфера», не дающего ядерным слоям слиться воедино.
6. В природе не существуют химические элементы (кроме атома легкого водорода), ядра которых бы состояли из одних протонов.
7. способность химических элементов определяет количество дейтронов, находящихся в ядерном слое, осуществляющих деформацию силовых линий пространства во внешнем валентным электронном слое и вокруг атомного пространства.
8. Наибольшей химической активностью обладают химические элементы II – го и III-го периодов. Это связано с тем, что первый ядерный слой у них плотно экранирован, а деформирующие усилия ядерных слоев, осуществляющих деформацию силовых линий во внешнем электронном слое и вокруг атомного пространства,. полностью не экранируются соответствующими электронными облаками и имеют определенную пространственную направленность.
9. При соединении химических элементов, обладающих различной степенью деформации силовых линий пространства, происходит сдвиг электронных облаков, осуществляющих это соединение, в сторону химического элемента с большей степенью деформации. Яркий пример этому структурное строение молекулы воды. Атом кислорода имеет в активном ядерном слое 6 дейтронов, деформирующих силовые линии во внешнем электронном слое и вокруг атомного пространства в определенном пространственном направлении. Атом водорода содержит один протон, который деформирует силовые линии вокруг атомного пространства с одинаковой степенью во всех направлениях. При соединении этих атомов деформирующие усилия их ядер накладываются друг на друга. В результате возникают пространства с повышенной степенью деформации силовых линий пространства В них и сдвигаются электронные облака, осуществляющие химическую связь атомов кислорода и водорода, так как электроны движутся в направлении наибольшей степени деформации.
10. Количество образующихся химических элементов в недрах звезд определяется длительностью периода нарастания степени деформации силовых линий пространства. Наибольшее распространение имеют элементы, у которых он наиболее продолжителен.
СПИСОК ЛИТЕРАТУРЫ
1. Кутолин С.А, Писиченко Г.М Общая и неорганическая химия Новосибирск – 1998. с.456.
К вопросу о проблеме закона сохранения энергии в общей теории относительности Эйнштейна
ВВЕДЕНИЕ
Одной из самых загадочных природных явлений, к которому приковано внимание ученых всего мира на протяжении многих столетий, является свойство материальных тел взаимно притягиваться друг к другу. Первым по – настоящему осознавшим, что в основе этого явления лежит масса тела, был Иссак Ньютон. Он попытался решить эту проблему, описав её математическими законами. Согласно его теории все гравитационные эффекты обусловлены силами взаимодействия материальных тел. По Ньютону масса тела обладает двояким свойством. В первом случае она инертна (mi) и представляет собой отношение негравитационной силы к ускорению, а во втором гравитационная (mg) и определяет силу притяжения тела другими телами, а также притяжение самим телом других тел Обе эти величины тождественны друг другу, хотя и получены экспериментально в ходе разных экспериментов и имеют принципиально разную физическую природу.
mi = mg
Теория гравитации Ньютона базируется на силах тяготения, которые являются дальнодействующими и распространяются мгновенно. Она получила всеобщее признание с момента опубликования и продержалась до 1905 года, когда была замена теорией относительности Эйнштейна.
Необходимость такой замены привело осознание противоречий в основных принципах классической механики – несовместимости принципа относительности закона распространения света.
Как считал Эйнштейн [5],. это связано с тем, что классическая механика опирается на неоправданные гипотезы: промежуток времени между двумя событиями не зависит от движения тела отсчета, не зависит также от него и пространственное расстояние между двумя точками твердого тела, а это означает, что время и пространство абсолютны и разделены между собой.
Противоречия классической механики Эйнштейн разрешил в разработанной им специальной теории относительности/, в основу которой положил два постулата:
– Принцип относительности Эйнштейна, который утверждает, что все физические процессы и явления в одних и тех же условиях в инерциальных системах отсчета протекают одинаково. Все эти ИСО совершенно равноправны и физические законы в них инвариантн
– Скорость света в пустоте постоянна и не зависит от движения источника или приемника света, одинакова во всех направлениях и во всех инерциальных системах отсчета. Она предельна и ни какое материальное тело или информация ни могут двигаться быстрее света.
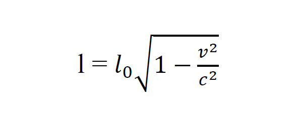
В соответствии с этими постулатами совершенно изменились представления о пространстве и времени Если в классической механике они рассматриваются как абсолютные величины, то в СТО они изменяются при переходе от одной системы отсчета к другой. Так, длина тела в движущейся системе отсчета будет несколько меньше, чем длина того же тела в покоящейся системе отсчета, по формуле

где l – длина тела в движущейся системе отсчета со скоростью v по отношению к покоящейся системе отсчета.
lo – длина тела в покоящейся системе отсчета.
Время же в движущейся системе будет, наоборот, течь медленнее, чем в покоящейся системе, по формуле:

где t – время, текущее в движущейся системе отсчета.
to – время, текущее в покоящейся системе.
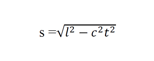
И только единое четырехмерное пространство – время обнаруживается, как абсолютная величина, которая выражается в, так называемом, пространственно-временном интервале (s), по формуле

Главным теоретическим следствием СТ О Эйнштейна является новое понимание массы и энергии физических тел и их систем. Масса в ней определяется энергией тела, а не через силу и ускорение как в механике Ньютона, по формуле:
E = mc2
В СТО также раскрывается возможность превращения энергии покоя в другие виды энергии, здесь закон сохранения массы и закон сохранения энергии объединяются в единый закон сохранения массы – энергии.
Специальная теория относительности получила широкое экспериментальное подтверждение и многие её следствия используются на практике. В настоящее время она является краеугольным камнем современной физики, занимает свою область применения. В ней не учитывается гравитационное воздействие на хотя как и всякая теория она пространство – время, поэтому ее выводы применимы для локальных участков пространства —времени, а в масштабах Вселенной они не приемлемы. Для описания Вселенной используются общая теория относительности (ОТО). – геометрическая теория гравитации,
Главное различие этих теорий заключается в том, что в СТО связаны воедино пространство и время (пространство – время), а в ОТО установлена триединая связь: пространство – время – масса.
В СТО пространство-время рассматривается плоским, имеющим нулевой тензор кривизны, а в ОТ О оно искривлено, с тензором кривизны больше нуля. В ОТ О гравитационный эффект обусловлен не силовым взаимодействием тел и полей, находящихся в пространстве – времени, а деформацией самого пространства, – времени, которая связана с присутствием в ней массы.
В настоящее время построено много альтернативных ОТО теорий, Это гравитации – теория струн, петлевая квантовая гравитация, теория мембран, которые позволяют квантовать гравитацию, но все они обладают существенным недостатками, которые не позволяют считать их физическими теориями [3].
В отличие от них ОТО завершенная физическая теория, предсказания которой подтверждены наблюдениями и экспериментами, включающие в себя гравитационное замедление времени, гравитационное красное смещение, задержание сигнала в гравитационном поле [1]. С помощью ОТО объяснены аномальная прецессия перигелия Меркурия и причины отклонения лучей света в гравитационном поле Солнца.
Несмотря на всеобщее признание и ошеломляющий успех, общая теория относительности, как и всякая физическая теория имеет свою область применения и, по мнению, многих физиков [4] имеет существенные недостатки.
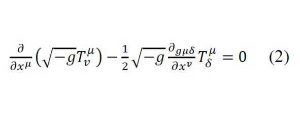
Основным из них считается нарушение главного закона физики – закона сохранения энергии. Дело в том, что, с точки зрения математической физики, в ОТО из-за неоднородности времени закон сохранения энергии является следствием уравнений Эйнштейна и может быть выражен только локально по формуле:

где точка с запятой обозначает взятие ковариантной производной.
Переход от него к глобальному закону невозможен, потому что в ОТО нет величины эквивалентной энергии, чтобы интегрировать от неё сохранялся при движении по времени Это видно, если переписать выше приведенное уравнение в следующем виде:

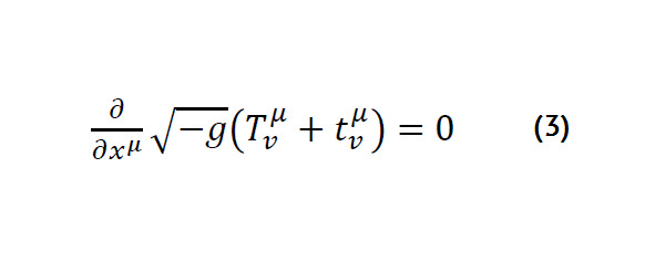
Но в искривленном пространстве, где второй член не равен нулю данное выражение не может представлять закон сохранения энергии. В тоже время ряд физиков считает [2], что в полную энергию, кроме энергии материи, можно включать и энергию гравитационного поля. Тогда соответствующий закон сохранения можно записать в следующем виде:

где Т μ υ энергия-импульс материи
tμ υ энергия-импульс гравитационного поля.
Но величина представляет собой псевдотензор и приписываемый ему отрицательный вклад гравитационного поля в общую энергию не состоятелен. На самом деле он положителен, а это лишает смысла саму идею. Некоторые физики определяют тензор энергии-импульса гравитационного поля как тензор Эйнштейнаи и она точно уравновешивает энергию – импульс материи в любом объеме, тогда их сумма тождественно равна нулю, но это утверждение не нашло всеобщего признания.
Таким образом, выше приведенный литературный обзор проблемы закона сохранения энергии в ОТО, о не разрешимости которой ещё в одной из последних работ в 1946 году писал Эйнштейн [5], несмотря на усилия многих ученых, остаётся неразрешимой до сих пор.
Для более глубокого осмысления взаимосвязи материи и пространства была смоделирована система, в основу которой были положены утверждения Эйнштейна:
– Если исчезнет материя, то исчезнет и пространство;
– Все в физическом мире держится на взаимном отталкивании и притяжении.
ПРИНЦИПЫ МОДЕЛИРОВАНИЯ
Изложены в статье «Образование химических элементов в недрах звезд-результа взаимодействия материи и пространства.
РЕЗУЛЬТАТЫ МОДЕЛИРОВАНИЯ
В соответствии с базовыми принципами смоделированной системы энергия является формой взаимосвязи материи и пространства. В всех процессах, протекающих в физическом мире, имеет место обмен энергиями между материей и пространством. При этом энергия матери (Em) переходит в энергию пространства ( – Ep) и наоборот, а их общая сумма (Es) равна нулю. В этом и заключается фундаментальность закона сохранения энергии или вернее превращение одних видов энергии в другие.
Примеры.
1. Тело с массой m движется вертикально вверх, совершая работу (А) против силы тяжести.
A = mgh
На это затрачивается сообщенная телу кинетическая энергия (Ek)

При движении тела вертикально вверх оно движется в силовых линиях пространства деформированных (сжатых) массой Земли, при этом кинетическая энергия, а это энергия материи, переходит в энергию пространства и расширяет силовые линии пространства в направлении действия сил тяжести, В результате силовые линии пространства деформируются (сжимаются) в направлении противоположном действию сил тяжести и тело движется от Земли. Как только степени деформации (сжатия) впереди и сзади тела сравниваются, а это происходит в момент полного перехода энергии материи (Ek) в энергию пространства (EP), тело начинает движение по силовым линиям пространства в обратном направлении, то есть к Земле
Em + ( – Ep) = 0
При движении тела по силовым линиям пространства по направлению к Земле также происходит сжатие их в этом направлении с выделением энергии материи, затраченной массой Земли на их сжатие. В результате энергия пространства переходит в энергию материи и тело приобретает кинетическую (механическую) энергию движения к центру Земли. В следствие того, что степень деформации (сжатия) силовых линий пространства увеличивается по мере приближения к Земле, возрастает и величина выделяющейся энергии. В результате тело движется с ускорением.
В процессе фотосинтеза энергия света (E) переходит в энергию пространства (E). При этом 70% её затрачивается на образование сложных молекул органических веществ (глюкоза) из молекул простых неорганических веществ (вода, углекислый газ), а 30% её запасается в химических связях молекул органических веществ (Рис.1).
Конец ознакомительного фрагмента.
Текст предоставлен ООО «ЛитРес».
Прочитайте эту книгу целиком, купив полную легальную версию на ЛитРес.
Безопасно оплатить книгу можно банковской картой Visa, MasterCard, Maestro, со счета мобильного телефона, с платежного терминала, в салоне МТС или Связной, через PayPal, WebMoney, Яндекс.Деньги, QIWI Кошелек, бонусными картами или другим удобным Вам способом.
Приобретайте полный текст книги у нашего партнера:

