
Биология для тех, кто хочет понять и простить самку богомола
В 1855 году другой немецкий ученый – Рудольф Вирхов дополнил клеточную теорию четвертым и очень важным положением, согласно которому всякая клетка происходит от другой клетки. В наше время к четырем положениям добавили еще несколько, наиболее важное из которых устанавливает единое происхождение всего живого на основании клеточного строения всех живых организмов.
Надо особо оговорить, что клетка представляет собой не только элементарную структурную и функциональную единицу строения всего живого, но и определенный (начальный) этап эволюции, ведь именно с клетки началась жизнь на нашей планеты. Самые далекие наши предки были одноклеточными.

Схема строения животной клетки
У любой клетки, растительной или животной, непременно должны быть оболочка, ядерное вещество, содержащее генетическую информацию, и полужидкая цитоплазма, внутренняя среда клетки, в которой расположены органоиды или органеллы – специализированные клеточные структуры, выполняющие определенные функции, а также включения различных веществ – кристаллы солей, капельки жира, зерна крахмала.
Ядерное вещество может быть оформленным в ядро со своей оболочкой или неоформленным, свободно «плавающим» в цитоплазме. Клетки подразделяются на прокариотов, не имеющих оформленного ядра и обладающих относительно простым строением, и эукариотов, имеющих оформленное ядро и более сложное строение. В эволюционном отношении прокариоты считаются более древними, чем эукариоты. Чем проще строение организма, тем он древнее – это общее эволюционное правило.
Содержимое клетки – цитоплазму и ядро – называют протоплазмой. Протоплазма окружена оболочкой, которую называют поверхностным комплексом клетки.
Клеточная мембрана, ограничивает содержимое клетки и отделяет клетку от внешней среды. Но не надо думать, что на этом функции клеточной мембраны исчерпываются.
Во-первых, это «умная» оболочка, которая пропускает в клетку нужные вещества и не пропускает ненужные и вредные. По-научному это явление называется избирательной проницаемостью.
Во-вторых, мембраны связывают клетки друг с другом.
В-третьих, на мембранах находятся рецепторы – белковые молекулы, способные связываться с молекулами определенных веществ. Связываясь с рецепторами, эти вещества оказывают на клетку определенное воздействие. Существуют особые рецепторы, называемые маркерами. Они представляют собой нечто вроде «паспорта» клетки, то есть служат для распознавания, для отделения своих клеток от чужих. Таким распознаванием занимаются клетки иммунной системы, борющиеся с чужаками, внедрившимися в организм. Но иногда в работе системы «свой-чужой» происходит сбой и тогда иммунные клетки принимают клетки организма за чужеродные и начинают с ними бороться, что приводит к развитию аутоимунных заболеваний («аутоиммунный» можно перевести как «самоиммунный»).
В-четвертых, посредством перераспределения ионов[5] калия и натрия в клеточной мембране может вырабатываться электричество, может изменяться электрический потенциал поверхности клетки.
А еще клеточная мембрана участвует в процессах фагоцитоза, пиноцитоза и экзоцитоза. Фагоцитоз представляет собой поглощение целых клеток или крупных частиц, а пиноцитоз – поглощение капель жидкости. Суть обоих процессов едина – поглощаемые вещества окружаются впячивающейся клеточной мембраной с образованием полости, которая затем перемещается вглубь цитоплазмы.

Фаго и пиноцитоз
Экзоцитоз – это процесс выведения ненужных веществ за пределы клетки, обратный фагоцитозу и пиноцитозу.

Экзоцитоз
У клеток-прокариот, не имеющих оформленного ядра, клеточная мембрана является единственной мембраной, а у «ядерных» эукариот свои «персональные» мембраны также имеют клеточное ядро и органеллы.
Помните ли вы из курса химии, что такое жиры, что такое липиды и что такое фосфолипиды? Жиры – это органические вещества, образующиеся при взаимодействии трехатомного спирта глицерина и карбоновых кислот, также называемых жирными кислотами. Липиды – это более широкое понятие, включающее в себя жиры и жироподобные вещества. Молекулы большинства жироподобных веществ состоят из остатков спиртов (но не глицерина) и жирных кислот. Но есть среди жироподобных веществ и такие, в молекулах которых остатков жирных кислот нет. Тем не менее, эти вещества способны растворяться в жирах и потому относятся к липидам. А фосфолипидами называются липиды, молекулы которых содержат остатки фосфорной кислоты.

Молекулу фосфолипида можно представить в виде головки, образованной остатками спирта и фосфорной кислоты, двух «хвостов» из остатков жирных кислот. «Головка» обладает гидрофильностью («любовью к воде»), она способна взаимодействовать с молекулами воды. Речь идет не о вступлениях в химические реакции, а о взаимодействии на молекулярном уровне – молекулы воды могут тесно сближаться с гидрофильными «головками».
«Хвосты», образованные остатками жирных кислот, с молекулами воды сближаться неспособны или же, если точнее, способны в очень малой степени. Такое свойство называют гидрофобностью («боязнью воды»).
Клеточная мембрана состоит из двух фосфолипидных слоев. Гидрофильные «головки» обеих слоев обращены наружу и соприкасаются с водными растворами – межклеточной жидкостью и цитоплазмой, а гидрофобные хвосты обращены внутрь и словно бы связывают оба слоя. Жесткость мембране придает содержащийся в ней холестерин, который тоже является липидом.
Через двойной слой фосфолипидов в клетку самостоятельно, без посторонней помощи, могут проникать только жирорастворимые вещества – жиры или, к примеру, спирты. Вода и все водорастворимые вещества, в том числе и любые ионы, сами по себе проходить через мембрану не могут, для них нужны специальные транспортные каналы. Такие каналы образуются белковыми молекулами, находящимися в толще клеточной мембраны. В оболочках, которые образованы фосфолипидами, без белков канала не устроить – простое отверстие тут же затянется подобно тому, как затянется отверстие сделанное в пленке жира на поверхности воды. Белковые молекулы могут образовывать пору или канал для прохождения водорастворимых веществ, а могут заниматься активным транспортом – захватывать нужные молекулы на одной стороне мембраны и переносить к другой стороне. Молекулы-транспортники пронизывают всю толщу клеточной мембраны, выходя обеими своими концами наружу, а вот у молекул, выполняющих рецепторную функцию, наружу выходит только один конец, а другой погружен в толщу мембраны. Эти молекулы воспринимают химические раздражения извне и передают их в виде определенных сигналов другим рецепторам (белковым молекулам), которые находятся внутри клетки. Молекулы белков-маркеров в толщу мембраны совсем не погружены, они находятся на ее наружной поверхности, которая дополнительно укреплена углеводами, а также соединениями углеводов с белками и липидами.
Сразу же под клеточной мембраной расположены белковые волокна, которые служат чем-то вроде мышц. Сокращения этих волокон вызывают движения мембраны.
После знакомства с клеточной мембраной так и хочется считать ее главным «органом» клетки. А как же иначе? Ведь это и защитный барьер, и умный фильтр, и «инструмент» для питания, и восприниматель внешних раздражений… и прочая, и прочая, и прочая. Роль мембраны трудно переоценить, но все же главным компонентом любой клетки является хранилище наследственной информации, которая «записана» в молекулах нуклеиновых кислот, получивших свое название от латинского слова «нуклеус» – ядро. Молекулы нуклеиновых кислот могут содержать остатки одного из двух сахаров – рибозы или дезоксирибозы. Разница между двумя сахарами небольшая – всего в один атом кислорода. «Дезокси-» переводится с латыни как «отсутствие атома кислорода», то есть дезоксирибоза – это рибоза без одного атома кислорода. От названия сахарного остатка образуются названия кислот – дезоксирибонуклеиновая (ДНК) и рибонуклеиновая (РНК). С химической точки зрения разница между ДНК и РНК заключается в наличии или отсутствии одного атома кислорода в сахарном остатке. Не такая уж и большая разница, верно? Но с генетической точки зрения разница между ДНК и РНК огромна. Молекула ДНК – хранитель наследственной информации и организатор ее передачи по назначению. Да – и организатор тоже, поскольку именно в молекуле ДНК записан процесс считывания закодированной в ней информации. А молекула РНК играет вспомогательную роль – служат матрицами для синтеза белков, входят в состав ряда ферментов или сами по себе проявляют ферментативную активность, занимаются транспортом белков внутри клетки, а многих вирусов РНК играет роль ДНК, то есть является хранителем наследственной информации.[6]
Молекулы ДНК и РНК состоят из повторяющихся блоков, которые называются нуклеотидами. Четыре вида нуклеотидов (а именно столько их в молекуле ДНК и РНК) – это «буквы», которыми записывается наследственная информация. Комбинация из четырех элементов дает десять тысяч вариантов, вдобавок эти четырехэлементные комбинации комбинируются друг с другом в различных сочетаниях, что дает количество вариантов.
Молекула ДНК не просто огромная, она гигантская, число атомов в ней, как уже было сказано выше, может доходить до десяти миллиардов. Природа стремится к компактности, поэтому гигантская молекула ДНК состоит не из одной, а из двух нуклеотидных цепочек, которые закручены вокруг своей оси в спираль, образуя что-то вроде двойной пружины.
Структуры, хранящие наследственную информацию, называются хромосомами. Такое название обусловлено способностью связывать красители, используемые при приготовлении микроскопических препаратов, «Хромосома» в переводе с греческого означает «окрашенное тело».
Каждая хромосома представляет собой одну молекулу ДНК. Хромосомы, имеющие вид длинных тонких нитей, собираясь вместе, образуют ядро клетки.
Полный набор хромосом, он же диплоидный набор – это набор хромосом, присущий соматическим (не половым) клеткам. В диплоидном наборе все характерные для данного биологического вида хромосомы представлены попарно. В ядрах гамет (половых клеток) хромосом содержится вдвое меньше, чем в соматических клетках – по одной из пары. Такой набор хромосом называется одинарным или гаплоидным. Соединяясь вместе, две половые клетки (мужская и женская), образуют одну клетку с полным набором хромосом. Из этой клетки развивается новый организм. Поскольку половина хромосом получена ребенком от отца, а половина от матери, ребенок наследует признаки обоих родителей.
Запомните, пожалуйста, секретный шифр биологов. Гаплоидный набор обозначается буквой n, а диплоидный – 2n. Каждый вид в норме[7] имеет строго определенное и постоянное число хромосом, которые могут различаться по размерам и форме. Число хромосом и их морфологические особенности являются характерным признаком биологического вида.
От цитоплазмы ядро отделяет ядерная оболочка, состоящая из двух фосфолипидных мембран, и в целом похожая на клеточную мембрану. Внутри ядра находится ядерный матрикс – каркасная система, служащая объединяющей основой для хромосом и, в то же время, обособляющая их друг от друга. Матрикс делает ядро похожим на шкаф, где каждый предмет лежит на своем месте, в своей ячейке.
Выгодно ли клетке иметь ядро?
Однозначно выгодно. Упаковка в ядерный матрикс, да еще и окруженный оболочкой, защищает молекулы ДНК от случайного повреждения. Ядерные клетки делятся более сложным образом, нежели безъядерные. В результате этого сложного деления, о котором мы поговорим немного позже, каждая дочерняя клетка получает строго полный набор хромосом, без излишков и недостач. Кроме того, наличие ядра делает возможным деление с образованием половых клеток, имеющих половинное число хромосом. Без ядра половое размножение невозможно, а это очень выгодное с точки зрения эволюции качество.
Помимо хроматина в клеточном ядре содержатся ядрышки – небольшие образования, не имеющие собственной оболочки. В ядрышках синтезируются органеллы, которые называются рибосомами.
Рибосомы – это сферические образования, не имеющие своей отдельной мембраны. По сути рибосомы являются скоплением молекул РНК, синтезирующих белки из аминокислот, в соответствии с информацией, записанной в РНК-матрице. Молекула ДНК – слишком громоздкая матрица, гораздо удобнее для синтеза белковых молекул маленькие матрицы РНК и это удобство оправдывает затраты на их изготовление на основании той информации, что записана в молекуле РНК. К тому же матрица-ДНК в клетке всего одна, а РНК-копий можно изготовить сколько угодно, в результате чего синтез белков будет более интенсивным. Рибосомы присутствует во всех без исключения клетках, они есть и у эукариот, и у прокариот. Количество рибосом в клетке может достигать десятков миллионов. Иначе и быть не может, ведь живой клетке постоянно нужны белки.

Строение клеточного ядра: 1 – наружная ядерная мембрана; 2 – внутренняя ядерная мембрана; 3 – рибосомы; 4 – хроматин; 5 – ядрышко; 6 – кариоплазма; 7 – ядерная пора

Рибосома
А в чем еще постоянно нуждается живая клетка?
Конечно же в энергии, которая вырабатывается в митохондриях – энергетических станциях клетки. В клетке содержится около 2 000 митохондрий, совокупный объем которых составляет до четверти от общего объема клетки! Митохондрии имеют сферическую или эллипсоидную форму. Мембран у них две – гладкая внешняя и складчатая внутренняя, которая образует множество поперечных перегородок, называемых «кристами». Митохондрии способны размножаться путем деления.

Строение митохондрии
В митохондриях подвергаются окислению органические вещества, поступившие в клетку извне. В ходе этого процесса образуются клеточные аккумуляторы – молекулы аденозинтрифосфорной кислоты (АТФ), способные накапливать энергию.
Аденозинтрифосфорная кислота – универсальный аккумулятор. Она содержится во всех клетках растений и животных. Количество АТФ в среднем составляет 0,04 % от массы клетки. Наибольшее количество АТФ – до 0,5 % содержится в скелетных мышцах, которые активно работают и нуждаются в больших количествах энергии.
Давайте рассмотрим «схему» нашего аккумулятора.
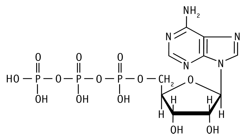
АТФ состоит из остатков азотистого основания аденина, моносахарида рибозы и трех остатков фосфорных кислот. С химической точки зрения, если кому интересно, она представляет собой рибонуклеозидтрифосфат. Но, согласитесь, что АТФ звучит, выговаривается и запоминается проще. К слову будь сказано, что химики свои мудреные названия никогда не запоминают, потому что в химии все названия даются не с помощью фантазии (например, как названия видов в биологии), а по строгим законам. Химики читают название по формуле и могут написать формулу по названию.

Структурная формула молекулы АТФ
Энергия высвобождается при гидролизе[8] АТФ, когда от молекулы последовательно отщепляются остатки фосфорной кислоты (на формуле они видны слева). При отщеплении концевого остатка фосфорной кислоты АТФ переходит в аденозиндифосфорную кислоту (АДФ), при отщеплении второго остатка фосфорной кислоты – в аденозинмонофосфорную кислоту (АМФ).[9]

Формула АДФ

Формула АМФ
Выход свободной энергии при отщеплении концевого и второго остатков фосфорной кислоты составляет по 30,6 кДж. А вот отщепление третьей фосфатной группы сопровождается выделением только 13,8 кДж. Если вы захотите узнать, сколько это будет в килокалориях, то умножайте количество килоджоулей на 0,24, поскольку в 1 килоджоуле 0,24 килокалории.
Запасы АТФ постоянно пополняются. В клетках всех организмов синтез АТФ происходит в процессе фосфорилирования – присоединения фосфорной кислоты к АДФ. Фосфорилирование, как вы понимаете, сопровождается поглощением энергии.
АТФ является основным связующим звеном между процессами, сопровождающимися выделением и накоплением энергии, и процессами, протекающими с затратами энергии. АТФ – одно из наиболее часто обновляемых веществ в организме. Например, у человека продолжительность жизни одной молекулы АТФ составляет меньше минуты. Наш организм синтезирует около 40 килограмм АТФ ежесуточно, но в каждый конкретный момент в нем содержится около 250 грамм АТФ. Запаса АТФ в организме практически не создается (он всего лишь пятиминутный), поэтому для нормальной жизнедеятельности необходимо постоянно синтезировать новые молекулы этого вещества. Именно поэтому нам приходится принимать пищу 3-4 раза в сутки.
Может возникнуть вопрос – зачем нужна вся эта круговерть? Только-только синтезируется АТФ и тут же распадается. Не успеешь создать запас, как его уже нет (на ум сразу же приходят Винни-Пух и его горшочек меда). Может, природе стоило бы как-нибудь упорядочить это дело, чтобы в сутки вырабатывать хотя бы 5 кг АТФ вместо 40?
Дело в том, что АТФ – это не форма запаса энергии. Наш организм, как и другие организмы, откладывает энергию про запас в виде жиров и гликогена, полисахарида, образованного остатками глюкозы. АТФ – это не столько средство запаса энергии, сколько средство ее транспортировки из одной точки в другую, от места высвобождения и связывания к месту использования.
Но довольно с нас химии, пора возвращаться в мир биологии, к строению клетки.
Как по-вашему, если митохондрии способны размножаться самостоятельно, посредством деления, то чем они для этого должны обладать?
Конечно же собственной ДНК или РНК, ведь размножение должно идти по плану, записанному в митохондриальных анналах. Молекулы митохондриальной ДНК относительно невелики, например, в митохондриальной ДНК человека содержится 37 генов, а не сотни-тысячи, как в ядерной ДНК. Но митохондриям этого достаточно. РНК в митохондриях тоже содержится, но все виды митохондриальной РНК являются вспомогательными. Основной носитель наследственной информации – ДНК.
Митохондриальная ДНК наследуется только по материнской линии, поскольку отцовские митохондрии потомству передаваться не могут. У сперматозоида всего одна задача – доставка отцовской ядерной ДНК к яйцеклетке матери. С одной стороны, яйцеклетке кроме ДНК от отца больше ничего не нужно, все остальное у нее есть, а с другой стороны сперматозоид должен иметь как можно меньшую массу, потому что скорость передвижения обратно пропорциональна массе. В сравнении с яйцеклеткой сперматозоиды выглядят лилипутами. Их строение предельно просто – маленькая головка, в которой находится ядро и немного цитоплазмы с митохондриями, короткая шейка, где митохондрий довольно много, и длинный хвост-двигатель. Митохондрии, содержащиеся в шейке нужны для того, чтобы обеспечивать хвост энергией. Во время оплодотворения шейка сперматозоида и хвост остаются снаружи, в яйцеклетку проникает лишь головка. Организм, развившийся из оплодотворенной яйцеклетки, получает митохондрии и митохондриальную ДНК только от матери. То небольшое количество митохондрий, которое попадает в яйцеклетку вместе с цитоплазмой головки (вместе с ядром), на новом месте не приживается – отцовские митохондрии в яйцеклетке гибнут.

Строение сперматазоида
Но очень-очень-очень редко (достоверно подтвержден только один такой случай)[10] часть отцовских митохондрий каким-то чудом ухитряется выжить и тогда у потомка присутствуют и материнская, и отцовская митохондриальная ДНК.
Не удивляйтесь тому, что вместе с ядром в головке сперматозоида есть цитоплазма. Без нее никак нельзя обойтись. Цитоплазма является обязательной составляющей любой клетки. В цитоплазме происходят основные процессы обмена веществ и энергии, здесь сосредоточены питательные вещества – капли жира, зерна крахмала, кристаллы солей, гранулы гликогена, здесь находятся ядро, митохондрии и другие органеллы. Важно понимать, что цитоплазма не просто внутренняя среда клетки, а упорядоченно функционирующая система, которая объединяет мембрану, ядро и органеллы в целостную живую клетку. Цитоплазма способна к воспроизведению и восстановлению своего состава.
Основное вещество цитоплазмы, называемое гиалоплазмой,[11] представляет собой бесцветную коллоидную среду, состоящую из воды, молекул органических веществ и ионов. Гиалоплазма создает необходимую среду для протекания биохимических реакций, хранит клеточные запасы, участвует в поддержании постоянства внутреннего состава клетки и в транспорте веществ. Гиалоплазма эукариотических клеток пронизана многочисленными белковыми микротрубочками и волокнами, совокупность которых составляет клеточный скелет – цитоскелет. Цитоскелет обеспечивает пространственную организацию цитоплазмы, определяет распределение органоидов в клетке, способствует осуществлению всех типов клеточного движения, а также принимает участие в регуляции обмена веществ.

Цитоскелет
В эукариотической клетке имеется «сортировочно-складской центр», называющийся комплексом или аппаратом Гольджи в честь итальянского ученого Камилло Гольджи, открывшего этот клеточный орган в 1898 году. Аппарат Гольджи представляет собой систему цистерн и пузырьков, в которых накапливаются вещества, синтезированные в клетке. Здесь они сортируются, некоторые из них изменяются, нужные остаются, а ненужные выводятся за пределы клетки.

Аппарат Гольджи
Также в аппарате Гольджи образуются лизосомы – мембранные пузырьки, в которых содержатся ферменты, разлагающие поступившие извне крупные молекулы на более простые. По сути лизосомы занимаются перевариванием пищи.

Структура лизосомы
Очень важной органеллой эукариотической является клеточный центр, образованный двумя центриолями – цилиндрическими образованиями, состоящие из девяти пучков микроскопических трубочек и расположенными под прямым углом друг к другу. Центриоли принимают участие в делении клетки. Они расходятся в разные стороны, к противоположным полюсам клетки и образуют веретено деления – динамичную структуру, обеспечивающую равное разделение хромосом между двумя дочерними клетками.

Центриоли
Шероховатая эндоплазматическая сеть или эндоплазматический ретикулум – это сложное сплетение каналов и полостей, своеобразная транспортная система клетки. На наружной поверхности шероховатой эндоплазматической сети располагаются рибосомы.

Образование веретена деления

Эндоплазматическая сеть
ГЛАДКАЯ ЭНДОПЛАЗМАТИЧЕСКАЯ СЕТЬ принимает участие в синтезе липидов и углеводов, а также образует вакуоли – наполненные газом или жидкостью полости. В животных клетках вакуоли занимают не более 5 % от общего объема клетки, а в растительных клетках могут занимать до 90 %. Если в растительных клетках чаще всего бывает одна крупная расположенная в центре вакуоль, то в животных клетках несколько мелких вакуолей располагаются на периферии. Вакуоли выполняют различные функции – подобно лизосомам разлагают сложные молекулы на простые, накапливают нужные вещества и участвуют в их выведении за пределы клетки и т. д.
Продолжение оболочки клеточного ядра образует разветвленную сеть трубочек и карманов, которая называется эндоплазматическим ретикулумом (это переводится как «внутриплазматическая сеть»). Главной задачей ретикулума является обеспечение активного транспорта веществ внутри клетки. Кроме того, ретикулум участвует в различных процессах клеточного обмена. Часть ретикулума, покрытая рибосомами, называется шероховатым ретикулумом, а та часть, на которой рибосом нет – гладкой.
Эукариотическая клетка – довольно сложная структура. Безъядерные клетки устроены проще, но в сравнении с вирусами даже они выглядят весьма представительно, ибо вирусы устроены предельно просто. От клеточных организмов вирусы отличаются полным отсутствием обмена веществ и энергии, а также отсутствием клеточной структуры и аппарата синтеза белка. Вирусы – это молекулы ДНК (небольшие) или РНК, заключенные в защитную белковую оболочку, называемую капсидом. Ничего лишнего – только матрица для образования новых вирусов. При такой простоте вирусы самостоятельно размножаться не могут. Они внедряются в клетку и используют ее ресурсы для размножения. Посредством своей нуклеиновой кислоты вирус программирует структуры клетки-хозяина на синтез своего вирусного материала – нуклеиновой кислоты и белков капсида – из клеточных веществ с использованием клеточной энергии. Можно сказать, что вирус подчиняет себе клетку. Паразитируя в клетках, вирусы нарушают их нормальную жизнедеятельность, вызывая различные болезни. Вирусы способны поражать все живое – животных, растения, одноклеточные организмы.

