
Невидимая стоимость. Как правильно оценить компанию, чтобы заработать на ее акциях

Асват Дамодаран
Невидимая стоимость: как правильно оценить компанию, чтобы заработать на ее акциях
ASWATH DAMODARAN

THE LITTLE BOOK OF VALUATION
How to Value a Company, Pick a Stock and Profit
The Little Book of Valuation: How to Value a Company, Pick a Stock and Profit Copyright © 2011 by Aswath Damodaran. All Rights Reserved. This translation published under license with the original publisher John Wiley & Sons, Inc.

© Чернова М., перевод, 2023
© Оформление. ООО «Издательство «Эксмо», 2023
Предисловие авторов перевода
Мы постарались сделать что-то полезное и интересное для вас, переводя книгу на русский язык.
Почему стоит почитать ее?
Она написана одним из самых авторитетных в мире экономистом в сфере оценки стоимости бизнеса и ценных бумаг.
В ней простым языком рассказывается о непростом деле оценки и подводных камнях, встречающихся на этом пути.
Излагаемые в ней подходы к оценке выдержали проверку временем, и сегодня остаются столь же актуальными, как и были 10 лет назад, при ее публикации в издательстве John Wiley & Sons. В условиях регулярно надувающихся пузырей цен финансовых активов, рассеивания иллюзий на рынках мем-акций и криптовалют, возможно, стоит вернуться к классике и разобраться с тем, отчего же на самом деле зависит стоимость активов. И как это можно оценить.
Книга поможет вам понять, что оценка бизнеса и стоимости ценных бумаг на основе фундаментальных характеристик компаний приносит практическую пользу тем, кто занимается инвестициями. К тому же вы сэкономите массу своего времени, читая эту компактную по размеру книгу, написанную мастером своего дела, вместо объемных и часто противоречащих друг другу учебников и словарей.
Перевод книги сделан авторами, преподающими дисциплину «Теория финансов» в одном из крупнейших российских вузов, активно применяющими идеи Асвата Дамодарана в собственных лекциях и эмпирических исследованиях и знающими им цену.
Приятного вам чтения.
Александр Абрамов
Мария Чернова
Предисловие
Порой нам кажется, что фондовые биржи предоставляют чудесные услуги. Они позволяют обменять деньги, которые вам не нужны сейчас, на долю в будущих денежных потоках компании, чья стоимость должна расти со временем. Вы можете отказаться от трат сегодня, чтобы потреблять больше в будущем. Это работает и в обратном направлении. Можно продать акции компании, обменяв будущий потенциал на деньги сегодня. Оценка – механизм, лежащий в основе этой чудесной способности обменивать наличные на права собственности. Если хотите инвестировать вдумчиво, вы должны научиться оценивать.
Как студент и специалист, использующий методы оценки на протяжении всей карьеры, я могу без колебаний сказать, что Асват Дамодаран – лучший учитель в этой области, с каким я сталкивался. Я посещал его лекции, сверялся с его книгами, корпел над его бумагами и просматривал его веб-сайт. Он сочетает глубину информации с ясностью и практичностью. Он хорошо знаком с принципами и подробнейшими деталями процесса оценки и объясняет их полезным и доступным способом. Если хотите узнать о методах оценки от мастера, то книга, которую вы держите в руках, лучший выбор.
Может, она и невелика, но в ней много смысла. Вы начнете изучать основы дисконтированного денежного потока и быстро перейдете к мультипликаторам оценки. Профессор Дамодаран также формирует правильное мышление: показывает, что оценки предвзяты и неверны, что чем проще, тем лучше, и подчеркивает разницу между внутренним и относительным подходами. Его обсуждение плюсов и минусов популярных мультипликаторов оценки особенно полезно.
Сложно оценить компанию на разных этапах ее жизни. Например, как понять, что привлекательнее: впервые вышедшие на рынок акции фирмы, которая может похвастаться новейшими технологиями, или стабильные производители потребительских товаров? В этой книге профессор Дамодаран помогает разобраться с вопросами оценки на разных этапах жизненного цикла компаний, а также приводит яркие и актуальные примеры, которые помогают закрепить материал.
Последний раздел книги поможет справиться с некоторыми особыми ситуациями. Например, сложно оценить сырьевую компанию, цена продукции которой растет и падает, как на американских горках. Это же верно и для компании, вкладывающей деньги в исследования и разработки, не принося взамен ничего осязаемого. Это лишь некоторые проблемы, с какими вы можете столкнуться на практике, но они также одни из самых сложных.
Не откладывайте книгу, пока не прочтете и не усвоите «10 правил оценки стоимости» в заключении. Они эффективно сочетают хорошую теорию с практикой и помогут вам справиться с неопределенностью.
Оценка – основа экономической деятельности в условиях свободной экономики. Как следствие, практическое знание широких концепций оценки и ее тонкостей очень полезно. Асват Дамодаран сделал для воплощения этих идей в жизнь больше, чем любой из моих знакомых. Я надеюсь, что вам понравится эта книга, и вы извлечете из нее пользу.
Майкл Дж. Мобуссен[1]
Введение
Знаете ли вы, сколько стоит акция Google или Apple? Как насчет квартиры или дома, который вы только что купили? Должно ли это быть важным для вас? Знание стоимости акций, облигаций или недвижимости может и не быть обязательным условием успешного инвестирования, но оно помогает принимать более обоснованные решения.
Большинство инвесторов считают оценку актива слишком сложной и запутанной задачей. Часто они оставляют ее профессионалам (аналитикам фондового рынка) или полностью игнорируют. Я уверен, что оценка по своей сути проста, и любой, кто готов потратить время на сбор и анализ информации, может ее провести. Основные способы вы найдете в этой книге.
Я постараюсь избавить процесс оценки от мистики и показать методы, чтобы вы смогли взглянуть на выводы аналитиков и решить, полезны ли они вам. Хотя модели оценки включают множество параметров, стоимость любой компании зависит от нескольких ключевых факторов (драйверов), набор которых зависит от ее типа. В поисках драйверов стоимости я рассмотрю не только весь жизненный цикл от молодых растущих фирм (на примере Under Armour) до зрелых компаний (Hormel Foods), но и различные отрасли – от сырьевых (ExxonMobil) до финансовых (Wells Fargo) и фармацевтических компаний (Amgen).
Понимая драйверы стоимости фирм, вы сможете распознать, какие акции потенциально выгодны для инвестиций.
Я рассчитываю, что к концу книги вы сможете оценить стоимость любой компании, в покупке акций которой вы заинтересованы, и станете информированным и успешным инвестором.
Не у всех из вас будет время или желание оценивать компании. Но если решите попробовать, эта книга даст вам необходимые инструменты или, в ином случае, несколько простых подсказок.
На веб-сайте, посвященном книге, вы можете просмотреть описанные модели оценки и поиграть с цифрами[2].
Часть I
Основы оценки
Глава 1
Стоимость – это больше, чем просто цифра!
Основные принципы
Оскар Уайльд определил циника как человека, который «всему знает цену и ничего не ценит». То же самое можно сказать о многих инвесторах: они рассматривают инвестирование как игру, где победа означает быть впереди остальных.
Постулат разумного инвестирования в том, что инвестор не платит за актив больше, чем тот стоит.
Если вы принимаете это утверждение, то должны, по крайней мере, попытаться оценить стоимость покупки до совершения сделки. Некоторые утверждают, что стоимость зависит от восприятия, и любая цена оправдана, если другие инвесторы считают ее справедливой. Это откровенный абсурд. Восприятие бывает единственным, что имеет значение, когда речь идет о картине или скульптуре, но вы покупаете финансовые активы за те денежные потоки, которые ожидаете получить. Цена акции не может быть оправдана только тем, что другие инвесторы готовы заплатить больше. Это равносильно азартной игре в музыкальный стул[3] с высокими ставками, и возникает вопрос: с чем вы останетесь, когда музыка остановится?
Два подхода к оценке
Существуют десятки моделей оценки активов, но только два принципиальных подхода: внутренний и относительный. Для расчета внутренней стоимости актива начнем с простого предположения: она определяется денежными потоками, которые, как вы ожидаете, актив будет генерировать все время своего существования, и тем, насколько вы не уверены в этих денежных потоках. Активы с высокими и стабильными денежными потоками должны стоить больше, чем активы с низкими и изменчивыми потоками. Так, больше стоит та недвижимость, в которой долгосрочные арендаторы платят высокую ренту, чем недвижимость с меньшим доходом от аренды и с непредсказуемыми периодами простоя.
Хотя основное внимание в принципе следует уделять внутренней оценке, большинство активов оцениваются на относительной основе. При этом подходе стоимость зависит от рыночных цен на аналогичные активы. Например, определяя, сколько платить за дом, вы должны посмотреть, по какой цене продаются подобные дома по соседству. В случае с акциями это означает сравнение их цен с акциями таких же или схожих компаний. Таким образом, разумно покупать акции ExxonMobil, если они торгуются по цене, превышающей прибыль в 8 раз, в то время как другие нефтяные компании торгуются по цене, превышающей прибыль в 12 раз.
Хотя у каждого подхода есть сторонники и критики, существует некая золотая середина.
Внутренняя оценка дает лучшую картину того, что влияет на стоимость бизнеса или акций, но иногда относительный подход приводит к более реалистичной стоимости.
Нет причин пользоваться лишь одним из них, ничто не мешает применять оба подхода к одним и тем же инвестициям. По правде говоря, вы повышаете свои шансы на успех, инвестируя в акции, которые недооценены не только на внутренней, но и относительной основе.
Почему это важно?
Инвесторы приходят на рынок с широким спектром инвестиционных философий. Некоторые, их называют маркет-таймерами, стремятся успеть купить до подъема рынка, в то время как другие, сток-пикеры, верят в выбор акций на основе потенциала роста их цен и прибыли компаний в будущем[4].
Одни тщательно изучают графики цен и причисляют себя к специалистам технического анализа. Другие рассчитывают финансовые коэффициенты и делают ставку на фундаментальный анализ, изучая текущие и потенциальные денежные потоки компании и на их основе оценивая стоимость. Одни инвестируют ради краткосрочной прибыли, другие ради долгосрочной. Знание того, как оценивать активы, полезно для всех этих инвесторов, хотя применяется по-разному. Маркет-таймеры могут использовать инструменты оценки в начале процесса принятия решений, чтобы определить, недооценена ли группа или класс активов (акции, облигации, недвижимость) или переоценена. Сток-пикерам, приобретающим ценные бумаги, оценки отдельных компаний помогут решить, какие акции дешевые, а какие дорогие. Даже инвесторам, увлекающимся техническим анализом, инструменты оценки пригодятся, чтобы замечать изменения тренда, когда стоимость акции после периода роста начинает падать или наоборот.
Однако все чаще измерение стоимости нужно не только для инвестиций и управления портфелем. Оценка важна на каждом этапе жизненного цикла фирмы. Она играет ключевую роль для малых частных предприятий, думающих о расширении, когда они обращаются к венчурным и частным инвесторам за дополнительным капиталом. Доля фирмы, которую венчурные инвесторы потребуют в обмен на предоставленные средства, зависит от оценки ее стоимости. Когда компании становятся больше и решают стать публичными, понимание их стоимости определяет цену первичного размещения акций на рынке. Решения, куда инвестировать, сколько брать взаймы и сколько возвращать собственникам, зависят от восприятия их влияния на стоимость. Даже в бухгалтерии применяются методы оценки. Важная глобальная тенденция в стандартах бухгалтерского учета – переход к учету активов по справедливой, а не по первоначальной стоимости. Таким образом, даже обычное изучение финансовой отчетности требует понимания основ оценки.
Некоторые аксиомы оценки
Прежде чем углубляться в детали, стоит отметить некоторые общие истины. Они дадут вам понимание расчетов, которые сделал кто-то еще, и некоторую помощь в самостоятельной оценке.
Все оценки предвзяты
Вы почти никогда не начинаете оценивать компанию или акцию с чистого листа.
Слишком часто взгляды формируются заранее, и, начиная вводить данные в используемые модели и метрики, вы ожидаемо приходите к выводам, которые отражают ваши предубеждения.
Предвзятость в процессе оценки начинается с выбора компаний. Он не случаен. Возможно, вы читали что-то в прессе (хорошее или плохое) или с экрана телевизора слышали, что та или иная компания была недооценена или переоценена. Предвзятость появляется и на этапе сбора информации, необходимой для оценки. Годовой отчет и другие финансовые отчеты включают в себя не только бухгалтерские данные, но и комментарии руководства о результатах деятельности, что часто заставляет воспринимать эти цифры наилучшим образом.
У профессиональных аналитиков есть институциональные факторы, которые усугубляют эту и без того существенную предвзятость. Аналитики фондового рынка, например, чаще рекомендуют покупать, чем продавать, потому что им нужно поддерживать хорошие отношения с отслеживаемыми компаниями, а также из-за давления своих работодателей, имеющих дополнительные источники дохода от оценок. К этому можно добавить систему мотиваций сотрудников, обнаруживших недооцененные или переоцененные компании.
Аналитики, чье вознаграждение зависит от того, считают ли они фирму дешевой или дорогой, будут предвзяты.
Исходные данные, которые вы используете при оценке, отражают ваши оптимистичные или пессимистичные взгляды. Вы с большей вероятностью предположите более высокие темпы роста и увидите меньший риск в компаниях, к которым предрасположены. Вы также можете приукрасить финальную оценку: увеличить стоимость, добавляя премии за позитивные факторы (синергию, контроль и качество управления), или уменьшить, давая скидку за негативные факторы (низкую ликвидность и высокий риск).
Всегда будьте честны в своих предубеждениях: почему вы выбрали эту компанию для оценки? Вам нравится или не нравится ее корпоративное управление? У вас уже есть ее акции? Изложите свои доводы на бумаге, если это возможно, прежде чем начать. Кроме того, ограничивайте предварительное исследование компании источниками информации, а не источниками мнений. Другими словами, тратьте больше времени на изучение финансовой отчетности компании, чем на чтение отчетов об анализе цены ее акций. Если смотрите на чужую оценку компании, всегда учитывайте мотивы и потенциальные предубеждения, которые могут повлиять на суждения аналитика. Как правило, чем больше предубеждений, тем меньший вес вы должны придавать такой оценке.
Большинство оценок (даже хороших) ошибочны
С самого раннего возраста нас учат, что если вы будете следовать правильным шагам, то получите правильный ответ, а раз ответ неточный, значит вы сделали что-то не так. В то время как точность хороша в математике или физике, это плохая мера качества оценки. Ваши лучшие оценки будущего не совпадут с реальными значениями по нескольким причинам. Во-первых, даже если источники информации безупречны, вы должны преобразовать сырые данные в прогнозы, и любые ошибки на этом этапе снизят точность оценки. Во-вторых, ваши представления о траектории развития фирмы могут оказаться кардинально неверными. Она может работать намного лучше или намного хуже, чем вы думали, поэтому итоговые доходы и денежные потоки будут отличаться от ожидаемых. Учитывайте эту специфичную для фирмы неопределенность. Например, оценивая Cisco в 2001 году, я серьезно недооценил, насколько трудно компании будет поддерживать рост за счет приобретений в будущем, и, как следствие, переоценил компанию. Наконец, даже если фирма развивается именно так, как вы ожидали, макроэкономическая среда может измениться непредсказуемым образом. Процентные ставки могут повышаться или понижаться, а экономические индикаторы быть намного лучше или хуже прогнозируемых. Моя оценка Goldman Sachs в августе 2008 года выглядит безнадежно оптимистичной, потому что я не предвидел ущерб, нанесенный банковским кризисом 2008 года.
Величина и тип неопределенности, с которой вы сталкиваетесь, могут варьироваться в зависимости от компании. Одно из следствий – инвесторам сложно судить об оценке по ее точности, поскольку, например, для молодой фирмы существует бо́льшая неопределенность, чем для зрелой. Другое следствие в том, что избежать неопределенности вряд ли получится.
Нет смысла отказываться оценивать бизнес из-за того, что вы слишком не уверены в его перспективах, поскольку все остальные заинтересованные лица сталкиваются с такой же неизвестностью.
Наконец, собрав больше информации и проведя расширенный анализ, вы не обязательно уменьшите неопределенность, а иногда, наоборот, можете ее увеличить.
Проще – может быть лучше
В последние два десятилетия оценки становились все сложнее из-за двух факторов. С одной стороны, компьютеры и калькуляторы стали мощнее и доступнее, что упрощает анализ данных. С другой стороны, информации теперь больше, и ее легче получить и использовать.
Смело отказывайтесь
от моделей,
но не забывайте
их основные принципы
Фундаментальный вопрос оценки в том, насколько детализированной она должна быть, что приводит к очевидному компромиссу. Чем больше подробностей, тем лучше мы можем использовать конкретную информацию для составления качественных прогнозов. При этом требуется все больше входных данных, растет возможность ошибки, а модели все сложнее и непрозрачнее.
Опираясь на принцип экономии, распространенный в физических науках, выводим простое правило: при оценке используйте самую простую модель, какую только можете.
Если вы можете оценить актив с помощью трех исходных данных, не используйте пять. Если можете оценить компанию на основе трехлетних прогнозов, прогнозирование денежных потоков на 10 лет чревато неприятностями. Меньше – лучше.
Полный вперед!
Большинство инвесторов предпочитает не оценивать компании. Их оправдания – модели слишком сложны, недостаточно информации или слишком много неопределенностей. Хотя во всех этих доводах есть доля правды, нет никаких причин им удерживать вас от попыток. Модели оценки можно упростить, и вы можете обойтись имеющейся у вас информацией, и, да, будущее всегда будет неопределенным. Придется ли вам иногда ошибаться? Конечно, как и всем остальным. Успех в инвестировании приходит не от того, что вы правы, а от того, что вы ошибаетесь реже, чем другие.
Глава 2
Инструменты торговли
Текущая стоимость, риск и статистика
Как выбрать между покупкой акции Google (GOOG)[5], компании, которая сейчас не выплачивает дивиденды, но имеет большой потенциал роста и высокую неопределенность относительного будущего, и покупкой акции Altria (MO), выплачивающей высокие дивиденды, но с ограниченными перспективами роста и стабильным доходом? Как понять, является ли Altria дешевой по сравнению с другими табачными компаниями? Для ответа на эти вопросы нужно сопоставить текущие денежные потоки с будущими, оценить влияние риска на стоимость и поработать с большим объемом информации. О необходимых для этого инструментах и пойдет речь.
Время – деньги
Самые простые инструменты в финансах часто оказываются самыми мощными. Представление, что доллар сегодня предпочтительнее доллара в будущем, интуитивно понятно большинству людей без использования моделей и математики. Принципы приведенной стоимости позволяют нам рассчитать, сколько сегодня стоит доллар, который будет получен в будущем, и сравнить денежные потоки во времени.
Есть три причины, почему денежный поток в будущем стоит меньше, чем сегодня.
1. Люди предпочитают потреблять сейчас, а не потом.
2. Инфляция со временем снижает покупательную способность денег. На доллар в будущем можно будет купить меньше товаров, чем сейчас.
3. Обещанный денежный поток в будущем может быть не получен. В ожидании есть риск.
Процесс корректировки будущих денежных потоков с учетом этих факторов называется дисконтированием, а их значения отражаются в ставке дисконтирования. Ставку дисконтирования можно рассматривать как совокупность ожидаемой реальной доходности (отражающей потребительские предпочтения), ожидаемой инфляции (отражающей покупательную способность денежного потока) и премии за неопределенность ожидаемого денежного потока в будущем (отражающей риск).
Дисконтирование преобразует будущие денежные потоки в их текущую стоимость.
Есть пять типов денежных потоков: простые денежные потоки, аннуитеты, аннуитеты с приростом, вечный денежный поток (перпетуитет) и вечный денежный поток с приростом.
Простой денежный поток – это единичный денежный поток в определенный период в будущем. Дисконтирование преобразует его в сегодняшние денежные единицы, или текущую стоимость, и позволяет сравнивать потоки, получаемые в разное время. Текущая стоимость денежного потока рассчитывается так:

Таким образом, текущая стоимость $1000 через 10 лет при ставке дисконтирования 8 % составляет:

При прочих равных условиях стоимость доллара в будущем будет уменьшаться по мере того, как выплата потока отдаляется, а неуверенность в его получении растет.
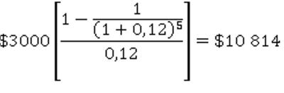
Аннуитет – это постоянный денежный поток, который происходит через равные промежутки времени в течение фиксированного периода. Хотя текущую стоимость такой группы потоков можно вычислить как сумму всех отдельных дисконтированных денежных потоков, также будет справедлива следующая формула:

Для иллюстрации предположим, что у вас есть выбор: купить автомобиль за $10 000 наличными или пять лет платить в рассрочку по $3000 в конце каждого года. Если ставка дисконтирования составляет 12 %, текущая стоимость оплаты в рассрочку равна:

Оплата автомобиля сегодня наличными получается дешевле для покупателя, чем рассрочка при оценке ее текущей стоимости.
Аннуитет с приростом – это регулярные денежные потоки, которые растут с постоянными темпами и выплачиваются в течение определенного периода. Предположим, у вас есть права на золотой рудник, который в прошлом году принес денежный поток в размере $1,5 млн и, как ожидается, продолжит генерировать потоки в следующие 20 лет. Если вы предполагаете темпы роста денежных потоков в размере 3 % в год и ставку дисконтирования в размере 10 %, отражающую вашу неуверенность в будущем, для вас текущая стоимость золота на этом руднике составит $16 146 млн[6]. Эта стоимость будет повышаться по мере увеличения темпов роста и уменьшаться по мере увеличения ставки дисконтирования.
Вечный денежный поток – это денежный поток, выплачиваемый через равные промежутки времени бесконечно долго, а его текущую стоимость можно рассчитать путем деления размера одного из потоков (предполагается, что они равные) на ставку дисконтирования. Самый распространенный пример – консольная облигация, или облигация, по которой выплачивается фиксированный процентный платеж, или купон, бессрочно[7].
Стоимость бессрочной облигации, по которой каждый год выплачивается купон в размере $60, при процентной ставке 9 % рассчитывается так:

Вечный денежный поток с приростом – это денежный поток, выплачиваемый через равные промежутки времени бесконечно долго, который, как ожидается, будет расти с постоянной скоростью. Его текущая стоимость может быть рассчитана как:

Хотя вечный денежный поток с приростом и аннуитет с приростом похожи, в первом случае неограниченная длительность потока накладывает ограничения на темпы роста. Он должен быть меньше ставки дисконтирования, чтобы формула для оценки была корректна. Еще более жесткое ограничение – темп роста должен быть ниже номинального темпа роста экономики, поскольку ни один актив не может иметь денежные потоки, растущие быстрее экономики бесконечно долго.

