
Теорема Ферма. Доказательство

Доказательство Великой Теоремы Ферма, не уместившаяся на узких полях «Арифметики» Диофанта.
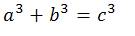
Ферма утверждал, что для чисел «с» не существует натуральных значений при натуральных значениях «а» и «b», при «n» больше 2

Эта формула выглядит похожей на уравнение Пифагора для прямоугольного треугольника при вычислении длины его сторон. А равносторонний прямоугольный треугольник, в свою очередь можно считать графическим отображением этой формулы.

Это график квадратного уравнения при «а» = 4 с шагом 1.
Где «а» большее число, в данном случае это число «4». Если же число «b» будет иметь значение больше «4» то его нужно автоматически считать большим числом уравнения, то есть стороной «а».
Итак, для уравнения

Графическим отображением являются прямоугольные треугольники в равностороннем прямоугольном треугольнике.
Для уравнения

Можно также составить график треугольников, при

Составим график для «n»=3, при «а»=20 с шагом 1.

Это графическое отображение уравнения

Теперь найдем наибольшее значение «с»

Из этого следует, что для

При «а»=20 существует только пять натуральных чисел для «с» – 21,22, 23,24,25. Так как «с» не может быть равной «а». Чтобы определить наибольшее соотношение «с» к «а», нужно разделить наибольшее значение «с» на значение «а».
Найдем наибольшее соотношение для «n»=3


Чтобы найти наибольшее значение для остальных « n» значений

воспользуемся универсальным уравнением

Применим эту формулу сначала для кубического уравнения

Как видим соотношение «с» к «а» совпадает с кубическим корнем из 2
Применим уравнение к другим значениям «n «

Из этих примеров видно, что при увеличении значения «n» , соотношение «с» к «а» уменьшается и стремится к 1.
Из этого следует, что соотношение «с» к «а», при любых значениях «n»>2 имеет следующие значения

Конечно найти в графиках треугольников можно натуральное число сторны «с», но при этом число «b» не будет иметь натурального значения
Приведу пример из кубического уравнения при


Вычислим значение «с»

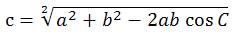
Исходя из формулы

Найдем число «b»



При желании можно проверить все натуральные числа «с» во всех степенях, и для каждого числа это будет доказательством.
Но так как графики формул для любых «n» состоят из треугольников не имеющих прямого угла, то формула по которой вычисляется сторона «с» выглядит так

Так как cosC также не имеет натурального значения и находится в промежутке от 0 до 0.5, то при вычислении стороны «с» по этой формуле число «с» не может иметь натурального значения.
© 2018г. Паршаков Д.В.