
Как не ошибаться. Сила математического мышления
Глубинную структуру задачи с пробоинами в авиационной броне математики обозначают термином «систематическая ошибка выжившего». Такая погрешность часто возникает в самых разных ситуациях[15]. Зная о существовании систематической ошибки выжившего – как знал о ней Абрахам Вальд, – вы будете готовы к тому, чтобы обнаружить ее, где бы она ни скрывалась.
Возьмем в качестве примера взаимные фонды[16]. Оценка их эффективности – это именно та область, в которой вам хотелось бы не допустить ни малейшей ошибки. Изменение годового темпа роста стоимости активов фонда на 1 % может составить разницу между ценным инвестиционным активом и убыточным инвестиционным инструментом. На первый взгляд может показаться, что к первому типу инвестиционных активов относятся фонды категории Large Blend (смешанные фонды акций крупных компаний) по версии агентства Моrningstar, показывающие примерно такой же рост, что и индекс S&P 500. За период с 1995 по 2004 год их рост составил 178,4 %, в среднем по целых 10,8 % в год[17]. Похоже, если в то время вы могли бы вложить деньги в те фонды, это принесло бы вам большую прибыль – не так ли?
Так вот, на самом деле все обстоит иначе. Компания Savant Capital в 2006 году провела исследование[18], результаты которого не только проливают свет на эти данные, но и действуют несколько отрезвляюще. Предлагаю подумать, как формируются рейтинги Morningstar. Например, в 2004 году агентство проанализировало темпы роста всех фондов категории Large Blend за прошедшие десять лет.
Но здесь кое-чего не хватает, а именно: фондов, не вошедших в эту категорию. Взаимные фонды не живут вечно. Некоторые из них процветают, тогда как другие прекращают свое существование. К последним, как правило, относятся фонды, не получающие прибыль. Следовательно, оценивать рост стоимости активов взаимных фондов за десятилетний период по данным о фондах, еще существовавших к концу этого периода, – все равно что оценивать эффективность маневров во время воздушного боя, пользуясь методом подсчета количества пробоин в вернувшихся самолетах. Но вдруг мы не обнаружим ни одного самолета, у которого было бы больше одной пробоины? О чем это говорило бы? Конечно, не об умении пилотов мастерски уклоняться от вражеского огня. Скорее всего, это означало бы, что самолеты, получившие два прямых попадания, охваченные огнем, упали на землю.
Результаты исследования компании Savant показывают: если наряду с выжившими фондами включить в расчеты эффективность фондов, прекративших свое существование, рентабельность инвестиций упала бы до 134,5 %, то есть до 8,9 % в год. Показатель гораздо более скромный, не правда ли? Этот вывод подтвердили результаты одного из последних исследований. Журнал Review of Finance провел в 2011 году комплексное исследование, охватившее около пяти тысяч фондов[19]. По его результатам было установлено, что избыточная доходность выживших фондов (всего 2641 фонд) оказалась на 20 % выше того же показателя, рассчитанного с учетом данных о фондах, потерпевших неудачу. Возможно, эффект систематической ошибки выжившего удивил инвесторов, но для Абрахама Вальда он, по всей вероятности, не стал бы неожиданностью.
Математика есть продолжение здравого смысла иными средствами
В этот момент мой юный собеседник прервет мой рассказ вполне обоснованным вопросом: ну и где здесь математика? Да, Вальд был математиком, и вне всяких сомнений, его решение проблемы надежности авиационной брони гениально. Но при чем здесь математика? Ни тригонометрических тождеств, ни интегралов, ни неравенств, ни формул.
Прежде всего следует отметить, что математические формулы все-таки были. Я опустил их, рассказывая историю Вальда, поскольку это только пролог. Во введении к книге о размножении человека, рассчитанной на десятилетних ребят, вряд ли стоит во всех подробностях рассказывать, как детки попадают в мамин живот. Нет, мы напишем что-нибудь в таком роде: «В природе все меняется. Зимой деревья сбрасывают листья, весной снова цветут; обычная гусеница прячется в свой кокон и выходит из него, превратившись в прекрасную бабочку. Ты тоже часть природы, поэтому…»
Мы с вами сейчас находимся именно в такой части книги.
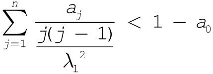
Но мы взрослые люди, поэтому давайте на секунду уйдем от расплывчатых формулировок и посмотрим, как выглядит типичная страница реального отчета Вальда[20].
…можно вычислить нижний предел Qi. Мы предполагаем, что разность между значениями qi и qi+1 находится в определенных пределах. Следовательно, можно вычислить верхний и нижний пределы Qi.
Предположим:
λ1qi ≤ qi+1 ≤ λ2qi
где λ1 < λ2 < 1, таковы, что выполнено:

(A)
Точное решение слишком громоздко, но можно рассчитать приближенные значения верхнего и нижнего пределов Qi для i < n посредством следующей процедуры. В расчетах используется такой набор гипотетических данных:

Условие А удовлетворено, поскольку подстановка дает нам значение

что меньше, чем
1 – a0 = 0,22.
НИЖНИЙ ПРЕДЕЛ QI
На первом этапе необходимо решить уравнение 66. Это подразумевает решение следующих четырех уравнений с положительными корнями q0, q1, q2, q3.
Надеюсь, приведенная мною страничка не стала для вас слишком большим испытанием.
Тем не менее, чтобы понять саму идею, лежавшую в основе озарения Вальда, нам не нужны никакие формальные выкладки. Выше я уже все объяснил, причем не прибегая к каким бы то ни было математическим обозначениям. Поэтому вопрос моего студента остается открытым. Где здесь математика? Разве мы не имеем дело просто со здравым смыслом?
Да, именно так. Математика – это и есть здравый смысл. Ведь на базовом уровне все вполне очевидно.
Как можно объяснить кому-то, что прибавление семи вещей к пяти вещам дает такой же результат, что и прибавление пяти вещей к семи вещам? Никак. Этот факт запечатлен в наших представлениях о сведении нескольких объектов в единое целое. Математики любят обозначать специальными терминами те явления, которые описывает наш здравый смысл. Вместо фразы: «Прибавление этого объекта к тому объекту – это то же самое, что прибавление того объекта к этому» – мы говорим: «Сложение коммутативно». А поскольку мы любим использовать символы, то записываем сказанное в таком виде:
при любых значениях a и b
a + b = b + a.
Несмотря на официальный вид этой формулы, мы говорим здесь о факте, который инстинктивно понимает каждый ребенок.
Немного другой случай – умножение. Формула выглядит почти так же:
при любых значениях a и b
a × b = b × a.
Мозг, анализирующий данное утверждение, соглашается с ним не так быстро, как в случае сложения. Разве отвечает здравому смыслу тот факт, что два набора из шести объектов дают в результате то же, что и шесть наборов из двух объектов?
Возможно, это утверждение и не отвечает здравому смыслу, но оно может стать очевидным. Вот одно из моих первых математических воспоминаний. Я лежу на полу в доме своих родителей, щекой на жестком коврике, и смотрю на стереосистему. Скорее всего, я слушаю вторую сторону «Синего альбома» Beatles. Мне, наверное, лет шесть. Это происходит в семидесятых, значит, стереосистема установлена в корпусе из ДСП с прямоугольными отверстиями на боковой панели. Восемь отверстий по горизонтали, шесть отверстий по вертикали. Я лежу и рассматриваю эти отверстия. Шесть рядов отверстий. Восемь столбцов отверстий. Фокусируя свой взгляд то на одном, то на другом, я переключаю свой мозг с рядов на столбцы и наоборот. Шесть рядов с восемью отверстиями в каждом. Восемь столбцов с шестью отверстиями в каждом.
А затем я понял: восемь групп по шесть отверстий – это то же самое, что шесть групп по восемь отверстий. И не потому, что когда-то мне объяснили правило, а потому, что иначе быть не может. Как ни подсчитывай, но количество отверстий в панели останется одним и тем же.

Как правило, мы преподаем математику в виде длинного перечня правил. Вы изучаете эти правила, чтобы подчиняться им, потому что в противном случае вы получите тройку с минусом. Но не это математика. Мы называем математикой изучение вещей, которые происходят определенным образом по той простой причине, что другого способа не существует.
Посмотрим правде в глаза: не все в математике можно сделать настолько доступным для нашей интуиции, как сложение и умножение. Дифференциальное и интегральное исчисление невозможно понять, руководствуясь только здравым смыслом. И все-таки исчисление проистекает из здравого смысла: Ньютон взял наши фактические знания о движении объектов по прямой линии, составил формальное описание этого движения, а затем на основе формальной схемы построил универсальное математическое описание движения. Имея в своем распоряжении теорию Ньютона, вы можете применить ее к решению задач, от которых у вас голова пойдет кругом, если вы не призовете на помощь формулы. Точно так же в нас заложены ментальные системы оценки вероятности неопределенных событий. Однако эти системы довольно слабы и ненадежны, особенно когда речь идет о крайне редких событиях. Именно в этом случае мы подкрепляем свою интуицию фундаментальными теоремами и методами, построив на этой основе математическую теорию вероятностей.
Специальный язык, на котором математики общаются друг с другом, – это замечательный инструмент для точного и лаконичного описания сложных идей. Но из-за непонятности этого языка у людей непосвященных может возникнуть ощущение, что данная область мысли недоступна пониманию обычного человека. Но все не так.
Математика – это как работающее на атомной энергии вспомогательное приспособление, которое вы прикрепляете к своему здравому смыслу, многократно увеличив его охват и эффективность. Несмотря на всю силу математики, ее абстрактность и символику, порой внушающую страх, истинная умственная работа, которая требуется в ней, мало чем отличается от того, как мы размышляем над решением простых повседневных задач. В этом случае, на мой взгляд, полезно представить образ Железного человека[21], пробивающего дыру в кирпичной стене. С одной стороны, сила, пробивающая стену, порождена не мышцами Тони Старка, а совокупностью точно синхронизированных действий сервомеханизмов, которые приводит в движение компактный генератор бета-частиц. С другой стороны, с точки зрения Тони Старка, он просто пробивает стену – точно так же, как он сделал бы и без своего снаряжения, только тогда это было бы гораздо труднее.
Перефразируя Клаузевица, можно сказать, что математика – это продолжение здравого смысла иными средствами[22].
С одной стороны, без строгих структур, которые предоставляет математика, здравый смысл может ввести вас в заблуждение. Именно это произошло с командующими, которые хотели укрепить броней и без того надежные части самолета. С другой – формальная математика без здравого смысла (без постоянного взаимодействия между абстрактными рассуждениями и интуитивными догадками по поводу количества, времени, пространства, движения, поведения и неопределенности) была бы всего лишь бесплодным упражнением в следовании правилам и счетоводстве[23]. Другими словами, математика была бы именно тем, чем считает ее недовольный студент, изучающий математический анализ.
В этом кроется настоящая опасность. В эссе The Mathematician («Математик»)[24], опубликованном в 1947 году, Джон фон Нейман предупреждал:
На довольно большом удалении от своего эмпирического источника и тем более во втором и третьем поколении, когда математическая дисциплина лишь косвенно черпает вдохновение из идей, идущих от «реальности», над ней нависает смертельная опасность. Ее развитие все более и более определяется чисто эстетическими соображениями, оно все более и более становится искусством для искусства. Само по себе это неплохо, если она взаимодействует с примыкающими математическими дисциплинами, обладающими более тесными эмпирическими связями, или если данная математическая дисциплина находится под влиянием людей с исключительно развитым вкусом. Но существует серьезная угроза, что математическая дисциплина будет развиваться по линии наименьшего сопротивления, что вдали от источника поток разветвится на множество ручейков и дисциплина превратится в хаотическое нагромождение деталей и сложностей. Иначе говоря, при большом отдалении от эмпирического источника или после основательного абстрактного «инбридинга» (близкородственного скрещивания. – Ю. Д.) математической дисциплине грозит опасность вырождения.
О какой математике пойдет речь в моей книге?
Если ваше знакомство с математикой ограничивается школьной программой, это означает, что вам известна весьма ограниченная, а в какой-то степени даже ложная версия этого предмета. Школьная математика состоит главным образом из совокупности фактов и правил – фактов, которые нельзя оспаривать, и правил, которые предписаны высшим авторитетом и не подлежат сомнению. Такой подход рассматривает математические концепции как нечто непреложное.
Но математика не неизменна. Даже если речь идет о базовых объектах изучения, таких как числа и геометрические фигуры, наше незнание гораздо больше знания. А то, что мы все же знаем, получено в результате огромных усилий, разногласий и недоразумений. Весь этот труд и смятение тщательно завуалированы в ваших учебниках.
Безусловно, факты фактам рознь. Никогда не было особых споров по поводу того, что 1 + 2 = 3. Но можем ли мы действительно доказать, что 1 + 2 = 3, и как это можно сделать, – вопрос, который блуждает где-то между математикой и философией. Однако это совсем другая история, и мы вернемся к ней в конце книги. Правильность вычислений в данном случае не подлежит сомнению. Проблема кроется совсем в другом. Мы не раз столкнемся с ней на этих страницах.
Математические факты могут быть простыми и сложными, поверхностными и глубокими, что делит математическую вселенную на четыре сектора:

Базовые арифметические факты, такие как 1 + 2 = 3, относятся к категории простых и поверхностных. К этой же категории принадлежат и основные тождества, в частности sin(2x) = 2sin x × cos x или формула корней квадратного уравнения. Возможно, убедить себя в истинности таких тождеств немного труднее, чем в том, что 1 + 2 = 3, но по большому счету они не так уж сложны на концептуальном уровне.
В сегменте сложных и поверхностных фактов находится, например, задача умножения двух десятизначных чисел, или вычисление сложного определенного интеграла, или (при условии, что вы пару лет учились в магистратуре) определение следа Фробениуса на модулярной форме кондуктора 2377. Можно предположить, что по какой-то причине вам понадобится найти ответ на вопрос такого рода, но поиск решения вручную, вне всяких сомнений, покажется слишком раздражающей и невыполнимой задачей. В случае модулярной формы вам, возможно, понадобится серьезное образование даже для того, чтобы понять, о чем идет речь. Однако в действительности знание этих ответов не обогащает понимание окружающего мира.
Сектор сложных и глубоких математических фактов – это именно то, на что тратят большую часть своего времени профессиональные математики, к числу которых отношусь и я. Здесь обитают знаменитые теоремы и гипотезы, такие как гипотеза Римана, последняя теорема Ферма[25], гипотеза Пуанкаре[26], равенство классов P и NP[27], теорема Гёделя и так далее. Каждая из этих теорем касается идей, имеющих глубокий смысл, фундаментальную важность, поразительную красоту и сугубо специальный характер, и каждая из них сама по себе выступает в качестве главного персонажа многих книг[28].
Но только не моей. То, о чем пойдет речь в настоящей книге, относится к верхнему левому сектору, где находятся простые и глубокие факты. Вы сможете непосредственно, с выгодой для себя использовать представленные здесь математические идеи независимо от того, ограничивается ли ваше математическое образование основами алгебры или охватывает гораздо более широкую область математики. И речь идет не о «фактах самих по себе», таких как простые арифметические утверждения, а о принципах, применение которых выходит далеко за рамки привычных представлений о математике. Мы будем говорить о надежных практических инструментах – их применение поможет вам не совершать ошибок.
Чистая математика представляется чем-то вроде монастыря – спокойное место, надежно защищенное от влияния окружающего мира со всей его суетой и противоречиями. Я вырос в стенах такого убежища. Знакомых мне математически одаренных молодых людей интересовало практическое применение математики в физике или геномике, многих влекла черная магия управления хедж-фондами, но все эти подростковые шатания и проблемы выбора были не для меня[29]. Во время учебы в магистратуре я посвятил себя изучению теории чисел, которую Гаусс называл «королевой математики». Из всех чистых дисциплин это была самая чистая – закрытый сад посреди монастыря, где мы размышляли над теми же вопросами о числах и уравнениях, которые занимали умы древних греков и которые едва ли стали менее мучительными за прошедшие две с половиной тысячи лет.
Сначала я работал над теорией чисел в ее классическом виде, доказывая факты о суммах четвертых степеней целых чисел, о которых я при необходимости мог рассказать членам своей семьи на День благодарения, даже если мне и не удавалось объяснить им, как именно я доказал то, что доказал. Но вскоре я увлекся еще более абстрактными областями, изучая задачи, основные элементы которых («остаточно модулярные представления Галуа», «когомология модулярных схем», «динамические системы однородных пространств») невозможно было обсуждать за пределами архипелага университетских аудиторий, коридоров и комнат отдыха, раскинувшегося в водах Оксфорда, Принстона, Киото, Парижа и Мэдисона (штат Висконсин), где я сейчас преподаю. Если я назову все перечисленное волнующим, имеющим смысл и прекрасным и скажу вам, что мне никогда не надоедает размышлять над этими темами, вам придется просто поверить мне, поскольку требуется длительное обучение даже для того, чтобы выйти на уровень, на котором эти объекты изучения попадают в ваше поле зрения.
Но затем произошло нечто интересное. Чем более абстрактными и далекими от реальной жизни становились мои исследования, тем чаще я начал замечать, как много математики присутствует во внешнем мире, за стенами этого убежища. Речь идет не о представлениях Галуа или когомологиях, а о более простых, древних и не менее глубоких понятиях, попадающих в верхний левый сектор нашей таблицы математических концепций. Я начал писать для газет и журналов статьи о том, как выглядит мир сквозь призму математики, и, к своему удивлению, обнаружил, что их охотно читают даже люди, твердящие, как они ненавидят математику. Это было своего рода обучение математике, но обучение, весьма отличающееся от обычных занятий.
Но у такого подхода есть нечто общее с обычными занятиями. Это кое-какие задания, которые предстоит выполнить читателям. Давайте вернемся к эссе фон Неймана «Математик»:
Разобраться в устройстве самолета и понять природу сил, поднимающих самолет в воздух и приводящих его в движение, труднее, чем лететь в салоне самолета, подниматься в нем в заоблачную высь, покрывать огромные расстояния, и даже труднее, чем управлять самолетом.
Только в исключительных случаях процесс удается понять, не научившись применять его практически, руководствуясь инстинктом и опытом[30].
Другими словами, довольно трудно понять математику, не решая математических задач. Царской дороги в геометрии нет, как сказал Евклид Птолемею или – в зависимости от вашего источника – Менехм Александру Македонскому. (Надо признать, популярные изречения, приписываемые древним, вполне возможно, им не принадлежат, но это не делает их менее поучительными.)
В этой книге я не собираюсь вставать в позу и делать величественные жесты в сторону великих математических памятников, не буду учить вас восхищаться ими с большого расстояния. Нам предстоит с головой погрузиться в работу. Мы с вами сделаем кое-какие вычисления. Чтобы донести ту или иную мысль, мне придется, когда это понадобится, прибегать к помощи кое-каких формул и уравнений. Вам не понадобится никаких формальных математических знаний, кроме знаний арифметики, но в то же время вы узнаете о математике многое из того, что выходит за пределы арифметики. Я привожу здесь ряд упрощенных графиков и таблиц. Мы с вами встретим некоторые темы из школьной математики, но вне их обычной среды обитания. Мы узнаем, как тригонометрические функции описывают степени взаимозависимости между двумя переменными, что говорит математический анализ о соотношении между линейными и нелинейными явлениями, а также каким образом формула корней квадратного уравнения служит в качестве когнитивной модели научного познания. Кроме того, мы встретим здесь некоторые математические концепции, изучение которых обычно откладывается до колледжа или до университета. В частности, мы поговорим о таких вещах, как кризис в теории множеств, выступающий здесь в качестве метафоры для судебной практики Верховного суда и судейства в бейсболе; последние достижения в аналитической теории чисел, подтверждающие наличие взаимосвязи между структурой и случайностью; теория информации и комбинаторные схемы, позволяющие объяснить, как несколько студентов MIT выиграли миллионы долларов, разобравшись во внутреннем механизме лотереи штата Массачусетс.
В книге вы найдете рассказы об известных математиках, а также некоторые философские рассуждения. Представлены даже пара доказательств. Зато нет ни домашних заданий, ни тестов.
Часть I. Линейность
Кривая Лаффера
Суть математического анализа, изложенного на одной странице
Закон больших чисел
Некоторые аналогии с терроризмом
«Все американцы к 2048 году будут страдать избыточным весом»
Почему в Южной Дакоте заболеваемость раком мозга выше, чем в Северной Дакоте
Призраки усопших величин
Привычка определять
Глава первая. Стоит ли уподобляться Швеции
Несколько лет назад, в разгар дебатов вокруг «Закона о доступной медицинской помощи», Дэниел Митчелл из либертарианского Института Катона опубликовал в своем блоге статью с провокационным заголовком «Почему Обама пытается сделать Америку больше похожей на Швецию, тогда как сами шведы пытаются быть в меньшей степени шведами?»[31].
Хороший вопрос! Скажем как можно мягче: это действительно кажется несколько странноватым. Почему, господин президент, мы плывем против течения истории, тогда как во всем мире страны с высоким уровнем социального обеспечения (даже богатая маленькая Швеция!) сокращают дорогостоящие социальные льготы и высокие налоги? «Если шведы извлекли уроки из собственных заблуждений и теперь пытаются сократить объем и границы государственного управления, то почему американские политики так стремятся повторять их ошибки?» – пишет Митчелл.
Ответ на этот вопрос требует построения в высшей степени научного графика. Вот как выглядит мир в понимании Института Катона.

Ось x отображает здесь меру «шведскости»[32], а ось y – некую меру благосостояния. Не имеет значения, в каких именно единицах отображены эти показатели. Суть вот в чем: согласно этому графику, чем выше у вас мера шведскости, тем в худшей ситуации находится ваша страна. Шведы, люди далеко не глупые, поняли это и начали двигаться по графику в северо-западном направлении, к благосостоянию, которое обеспечивает свободный рынок. Однако Обама движется не в том направлении.
Позвольте мне нарисовать эту же картину с точки зрения людей, экономические взгляды которых ближе к мнению Обамы, а не Института Катона.

Этот график дает совсем другие рекомендации по вопросу, в какой степени нам следует походить на Швецию. Где мы видим максимальный уровень благосостояния? В точке, в которой мера шведскости больше, чем в Америке, но меньше, чем в Швеции. Если это действительно так, тогда совершенно логично, что Обама увеличивает объем социального обеспечения, тогда как шведы сокращают его.

