
Органическая химия. Часть 2. Ароматические соединения

О. В. Дябло, А. В. Гулевская, А. Ф. Пожарский, Е. А. Филатова
Органическая химия Учебное пособие Часть 1
Предисловие
Большинство современных университетских курсов по органической химии состоит из двух больших разделов (алифатические соединения и ароматические соединения), изучаемых в двух-трех последовательных семестрах. Изучение органической химии традиционно включает лекционный курс, семинарские занятия и лабораторный практикум. Подготовка студентов на химическом факультете Южного федерального университета по направлениям 04.05.01 – «Фундаментальная и прикладная химия» и 04.03.01 – «Химия» следует этой подтвердившей свою эффективность традиции.
Предлагаемое учебное пособие предназначено для теоретической подготовки к лабораторному практикуму по органической химии студентов и является первой частью цикла:
1. Дябло О. В., Гулевская А. В., Пожарский А. Ф., Филатова Е. А. Учебное пособие по органической химии. В 2 ч. Ч. 1. Алифатические соединения.
2. Филатова Е. А., Гулевская А. В., Дябло О. В., Пожарский А. Ф. Учебное пособие по органической химии. В 2 ч. Ч. 2. Ароматические соединения.
Лабораторный практикум по органической химии рассчитан на два семестра. Каждое занятие в лабораторном практикуме по органической химии начинается с обсуждения теории применяемого синтетического метода. Цель этой теоретической подготовки – углубить знания студентов и научить активно применять теоретические знания при решении синтетических задач, развить навыки анализа строения органических соединений и оценки влияния структурных факторов на реакционную способность соединений. Подготовка к выполнению синтеза органического соединения включает изучение механизма соответствующей реакции и факторов, влияющих на ее протекание, осмысление каждой операции синтеза, выполняемого по заданной методике, а также решение теоретических задач по обсуждаемой теме и, в результате, овладение основами стратегии и тактики органического синтеза. Постоянный тренинг в решении задач различной сложности на семинарах и при самостоятельной подготовке к лабораторным и контрольным работам помогает студентам активно усваивать текущий материал и успешно сдавать экзамен по дисциплине.
Пособия охватывают вопросы строения, реакционной способности и взаимных превращений органических соединений и призваны углубить и дополнить лекционный курс примерами практического использования важнейших свойств соединений различных классов в органическом синтезе.
Модуль 1
Реакции ацилирования органических соединений
Комплексная цель модуляУглубить и систематизировать знания о строении и реакционной способности карбонильной группы. Обобщить знания о механизмах превращений с участием карбонильной группы, акцентируя внимание на механизме ацилирования. Получить представление о применении реакций ацилирования в органическом синтезе.
Программа семинараАцилирование. Номенклатура типичных ацилов – остатков жирных и ароматических карбоновых кислот, а также сульфокислот. Типы ацилирующих агентов и сравнение их эффективности: галогенангидриды, ангидриды, сложные эфиры, амиды кислот и сами кислоты. Ацилирование аминов, спиртов, фенолов, карбоновых кислот, меркаптосоединений (тиоспиртов, тиофенолов). Механизм реакции ацилирования. Ацил в качестве защитной группы. Методы элиминирования ацильной защиты: кислотный и щелочной гидролиз. Действие гидразина. Механизм этих реакций. Этерификация карбоновых кислот спиртами. Механизм реакции, катализаторы этерификации. Способы нарушения равновесной системы. Влияние полярных и пространственных факторов на этерификацию. Кислотный и щелочной гидролиз сложных эфиров. Аммонолиз сложных эфиров.
Краткая теория для подготовки к семинару и решение задачАцилированием называется введение в органические соединения (обычно вместо атома водорода) остатков органических кислот – ацилов. Вот некоторые из простейших ацилов и их названия:

В более широком смысле ацилированием называют также введение остатков и других кислородсодержащих кислот, например, сульфокислот, получаемых путем отнятия группы ОН от кислоты:
С6H5SO2 – бензолсульфонилp-CH3C6H4SO2 – п-толуолсульфонил или тозилCH3SO2– метилсульфонил или иначе мезилАцилирующими агентами чаще всего служат галогенангидриды (обычно хлорангидриды) или ангидриды кислот, например:

Возможно применение смешанных ангидридов. Так, для формилирования иногда используют смешанный ангидрид муравьиной и уксусной кислот, поскольку галогенангидриды и ангидрид муравьиной кислоты неустойчивы. В качестве ацилирующих агентов используются и сами карбоновые кислоты, а также их эфиры и амиды. В целом, по ацилирующей способности указанные агенты можно расположить в ряд:

Чаще всего ацилированию подвергают соединения с подвижным водородом – амины, спирты, фенолы, тиоспирты и тиофенолы, например:
н-C3H7NH2 + (CH3CO)2O н-C3H7NHCOCH3 + CH3COOHн-C3H7OH + CH3COCl → н-C3H7OCOCH3 + HClC6H5SH + CH3COCl → C6H5SCOCH3 + HClЕсли в реакции ацилирования выделяется сильная кислота (например, НСl), то ее целесообразно связать, прибавляя в реакционную смесь такие основания, как сода, поташ, триэтиламин или пиридин.
Механизм реакции представляет собой присоединение нуклеофила (амин, спирт, тиол и т. п.) к карбонильной группе ацилирующего агента с последующим элиминированием из продукта присоединения протона и так называемой уходящей группы, находящейся в исходном ацилирующем средстве:

При одинаковых внешних условиях легкость ацилирования определяется, главным образом, тремя факторами: величиной положительного заряда на карбонильном атоме углерода, легкостью отщепления уходящей группы и нуклеофильностью соединения, которое ацилируют. Сочетание двух первых факторов дает тот ряд активности ацилирующих средств, который приведен выше. Так, аминогруппа менее электроотрицательна, чем хлор или оксигруппа, поэтому она не создает на карбонильном атоме углерода в амидах кислот достаточно большого положительного заряда; напротив, она этот заряд даже уменьшает за счет более сильного по сравнению с хлором и гидроксигруппой смещения неподеленной пары электронов азота к карбонильному углероду (+М-эффекта):

С другой стороны, в промежуточном продукте присоединения типа 1 отщепление аминогруппы протекает значительно труднее, чем аниона Сl– или OH-, так как анион NH2– более нуклеофилен. Таким образом, эти обстоятельства не способствуют проявлению амидами кислот высокой ацилирующей способности, но благоприятствуют ей в случае хлорангидридов и ангидридов кислот.

В качестве ацилирующих средств нередко используют внутренние ангидриды таких дикарбоновых кислот, как янтарная или фталевая:


Ацилирование широко применяется в органической химии для защиты легко окисляющихся или просто активных функциональных групп. Так, анилин удобно нитровать в виде ацетанилида, поскольку сам анилин при действии азотной кислоты легко окисляется; кроме того, протонирование анилина увеличивает процент мета-замещения.

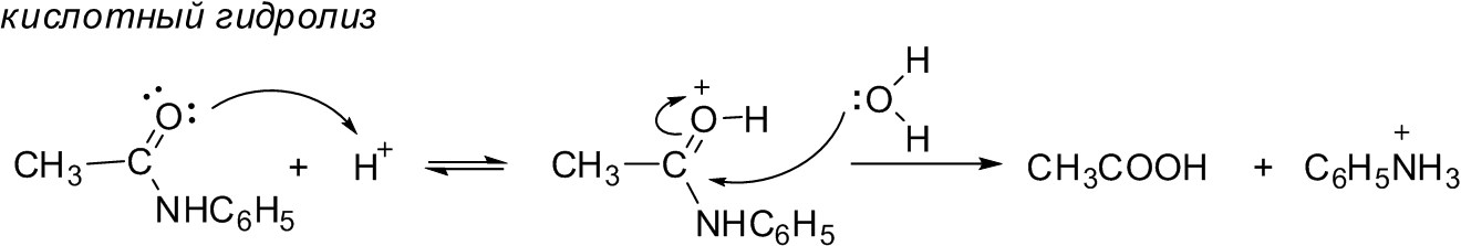
Для удаления ацильной защиты обычно используют кислотный или щелочной гидролиз или действие гидразина. Эти превращения, как и ацилирование, представляют собой нуклеофильное присоединение – элиминирование у карбонильного кислорода и с точки зрения механизма имеют много общего:



Фактически к реакциям ацилирования относится и этерификация карбоновых кислот спиртами, приводящая к образованию сложных эфиров:

Эксперименты с исходными соединениями, меченными изотопом О18, показали, что гидроксил в этой реакции отщепляется от кислоты, а не от спирта. Важную роль при этерификации играет кислотный катализ, поэтому в реакционную смесь обычно добавляют некоторое количество серной кислоты. Механизм кислотного катализа подробно рассмотрен в учебниках. Следует заметить, что реакция этерификации обратима: для ее смещения вправо требуется большой избыток спирта, тогда как гидролизу эфира способствует прибавление в смесь воды. Другие методы получения сложных эфиров – действие алкилгалогенидов на металлические соли карбоновых кислот, а также ацилирование спиртов хлорангидридами или ангидридами кислот.


1. Какие реакции называют реакциями ацилирования?
2. Соединения каких классов используют в качестве ацилирующих агентов?
3. Сравните ацилирующую способность хлорангидридов, ангидридов, сложных эфиров и амидов карбоновых кислот.
4. Какие соединения способны подвергаться ацилированию?
5. Каков механизм реакций ацилирования?
6. Приведите механизм реакции этерификации.
7. Как изменяется механизм реакции ацилирования в условиях кислотного и основного катализа?
Тест рубежного контроляВыберите правильный вариант ответа и отметьте его в бланке ответов (на выполнение отводится 15 минут).



Ниже дана оценка Ваших знаний в зависимости от набранных баллов:
8–9 баллов – отлично,
5–7 баллов – хорошо,
4–3 баллов – удовлетворительно,
ниже 3 баллов – Вы не усвоили теоретический материал, вернитесь к его изучению.
Индивидуальные домашние заданияВариант 1
1. Напишите уравнения реакций, протекающих между ангидридом пропионовой кислоты и: а) п-этоксианилином, б) диметиламином, в) м-бромфенолом, г) н-бутилмеркаптаном.
2. N-Ацетильные производные ароматических аминов гидролизуются как в кислой, так и в щелочной среде, тогда как сульфамиды ArNHSO2R устойчивы к щелочам и для их гидролиза используют конц. H2SO4 . Почему?
3. К эквимолярной смеси этиламина и этанола в бензоле добавили один моль уксусного ангидрида (при комнатной температуре). Какое из указанных веществ прореагировало? Ответ обоснуйте.
4. На валериановую кислоту последовательно подействовали тионилхлоридом, аммиаком, бромом в присутствии щелочи, бензойноэтиловым эфиром. Напишите уравнения реакций и назовите полученные вещества. Какие из этих реакций являются ацилированием?
5. Гидразиды арилсульфокислот легко разлагаются при небольшом нагревании с выделением азота и используются в промышленности в качестве порообразователей в производстве губчатых резин, пенопластов и пр.

Напишитемеханизмобразованияп-толуолсульфонилгидразида, исходя из п-толуолсульфохлорида и гидразингидрата. Какая добавка будет ускорять эту реакцию: NaHCO3, CH3COONa, H2SO4?
6. Сложные эфиры уксусной кислоты и оптически активных третичных спиртов гидролизуются в щелочном растворе с сохранением конфигурации спирта, а при кислотном гидролизе наблюдается рацемизация спирта. Объясните эти факты на примере гидролиза следующего эфира:

Вариант 2
1. Напишите уравнения реакций, протекающих между этилпропионатом и: а) водой в присутствии ОН-; б) бутанолом в присутствии Н+; в) метиламином; г) гидразином.
2. Напишите уравнения реакций метанола с: а) конц. серной кислотой (взять 1 и 2 моля метанола на моль H2SO4), б) ангидридом янтарной кислоты (при нагревании), в) трихлоридом фосфора, г) трибромидом фосфора. Объясните различную направленность реакций в двух последних случаях.
3. Объясните, почему гидролиз (как щелочной, так и кислый) N,N-диацетиланилинапротекаетлегче,чемгидролизацетанилида?
4. Расположите в ряд в порядке убывающей ацилирующей способности ацетат натрия, уксусную кислоту, ацетамид, ацетилхлорид, уксусный ангидрид, этилацетат.
5. Почему основания катализируют омыление сложных эфиров, но не их образование? Сопоставьте влияние оснований с действием кислот, которые катализируют как реакцию этерификации, так и гидролиз.
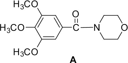
6. Как с помощью реакции ацилирования синтезировать триметозин (А), используемый в медицинской практике в качестве седативного средства?

Вариант 3
1. Напишите уравнения реакций, протекающих между п-толуидином и: а) ангидридом трифторуксусной кислоты (1 моль); б) пропионовой кислотой (на холоде и при нагревании); в) янтарным ангидридом; г) хлорацетилхлоридом. Назовите полученные вещества.
2. Обычно при кислотном гидролизе сложных эфиров рвется связь ацил–кислород. В то же время кислотный гидролиз сложных эфиров третичных спиртов сопровождается разрывом связи между кислородом и алкильной группой. Объяснить наблюдаемые явления с точки зрения механизма реакции.
3. Закончите уравнения реакций:

4. Напишите уравнение реакции ацетилхлорида с натриевой солью капроновой кислоты. К какому классу относится продукт реакции? Как его можно получить иначе?
5. Как будет протекать реакция между этиловым эфиром муравьиной кислоты и: а) метиламином; б) анилином? Назовите продукты. Что реагирует легче с этилформиатом и почему: метиламин или анилин?
6. Объясните, почему при ацилировании аминов хлорангидридами карбоновых кислот используют двукратный избыток амина. Для иллюстрации используйте реакцию бензоилхлорида с диметиламином.
Вариант 4
1. Напишите уравнения реакций, протекающих между н-пропиламином и: а) ангидридом янтарной кислоты; б) этилацетатом; в) трифторуксусным ангидридом; г) трифторуксусной кислотой (на холоде); д) смешанным ангидридом уксусной и муравьиной кислот. Назовите полученные вещества. В случае д) объясните направление реакции.
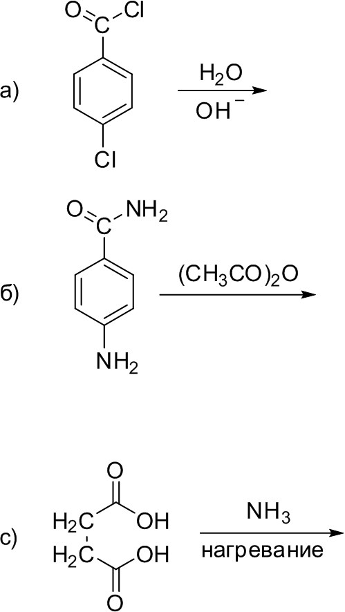
2. На 3-нитро-4-аминотолуол последовательно действуют: а) тозилхлоридом (в пиридине); б) йодистым метилом в спиртовом растворе щелочи; г) разбавленной H2SO4 при нагревании. Напишите уравнения реакций и назовите конечный продукт.
Конец ознакомительного фрагмента.
Текст предоставлен ООО «ЛитРес».
Прочитайте эту книгу целиком, купив полную легальную версию на ЛитРес.
Безопасно оплатить книгу можно банковской картой Visa, MasterCard, Maestro, со счета мобильного телефона, с платежного терминала, в салоне МТС или Связной, через PayPal, WebMoney, Яндекс.Деньги, QIWI Кошелек, бонусными картами или другим удобным Вам способом.
Приобретайте полный текст книги у нашего партнера:

