
Регионоведение. Шпаргалка

Е. А. Петрухина,А. С. Зорин
Регионоведение. Шпаргалка
1. Понятие региона
В современной литературе учебной и научной направленности понятие «регион» трактуется неоднозначно. Однако многие ученые приходят к одному выводу, что регион – это и географическая территория, и экономический или экологический район, природно-климатическая зона и т.п. Другими словами, регион – это административно-территориальное образование.
Более общим и привычным в научной литературе является определение региона как части территории, которой присуща общность социально-экономических, национально-культурных, природных и других условий. Но в каждой науке отдается предпочтение тому или иному регионообразующему фактору, в связи с чем в каждой отдельной дисциплине понятием «регион» порой обозначаются разные объекты. Приведем несколько примеров.
В географии понятие «регион» включает в себя часть территории, содержащей в себя определенную совокупность флоры, фауны, земли, воздуха, воды и людей, взаимодействующих между собой и составляющих вместе особую часть нашей планеты.
В экономике понятие «регион» включает в себя взаимодействующую систему социальных, производственных, хозяйственных и управленческих звеньев на определенной территории.
В политологии понятие «регион» включает в себя часть территории одной или более стран, объединенных общностью природно-климатических, социально-политических, культурных и других признаков.
В Указе Президента РФ от 3 июня 1996 г. № 803 «Об основных положениях региональной политики в Российской Федерации» дается определение понятию «регион»: это «часть территории РФ, имеющей общность природных, социально-экономических, национально-культурных и иных условий».
В научной литературе различают понятия «регион» и «район». Главное отличие состоит в степени системной интеграции. Район понимают как геотерриторию, характеризующуюся системной взаимосвязью составляющих элементов, целостностью. При этом специалисты отмечают, что при переходе от макро– к микрорегиональному уровню воздействие многих системообразующих факторов на целостность территориальных образований резко уменьшается. Поэтому многими учеными регионы рассматриваются как своеобразные территориальные типы, для которых системность и целостность в основном являются идеальным состоянием.
В России в последнее время довольно интенсивное развитие получили региональные исследования, объединяющие в себе знания различных научных дисциплин с целью формирования особого предмета научных исследований – региона.
В «Политической энциклопедии» под регионом понимается самостоятельная, пространственно-географическая, административно-территориальная, институционально-политическая, экономическая, социальная, историко-культурная, этическая и демографическая величина.
2. Методология, научные методы дисциплины «Регионоведение»
Методологические основы регионоведения состоят из современной научной теории экономического районирования, результатов исследования структуры региональных комплексов, целевых федеральных программ развития регионов России, теоретических особенностей формирования территориально-производственных и отраслевых комплексов, закономерностей и принципов распределения производительных сил отраслей хозяйства и экономических районов, положений региональной политики и стратегии.
Методы регионоведения
1. Балансовый метод дает выбор оптимального соотношения между отраслями рыночной специализации, отраслями, дополняющими территориальный комплекс (т.е. обеспечивающими как нужды ведущих отраслей, так и потребности населения), и отраслями сферы услуг.
Содержание балансового метода составляют экономические обоснования размещения предприятий – выбор региона и места для сооружения предприятия, расчеты обеспеченности его сырьем, топливом, энергией, водой, трудовыми и другими ресурсами.
Чтобы составить региональный баланс, необходимо провести проектно-изыскательские работы, экспедиционные исследования, в которых используются полевые и камеральные методы.
Довольно простые балансовые расчеты производства и потребления продукции в районе с помощью простой вычислительной техники относят к приближенным методам, а расчеты межотраслевого баланса – к точным методам.
2. Главным инструментом картографического метода является карта. Она дает возможность наглядно представить особенности размещения и количественные показатели, определяющие уровни развития районов. Другими словами, карта—схематичная модель территории, на которой знаками отображаются объекты.
3. Индексный метод определяет уровень специализации экономического районирования. Используются коэффициент локализации, коэффициент душевого производства и коэффициент межрайонной товарности.
4. Системный анализ дает возможность изучать комплексное развитие района, внутренние связи и их взаимодействие. Системный анализ – это всесторонний анализ, состоящий из постановки цели, определения задач, формулирования научной гипотезы, всестороннего изучения особенностей оптимального варианта размещения производства. Главный критерий при этом – наибольшее удовлетворение потребностей населения.
5. Метод экономико-математического моделирования дает возможность сформировать отрасли хозяйства, составить модель формирования хозяйственных комплексов регионов. Использование вычислительной техники позволяет с минимальными затратами труда и времени обрабатывать большой объем исходных данных и выбирать оптимальные решения в соответствии с поставленной целью.
3. Коэффициент локализации, коэффициент производства продукции района на душу населения, коэффициент межрайонной товарности
Отрасли специализации напрямую влияют на место региона в территориальном разделении труда. Возможность производить недорогую продукцию, которая имела бы значительную долю в общегосударственном балансе регионального комплекса, определяет специализацию региона. Установление меньшей цены продукции происходит за счет использования более благоприятных природных и экономических условий. Важную районообразующую функцию выполняют основные (профилирующие) отрасли специализации, дающие максимальный экономический эффект.
Каждый регион имеет в рамках экономического пространства страны собственную специализацию, которая является сосредоточением на его территории определенных видов производств, снабжающих своей продукцией собственные потребности и удовлетворяющих потребности других регионов страны и даже других стран. При этом специализация региона не является исчерпывающей в общем участии региона в территориальном разделении труда. Специализация региона и межрайонные связи – это разные, хотя и взаимообусловленные стороны территориального разделения труда. Поэтому отрасли специализации определяются на основе производственных показателей и показателей вывоза продукции из региона.
В отраслевых экономико-географических способах анализа применяются показатели для определения отраслей специализации промышленности экономических районов: коэффициент специализации, коэффициент локализации, коэффициент душевого производство, коэффициент межрайонной товарности.
Коэффициент локализации определенного производства на территории района (К^ – это отношение удельного веса определенной отрасли в структуре производства района кудельному весу той же отрасли в стране. Расчет производится по валовой или товарной продукции, основным производственным фондам и численности промышленно-производственного персонала:
Кл = Ор / Пр х 100 / Ос/Пс х 100,
где Ор – отрасль района;
Ос – отрасль страны;
П — все промышленное производство района;
Пс — все промышленное производство страны.
Коэффициент душевого производства (Кд) представляет собой отношение удельного веса отрасли хозяйства района в соответствующей структуре отрасли страны к удельному весу населения района в населении страны. Расчет производится по формуле:
Кд = Ор / Ос х 100 / Нр / Нс х 100,
где Ор – отрасль района;
Ос – отрасль страны;
Нр — население района;
Нв — население страны.
Коэффициент региональной товарности (Кмт) представляет собой отношение вывоза из региона данной продукции к ее региональному производству. Расчет производится по формуле:
Кмт=Во/Пр
где В0 — вывоз продукции из региона;
Пр – производство продукции в регионе.
4. Показатели, определяющие эффективность специализации районов
Показатель экономической эффективности отраслей хозяйства является одним из наиболее важных факторов их размещения на определенной территории экономического района.
Показатели эффективности размещения производств определяются в виде себестоимости продукции с учетом ее доставки потребителю, удельных капиталовложений на единицу мощности, а также в виде прибыли.
Относительно каждой районной отрасли производства вместе с указанными показателями разрабатывается система технико-экономических показателей ее размещения. Данная система включает в себя следующее:
1) удельные расходы основных видов сырья, топлива, энергии, воды на единицу продукции;
2) выход производственных отходов на единицу продукции;
3) трудовые затраты на единицу продукции;
4) удельные затраты основных фондов.
Установление оптимальных пропорций между показателями эффективности рационального размещения производств в районе обусловлено их использованием.
Для того чтобы определять уровни специализации экономического районирования по количественному критерию, используют следующие коэффициенты:
1) коэффициент локализации;
2) коэффициент душевого производства;
3) коэффициент межрайонной товарности.
Коэффициент локализации производства
(L) выражает отношение удельного веса определенной отрасли в структуре производства к удельному весу той же отрасли в стране. Коэффициент локализации рассчитывается по следующим показателям:
1) валовая товарная продукция;
2) основные промышленные фонды;
3) численность промышленно-производственного персонала.

где хj— доля j-ro региона в общем объеме факторного признака;
уj — доля j-го региона в общем объеме результативного явления (в данном случае товарооборота);
п — число j-x регионов.
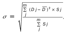
Коэффициент душевого производства (QД)
выражает отношение удельного веса отрасли хозяйства региона в соответствующей структуре страны кудельному весу населения региона в населении страны.

где Dj—товарооборот надушу населения j-ro региона;
D (с чертой сверху) – средний товарооборот на душу населения по всем регионам;
Sj—численность населения j-ro региона;
т– число j-x регионов.
Коэффициент региональной товарности
(Кмт) выражает отношение вывоза из региона данной продукции к ее региональному производству.
5. Задачи научной дисциплины «Регионоведение»
Наиболее важными задачами регионоведения являются: 1) разработка теоретических основ формирования и развития экономических районов в условиях становления и развития рыночных отношений;
2) разработка программ развития экономических районов в условиях рынка;
3) разработка рекомендаций по совершенствованию структуры и управления экономических районов всех таксономических рангов.
При проведении региональных экономических реформ основными задачами являются:
1) разработка мер по пространственной интеграции экономики России;
2) создание механизма вертикального и горизонтального взаимодействия органов управления;
3) разработка мероприятий по преодолению распада межрегиональных хозяйственных связей, сохранению единого рыночного пространства.
В зависимости от региона можно выделить следующие стратегические задачи регионального развития:
1) для старопромышленных районов и крупных городских агломераций:
а) конверсия оборонных отраслей, модернизации инфраструктуры;
б) утверждение множества форм собственности;
в) оздоровление экологической обстановки;
2) для районов Нечерноземья, Южного Урала, Сибири, Дальнего Востока:
а) преодоление кризиса в аграрной сфере;
б) возрождение малых городов и сел;
в) развитие производственной и социальной инфраструктуры;
г) освоение заброшенных земель;
д) разработки программ по самообеспечению населения продовольствием;
3) для экстремальных районов Крайнего Севера и горных районов:
а) стабилизация социально-экономического положения;
б) создание условий для возрождения малочисленных народов при основательной государственной поддержке;
в) формирование новых хозяйственных комплексов на базе уникальных природных ресурсов и инвестиций для выполнения программ их развития;
г) разработка системы мер по комплексному использованию добываемого сырья с соблюдением строгих экологических стандартов;
4) для всех регионов России:
а) стимулирование развития экспортных и импортозаменяющих производств;
б) формирование свободных экономических зон;
в) создание технополисов как региональных центров внедрения достижений отечественной и мировой науки, ускорения экономического и социального прогресса.
Для приграничных районов необходимыми являются программы по переспециализации, ускоренному развитию инфраструктуры с учетом потенциальных переселенцев и передислокации воинских частей.
6. Регионообразующие факторы
Регионообразующими факторами являются:
1) история региона – важна для понимания современных проблем на основе истории его формирования и хозяйственного освоения;
2) государственное и территориальное устройство – позволяет определить место и статус региона в системе государства, рассмотреть административно-территориальное деление самого региона и взаимосвязь всех звеньев внутри региона и региона с другими субъектами государства;
3) географические и климатические условия, природные ресурсы региона – это наличие полезных ископаемых, состояние сельскохозяйственных земель, его геополитическое положение, состояние флоры и фауны, зон чрезвычайных ситуаций; имеет важнейшее значение в нормальном функционировании региона;
4) народонаселение региона, его динамика, расселение и урбанизация – также очень важны для образования региона. Есть малонаселенные земли, где заинтересованность в совместном проживании народов невелика, а есть густонаселенные, где экономическое состояние и другие факторы являются благоприятными для совместного проживания народов;
5) этнический состав населения, его религия и культура также являются немаловажными факторами для образования региона, поскольку «определяют первичные формы регионального сообщества (системы родства, народные традиции, культы и обряды, религиозные институты, языковую ситуацию)»;
6) экономико-географическое состояние региона – определяющееся его инфраструктурой, состоянием отраслей народного хозяйства, производительных сил, взаимодействием центра и отдаленных областей, наличием развитой транспортной сети, внутренней и внешней торговли;
7) трудовые ресурсы региона определяющиеся квалифицированностью кадров, уровнем занятости населения. Поскольку основным фактором повышения динамики эффективности экономики является объем основного капитала, приходящийся на одного работника, то прирост рабочей силы в регион должен найти свое выражение в увеличении производства, т.е. реальном трудоустройстве кадров.
К внешним регионообразующим факторам относятся межрегиональные и международные отношения.
Важнейшими межрегиональными отношениями являются автаркия и сепаратизм. В одном случае они разделяют на части целую территорию и разрывают ее устоявшиеся внутренние связи. Обычно это происходит во времена тяжелых условий, когда каждая часть старается выжить сама. В другом случае автаркические (самодостаточные) тенденции (высокие заградительные пошлины, устанавливаемые регионами на своих внешних границах), укрепляют их внутренние связи и позиции в ущерб третьей стороне.
7. Типы регионов. Регионы России
Экономическое районирование России состоит из трех основных звеньев (таксономических единиц): высшего звена – крупных экономических районов; районов среднего звена – краев, областей, республик; низовых районов – административно-хозяйственных районов, городских и сельских районов.
Высшее звено районирования состоит из крупных экономических районов, которые используются центральными республиканскими органами власти. Цель такого использования – общегосударственное управление экономикой в территориальном разрезе. Крупные экономические районы – относительно готовые территориальные хозяйственные комплексы, которые имеют четко выраженную специализацию (примерно 5—7 отраслей).
Среднее звено районирования применяется для управления некоторыми отраслями хозяйства в границах области, края, республики. Областные районы имеют свои экономические особенности. Определенная форма комплексного развития областей, расположение сельскохозяйственных районов вокруг промышленных центров предопределяют ведущее место города.
Низшее звено районирования состоит из городских и сельских районов, которые играют большую роль в экономическом районировании.
Также возможно объединение экономических районов в макрорегионы или экономические зоны, которые имеют свои отличительные особенности (природные условия, экономику, развитие).
Основные принципы выделения экономических зон включают уровень хозяйственного освоения территории, соотношение между важнейшими ресурсами и степенью их использования.
Территория Российской Федерации разделена на две экономические зоны.
Западная зона занимает европейскую часть России и Урал. Восточная зона включает Сибирь и Дальний Восток. Группы районов в экономических зонах объединяются в укрупненные районы с целью выполнения долгосрочных целевых программ, сбалансированности производства и потребления важных видов продукции.
В настоящее время Россия состоит из 11 крупных экономических районов, таких как Северный, Северо-Западный, Центральный, Центрально-Черноземный, Волго-Вятский, Поволжский, Северо-Кавказский, Уральский, Западно-Сибирский, Восточно-Сибирский, Дальневосточный и Калининградская область. Статус самоуправления имеют Москва и Санкт-Петербург.
Для изучения регионов требуется понимание экономической и политической ситуации в них, потому что все районы имеют различную степень подготовленности к рынку. В настоящее время выделяют 3 типа регионов России, которые имеют определенные особенности при становлении рынка:
1) трудоизбыточные – Северный Кавказ;
2) оборонно-промышленные – Санкт-Петербург, Урал, Нижегородская область, промышленные узлы Сибири;
3) многоотраслевые и депрессивные районы – значительная часть зоны Севера.
8. Южный федеральный округ как метарегиональное образование
В соответствии с указами Президента РФ с целью укрепления вертикали государственной власти весной 2000 г. был образован Южный федеральный округ (ЮФО). Территория округа занимает 3,5 % всей территории РФ и включает в себя Нижнее Поволжье, Дон, степное Предкавказье и горные районы Северного Кавказа протяженностью 589,2 тыс. кв. км. Численность населения округа более 21,5 млн человек, что составляет 14,3 % населения России. Южный федеральный округ включает в себя 13 субъектов Российской Федерации. Из них 8 республик (Адыгея, Дагестан, Ингушетия, Кабардино-Балкария, Калмыкия, Карачаево-Черкессия, Северная Осетия-Алания, Чечня); 2 края (Краснодарский и Ставропольский); Зобласти (Астраханская, Волгоградская, Ростовская).
Конец ознакомительного фрагмента.
Текст предоставлен ООО «ЛитРес».
Прочитайте эту книгу целиком, купив полную легальную версию на ЛитРес.
Безопасно оплатить книгу можно банковской картой Visa, MasterCard, Maestro, со счета мобильного телефона, с платежного терминала, в салоне МТС или Связной, через PayPal, WebMoney, Яндекс.Деньги, QIWI Кошелек, бонусными картами или другим удобным Вам способом.
Приобретайте полный текст книги у нашего партнера:

