
Пособие для подготовки к успешной сдаче ЕГЭ по математике базового уровня в 2024 году

Екатерина Сойникова
Пособие для подготовки к успешной сдаче ЕГЭ по математике базового уровня в 2024 году
Введение
Впервые с разделением ЕГЭ по математике на базовый и профильный уровни школьники столкнулись в 2015 году. Также в 2015 году можно было сдавать сразу как базовую математику, так и профильную.
По большей части это разделение связано с тем, что многим выпускникам математика не требуется для поступления в вуз, но при этом она необходима для получения аттестата о среднем общем образовании. Таким образом, базовая математика направлена на проверку основных предметных результатов, а также, способности производить бытовые расчеты и использовать математические знания для решения задач, возникающих в повседневной жизни.
Но несмотря на то, что ЕГЭ по математике базового уровня сдают уже на протяжении 8 лет, по сей день нет ни одного методического пособия, которое было бы направлено на изучение именно теоретического материала по всем заданиям контрольных измерительных материалов ЕГЭ[1]. Даже невзирая на то, что КИМ ЕГЭ по математике базового уровня содержит справочные материалы, школьники зачастую просто на просто не могут их грамотно использовать, из-за непонимания того, для каких конкретно заданий нужны те или иные определения и формулы. А для некоторых заданий и вовсе отсутствуют какие-либо «подсказки».
Поэтому данная книга уникальна тем, что в ней даны особенности выполнения каждого задания КИМ ЕГЭ по математике базового уровня, а также советы и рекомендации, обеспечивающие быстрое выполнение заданий и уменьшающие вероятность допуска ошибки.
Полный план экзаменационной работы ЕГЭ по математике базового уровня на 2024 год можно увидеть в спецификации КИМ для проведения в 2024 году единого государственного экзамена по МАТЕМАТИКЕ (базовый уровень) [1].
В 2024 году экзамен по математике базового уровня будет включать в себя справочные материалы, где имеются основные формулы по алгебре и началам математического анализа и геометрии, а также 21 задание.
Все задания БАЗОВОГО УРОВНЯ СЛОЖНОСТИ. На работу отводится 180 минут (3 часа).
ЕГЭ по математике базового уровня не подразумевает заданий, где необходимо написать развёрнутое решение. Ученику нужно вписать в бланк ТОЛЬКО ответы на задания.
Также стоит отметить, что первичный балл математике базового уровня переводится ТОЛЬКО в оценку по пятибалльной шкале.

Кроме обучающихся 10–11 классов, готовящихся к сдаче ЕГЭ по математике базового уровня, данную книгу могут использовать учителя и преподаватели математики. Она будет также полезна обучающимся 9-х классов, так как ЕГЭ по математике базового уровня достаточно сильно схоже с ОГЭ по математике.
Задание 1. Простейшие текстовые задачи
1.1. Общие вопросы
В спецификации контрольных измерительных материалов для проведения в 2024 году единого государственного экзамена по МАТЕМАТИКЕ (базовый уровень) [1] в качестве проверяемого результата обучения применительно к заданию 1 указывается «уметь выполнять вычисления и преобразования».
Уровень сложности – базовый.
Максимальный балл за выполнение задания – 1.
Примерное время выполнения задания выпускником (мин.) – 7.
Чтобы решить задание 1 по математике базового уровня нужно уметь выполнять вычисления и преобразования.
1.2. Примеры заданий и методика их выполнения
Пример 1 [3]Условие
Баночка йогурта стоит 14 рублей 60 копеек. Какое наибольшее количество баночек йогурта можно купить на 100 рублей?
Решение
1. Переведем стоимость одной баночки йогурта в десятичную дробь: 14,6
2. Вычислим то, какое количество баночек йогурта можно купить за 100 рублей. Для этого разделим 100 на 14,6:
100 : 14,6 ≈ 6,849
3. Так как купить можно только целое количество баночек йогурта, то полученное число округлим до целого в меньшую сторону. Следовательно, ответом будет число 6.
Ответ: 6.
Пример 2 [3]Условие
Килограмм моркови стоит 40 рублей. Олег купил 1 кг 600 г моркови. Сколько рублей сдачи он должен получить со 100 рублей?
Решение
1. Переведем в десятичную дробь количество моркови, которую купил Олег: 1,6 кг.
2. Вычислим то, сколько заплатил Олег за 1,6 кг моркови, если 1 кг стоит 40 рублей:
40∙1,6 = 64
3. Найдем сколько рублей сдачи Олег получит со 100 рублей:
100–64 = 36
Ответ: 36.
Пример 3 [3]Условие
Для ремонта требуется 63 рулона обоев. Какое наименьшее количество пачек обойного клея нужно для такого ремонта, если 1 пачка клея рассчитана на 6 рулонов?
Решение
1. Вычислим то, какое количество пачек клея нужно для того, чтобы поклеить 63 рулона обоев, учитывая, что 1 пачка клея рассчитана на 6 рулонов:
63 : 6 = 10,5
2. Так как невозможно купить 10,5 пачек обойного клея, при этом, если купить 10 пачек, то такого количества не хватит для того, чтобы поклеить 63 рулона (будет поклеено только 60). Поэтому в данной задаче округлить необходимо до целого в большую сторону, т.е., купить потребуется 11 пачек обойного клея.
Ответ: 11.
Пример 4 [4]Условие
В пачке 250 листов бумаги формата А4. За неделю в офисе расходуется 800 листов. Какого наименьшего количества пачек бумаги хватит на 7 недель?
Решение
1. Вычислим сколько листов бумаги формата А4 офис расходует за 7 недель:
800∙7 = 5600
2. Вычислим количество пачек бумаги формата А4, которые будут израсходованы за 7 недель, учитывая, что 1 пачка содержит 250 листов:
5600 : 250 = 22,4
3. В данной задаче необходимо округлить до целого в большую сторону, т.е. 23 пачки.
Ответ: 23.
Задание 2. Размеры и единицы измерения
2.1. Общие вопросы
В спецификации контрольных измерительных материалов для проведения в 2024 году единого государственного экзамена по МАТЕМАТИКЕ (базовый уровень) в качестве проверяемого результата обучения применительно к заданию 2 указывается «умение решать текстовые задачи разных типов, исследовать полученное решение и оценивать правдоподобность результатов, умение оценивать размеры объектов окружающего мира».
Уровень сложности – базовый.
Максимальный балл за выполнение задания – 1.
Примерное время выполнения задания выпускником (мин.) – 5.
Чтобы решить задание 2 по математике базового уровня нужно знать единицы измерения величин.
Единицы измерения величин
2.2. Примеры заданий и методика их выполнения
Пример 1 [3]Условие
Установите соответствие между величинами и их возможными значениями: к каждому элементу первого столбца подберите соответствующий элемент из второго столбца.

В таблице под каждой буквой, соответствующей величине, укажите номер её возможного значения.

Решение
В данной задаче представлена мера веса. Для удобства при решении задания, можно для начала выбрать самый маленький предмет и определить его массу, присвоив наименьшее значение. В данной задаче – это пуговица, ее вес может быть 5 г. Затем выбрать самый большой предмет. В данной задаче – это грузовой автомобиль, его вес – 8 т. После чего определить остальные величины:
• Масса взрослого человека может быть только 65 кг.
• Масса книги – 300 г.
Заполним таблицу:

Ответ: 3142
Пример 2 [3]Условие
Установите соответствие между величинами и их возможными значениями: к каждому элементу первого столбца подберите соответствующий элемент из второго столбца.

В таблице под каждой буквой, соответствующей величине, укажите номер её возможного значения.

Решение
Данная задача на меру длины. Самая маленькая величина – это толщина бумаги (0,2 мм). Самая большая величина – это протяжённость автобусного маршрута – 32 км. Понимаем, что рост ребёнка может быть только 110 см (так как он не может быть ни 32 км, ни 30 м или 0,2 мм). А высота жилого дома – 30 м.
Заполним таблицу:

Ответ: 4312.
Пример 3 [4]Условие
Установите соответствие между величинами и их возможными значениями: к каждому элементу первого столбца подберите соответствующий элемент из второго столбца.

В таблице под каждой буквой, соответствующей величине, укажите номер её возможного значения.

Решение
Данная задача на меру площади. Очевидно, что самая маленькая величина – это площадь ногтя на пальце взрослого человека (100 кв. мм). Самой большой величиной будет являться площадь Краснодарского края – 75 500 кв. км. Тогда Санкт-Петербурга будет равна 1439 кв. км.
Заполним таблицу:

Ответ: 4213.
Задание 3. Чтение графиков и диаграмм
3.1. Общие вопросы
В спецификации контрольных измерительных материалов для проведения в 2024 году единого государственного экзамена по МАТЕМАТИКЕ (базовый уровень) в качестве проверяемого результата обучения применительно к заданию 3 указывается «умение извлекать информацию, представленную в таблицах, на диаграммах, графиках».
Уровень сложности – базовый.
Максимальный балл за выполнение задания – 1.
Примерное время выполнения задания выпускником (мин.) – 5.
Чтобы решить задание 3 по математике базового уровня нужно уметь:
• производить чтение графиков и диаграмм,
• работать с таблицами.
Чтение графиков и диаграммЧтение графиков и диаграмм в ЕГЭ подразделяются на несколько видов:
1. определение величины по графику,
2. определение величины по диаграмме,
3. вычисление величин по графику или диаграмме,
4. определение данных из таблиц.
Работа с таблицамиПри работе с таблицей необходимо умение сопоставлять данные из одного столбца/строки таблицы с другим.
3.2. Примеры заданий и методика их выполнения
Пример 1 [3]Условие
На диаграмме приведены данные о длине восьми крупнейших рек России (в тысячах километров). Первое место по длине занимает река Лена.

На каком месте по длине находится река Амур?
Решение
Судя по данным диаграммы, река Амур имеет длину примерно 2.8 тыс. км. Длине Амура река Волга (3,6 тыс. км), река Енисей (3,4 тыс. км), река Енисей (3,5 тыс. км), река Иртыш (4,3 тыс. км), река Лена (4,4 тыс. км), река Нижняя Тунгуска (3 тыс. км) и река Обь (3,7 тыс. км). А короче реки Амур только река Вилюй (2,6 тыс. км). Следовательно, если исходить из того, что самая длинная река – Лена стоит на первом месте, то расставим все реки по местам исходя из их длины:

Есть еще более простой способ решить данное задание. Проведём прямую, параллельно горизонтальной оси по высоте реки Амур, и мы видим, что выше реки Амур 6 рек. Таким образом, мы видим, что река Амур находится на 7 месте по своей длине.

Ответ: 7.
Стоит отметить, что при решении подобного рода задач не обязательно производить длинное рассуждение, а просто выполнить краткие пометки в самом КИМе или на черновике.
Пример 2 [3]Условие
В таблице представлены данные о стоимости некоторой модели смартфона в различных магазинах.

Найдите наименьшую стоимость смартфона среди представленных предложений. Ответ дайте в рублях.
Решение
Очевидно, что выбирать наименьшее стоит среди чисел 6733, 6559, 6599, 6959, 6850. Таким числом будет 6559.
Ответ: 6559.
Пример 3 [3]Условие
На графике показано изменение температуры воздуха на протяжении трёх суток. На горизонтальной оси отмечены число, месяц, время суток в часах; на вертикальной оси – значение температуры в градусах Цельсия.

Определите по графику наибольшую температуру воздуха 19 февраля. Ответ дайте в градусах Цельсия.
Решение
Так как нас интересует только 19 февраля, поэтому выделим на графике только область, которая соответствует 19 февраля, и будем работать только с ней.

Таким образом, наша задача сводится к тому, чтобы найти самую высокую точку на выделенной области графика температуры. И эта точка имеет значение –3.

Ответ: – 3.
Пример 4 [4]Условие
На диаграмме показана среднемесячная температура воздуха в Нижнем Новгороде за каждый месяц 1994 года. По горизонтали указаны месяцы, по вертикали – температура в градусах Цельсия.

Определите по диаграмме наибольшую среднемесячную температуру в Нижнем Новгороде в период с января по апрель 1994 года. Ответ дайте в градусах Цельсия.
Решение
Аналогично предыдущему примеру выделим только нужную часть диаграммы (период с января по апрель).

Таким образом, на выделенной части диаграммы наибольшая среднемесячная температура в апреле. И она равна 6 градусов.
Ответ: 6.
Задание 4. Преобразования выражений. Действия с формулами
4.1. Общие вопросы
В спецификации контрольных измерительных материалов для проведения в 2024 году единого государственного экзамена по МАТЕМАТИКЕ (базовый уровень) в качестве проверяемого результата обучения применительно к заданию 4 указывается «умение выполнять вычисление значений и преобразования выражений, умение решать текстовые задачи разных типов».
Уровень сложности – базовый.
Максимальный балл за выполнение задания – 1.
Примерное время выполнения задания выпускником (мин.) – 4.
Чтобы решить задание 4 по математике базового уровня нужно уметь:
• подставлять данные значения в выражения,
• решать уравнения с одной неизвестной.
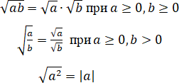
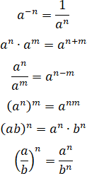
Решая некоторые примеры стоит обратить внимание на свойства арифметического квадратного корня и степеней, а также на таблицу квадратов целых чисел от 0 до 99 (они есть в справочных материалах, приложенных к КИМу).
Свойства арифметического квадратного корня
при a > 0,b > 0


4.2. Примеры заданий и методика их выполнения
Пример 1 [3]Условие
Мощность постоянного тока (в ваттах) вычисляется по формуле P = I2R, где I – сила тока (в амперах), R – сопротивление (в омах). Пользуясь этой формулой, найдите P (в ваттах), если R = 5 Ом и I = 7 А.
Решение
Подставим известные величины R = 5 Ом и I = 7 А в формулу P = I2R, и найдем P:
P = 72∙5 = 245.
Ответ: 245.
Пример 2 [3]Условие
Среднее геометрическое трёх чисел: a, b и c – вычисляется по формуле

Решение
Подставим известные величины a = 5, b = 25, c = 27 в формулу


Ответ: 15.
Пример 3 [4]Условие
Площадь четырёхугольника можно вычислить по формуле

Решение
Подставим известные величины d1 = 4,d2 = 3 и sin α = 5/6 в формулу


Ответ: 5.
Задание 5. Начала теории вероятностей
5.1. Общие вопросы
В спецификации контрольных измерительных материалов для проведения в 2024 году единого государственного экзамена по МАТЕМАТИКЕ (базовый уровень) в качестве проверяемого результата обучения применительно к заданию 5 указывается «умение вычислять в простейших случаях вероятности событий».
Уровень сложности – базовый.
Максимальный балл за выполнение задания – 1.
Примерное время выполнения задания выпускником (мин.) – 10.
Чтобы решить задание 5 по математике базового уровня необходимо знать:
• классическое определение вероятности,
• что такое противоположные события,
• определение несовместных событий,
• что такое пересечение несовместных событий.
Классическое определение вероятностиВероятностью события A называется отношение числа благоприятных для A исходов к числу всех равновозможных исходов:
P(A) = m/n, где n – общее число равновозможных исходов, m – число исходов, благоприятствующих событию A.
Противоположные событияСобытие, противоположное событию A, обозначают Ā. При проведении испытания всегда происходит ровно одно из двух противоположных событий и
P(A) + P(Ā) = 1; P(Ā) = 1–P(A).
Определение несовместных событийДва события A и B называются несовместными, если отсутствуют исходы, благоприятные одновременно как событию A, так и событию B.
Событие C означает, что произошло хотя бы одно из событий A и B (пишут C = A∪B).
Если события A и B несовместны, то вероятность их объединения равна сумме вероятностей событий A и B:
P(A∪B) = P(A) + P(B)
Пересечение независимых событийДва события A и B называются независимыми, если вероятность каждого из них не зависит от произойдет или не произойдет другое событие.
Событие C называют пересечение событий A и B (пишут C = A∩B), если событие C означает, что произошли оба события A и B.
Если события A и B независимы, то вероятность их пересечения равна произведению вероятностей событий A и B:
P(A∩B) = P(A)∙P(B)
Определить из условия задачи необходимые величины.
Подставить значения и вычислить вероятность.
5.2. Примеры заданий и методика их выполнения
Пример 1 [3]Условие
В чемпионате по прыжкам в воду участвуют 35 спортсменов: 7 из России, 12 из Китая, 9 из Японии и 7 из США. Порядок, в котором выступают спортсмены, определяется жребием. Найдите вероятность того, что спортсмен, выступающий первым, окажется из России.
Решение
В данной задаче применимо классическое определение теории вероятности. Таким образом, n = 35 (общее число равновозможных исходов), m = 7 (число исходов, благоприятствующих событию A), так как по условию и России учувствует 7 спортсменов. Следовательно, запишем решение задачи:
P(A) = 7/35 = 1/5 = 0,2.
Ответ: 0,2.
Пример 2 [3]Условие
Из каждых 100 лампочек, поступающих в продажу, в среднем 3 неисправны. Какова вероятность того, что случайно выбранная в магазине лампочка окажется исправной?
Решение
1. Для начала вычислим количество исправных лампочек:
100–3 = 97.
2. Таким образом, мы понимаем, что из 100 лампочек 97 исправны и 3 неисправны, т.е., n = 100, а m = 97. Тогда воспользовавшись формулой классической теории вероятности, найдем решение задачи:
P(A) = 97/100 = 0,97.
Данную задачу можно решить еще одним способом.
1. Найдём вероятность того, что случайно выбранная в магазине лампочка окажется неисправной:
P(A) = 3/100 = 0,3.
2. А так как нам нужно найти вероятность того, что случайно выбранная в магазине лампочка окажется исправной, т.е., событие, противоположное событию P(A), то воспользуемся формулой для нахождения события, противоположного данному:
P(Ā) = 1–0,3 = 0,97.
Ответ: 0,97.
Пример 3 [4]Условие
Научная конференция проводится в 4 дня. Всего запланировано 50 докладов: первые два дня – по 13 докладов, остальные доклады распределены поровну между третьим и четвёртым днями. На конференции планируется доклад профессора К. Порядок докладов определяется случайным образом. Какова вероятность того, что доклад профессора К. окажется запланированным на последний день конференции?
Решение
1. Выясним, сколько докладов будет представлено в каждый из 4-х дней конференции (так как всего запланировано 50 докладов: первые два дня – по 13 докладов, остальные доклады распределены поровну между третьим и четвёртым днями, то в третий и четвёртый день будет представлено по (50–13–13) : 2 = 12 докладов). Выпишем подробнее:
• в первый день – 13;
• во второй день – 13;
• в третий день – 12;
• в четвертый день – 12.
2. Воспользуемся формулой классической теории вероятности. В данном случае n = 50, а m = 12:
P(A) = 12/50 = 0,24.
Ответ: 0,24.
Задание 6. Выбор оптимального варианта
6.1. Общие вопросы
В спецификации контрольных измерительных материалов для проведения в 2023 году единого государственного экзамена по МАТЕМАТИКЕ (базовый уровень) в качестве проверяемого результата обучения применительно к заданию 6 указывается «умение извлекать информацию, представленную в таблицах, на диаграммах, графиках».
Уровень сложности – базовый.
Максимальный балл за выполнение задания – 1.
Примерное время выполнения задания выпускником (мин.) – 11.
Чтобы решить задание 6 по математике базового уровня необходимо уметь:
• собирать комплект,
• выбирать наилучший варианта из двух/трех/четырех возможных вариантов.

