
ОБЖ в вопросах и ответах

Елена Мурадова, В. С. Алексеев, И. С. Давыдова
ОБЖ в вопросах и ответах
Все права защищены. Никакая часть электронной версии этой книги не может быть воспроизведена в какой бы то ни было форме и какими бы то ни было средствами, включая размещение в сети Интернет и в корпоративных сетях, для частного и публичного использования без письменного разрешения владельца авторских прав.
Глава 1. Биосфера и человек
1. Что такое биосфера и какое место занимает в ней человек?
По В. И. Вернадскому (это русский ученый начала XX в.), биосфера есть область жизни и среда обитания всех видов организмов, включая самого человека; она представляет собой особую оболочку земного шара со сложным строением. Формирование биосферы происходило в течение нескольких миллиардов лет. Современные ученые рассматривают биосферу как наиболее крупную, глобальную экосистему, поддерживающую планетарный круговорот веществ. В настоящую эпоху жизнь распространена в верхней части земной коры (литосфере), в нижних слоях воздушной оболочки Земли (атмосфере) и в водной оболочке земного шара (гидросфере). В глубь земной коры живые организмы проникают на сравнительно небольшое расстояние. Это объясняется тем, что в литосфере жизнь ограничивает прежде всего температура горных пород и подземных вод, которая постепенно возрастает с глубиной и на уровне от 2 до 16 км достигает 100 °С и более (в зоне вулканической активности от 200 °С до 1500 °С).
Концентрация и активность жизни наиболее велики у поверхности Земли. В морях и других водоемах наиболее густо заселены живыми организмами мелководья. На суше более 99 % живого вещества или биомассы сосредоточено в слое на несколько метров вглубь и на несколько десятков метров вверх от поверхности (в виде лесных массивов из различных пород деревьев).
Таким образом, все многообразие организмов, включая человечество, сосредоточено практически в тончайшей пленке планеты, где и протекают все главные процессы взаимодействия неживой (косной) и живой природы.
Ученые современности называют этот тонкий деятельный слой в оболочке Земли биосферой, или биоценотическим покровом, ландшафтной оболочкой; рассматривают человека, все человечество в целом как производный продукт биосферы, сформировавшийся в ходе сложнейших эволюционных процессов, которые протекали в течение сотен миллионов лет на планете Земля. Ученые-экологи выделяют человечество как общемировую популяцию биологического вида, неотъемлемую составную часть экосистемы Земли. При таком подходе к данной проблеме они считают, что человек входит в биотический компонент биосферы, где он связан пищевыми цепями с продуцентами, является консументом первого и второго (иногда третьего) порядка, гетеротрофом, пользуется готовым органическим веществом и биогенными элементами, включен в круговорот веществ биосферы и подчиняется закону физико-химического единства вещества В. И. Вернадского – живое вещество физико-химически едино. Нормативная и безопасная жизнедеятельность человека невозможна без непрерывного притока атмосферного кислорода, питьевой воды, пищи, причем в условиях постоянного взаимодействия со средой обитания. Человечеству присущи аналогичная генетическая цель (в виде продолжения рода) и весь спектр экологических связей, которые выявлены в природных популяциях всех других биологических видов. Это обусловлено его биологическим происхождением, принадлежностью к миру живой природы, в котором действуют биологические законы. Отсюда вытекает главный вывод: человек как биологический вид Homo sapiens неотделим от биосферы. В. И. Вернадский дал такое определение положения человека в биосфере: «Человек, как и все живое, может мыслить и действовать в планетарном аспекте только в области жизни – в биосфере, в определенной земной оболочке, с которой он неразрывно связан и уйти из которой он не может. Его существование есть ее функция». Термин «биосфера» (от греч. bios – «жизнь» и sphaira – «шар») впервые применил Э. Зюсс в 1875 г., понимавший ее как тонкую пленку жизни на земной поверхности. Но целостное, емкое учение о биосфере создал В. И. Вернадский, развивший представление о живом веществе как огромной геологической (биохимической) силе, преобразующей свою среду обитания. В книге «Биосфера» (1926 г.) В. И. Вернадским были изложены основы учения о биосфере, сохранившие свое определенное значение и в современной науке. Биосфера занимает нижнюю часть атмосферы, верхние слои литосферы и всю гидросферу, при этом четкой границы ее не существует, она в большей степени условна.
Биосфера как место современного обитания организмов вместе с самими организмами подразделяется на 3 подсферы:
1) геобиосферу – верхнюю часть литосферы, населенную геобионтами;
2) гидробиосферу – гидросферу без подземных вод, населенную гидробионтами;
3) аэробиосферу – нижнюю часть атмосферы, населенную аэробионтами.
В 1990 г. Н. Ф. Реймерс (российский ученый) предложил рассматривать биосферу как оболочку с более сложной структурой, обосновывая это новейшими данными исследований, проведенными учеными во второй половине XX в. (1970–1980 гг.): абиосфера (глубина от 25 км до 11 км ниже уровня океана), метабиосфера (глубина от 11 км до 6 км), гипобиосфера (глубина от 6 до 5 км), теллуробиосфера (глубина от 5 до 1 км), гипотеррабиосфера (глубина от 1 км до 0 – уровня мирового океана), педосфера (от 0 до 840 м), фитосфера (от 840 м до 1,5 км), тропобиосфера (от 1,5 км до 5–6 км над уровнем моря).
2. Что такое атмосфера? Последствия ее загрязнения
Атмосфера – это сплошная воздушная оболочка Земли, своего рода защитное покрывало, предохраняющее все живое на поверхности планеты от губительного воздействия Космоса и в первую очередь от мощного солнечного облучения, так называемого солнечного ветра. Поэтому значение атмосферы очень велико, без нее жизнь на Земле была бы практически невозможна.
Наглядный пример тому спутник Земли – Луна. Атмосфера – это смесь газов, называемая воздухом, в котором во взвешенном состоянии находятся мелкие жидкие и твердые частицы (аэрозоли). В сухом чистом воздухе в объемных процентах содержится 78 % азота, 21 % кислорода, 0,9 % аргона, 0,03 % углекислого газа и около 0,003 % смеси неона, гелия, криптона, ксенона, оксидов азота, метана, водорода, паров воды и озона. На долю водяного пара приходится до 3 % объема атмосферы. Состав и свойства атмосферы на разных высотах неодинаковы, поэтому ее подразделяют на тропосферу, стратосферу, мезосферу, термосферу и экзосферу. Последние три слоя в ряде случаев рассматривают как один и определяют термином «ионосфера». В атмосфере имеется также пыль, значительная часть которой поднята с поверхности Земли, но также присутствует космическая и бактериальная пыль. В тропосфере сосредоточены 4/5 атмосферного воздуха и весь водяной пар. В этом слое атмосферы развиваются все погодные явления. От распределения тепла, давления и содержания водяного пара в атмосфере зависят погодные процессы и климат в целом. Общеизвестно, что водяной пар является источником всех осадков, увеличивает влажность воздуха и соответственно его плотность, а кроме того, поглощает солнечную радиацию. Температура тропосферы с высотой уменьшается и на высоте 10–12 км достигает –55 °С. Тропосфера занимает слой атмосферы от 0 до 7 км у полюсов и до 18 км у экватора. Выше этого слоя начинается стратосфера, верхняя граница которой находится на высоте около 40 км. В этом слое атмосферы (стратосфере) температура постепенно возрастает до 0 °С, причем на высоте 22–24 км имеется максимальная концентрация озона – озоновый слой, который поглощает большую часть губительного для живых организмов жесткого излучения Солнца. За стратосферой следует слой, называемый мезосферой, простирающийся до 80 км, в нем температура падает до –60–80 °С. Наблюдается высокое содержание ионов газов, являющихся причиной возникновения полярных сияний. За слоем мезосферы находится слой термосферы, верхняя граница которого прослеживается на высоте до 800 км. В этом слое растет температура, увеличивается содержание легких газов (водорода и гелия) и заряженных частиц. Выше термосферы располагается слой экзосферы до высоты 1500–2000 (3000) км, здесь происходит рассеивание (диссипация) атмосферных газов в космическое пространство.
Вторая половина XX в. характеризовалась нарастающим широкомасштабным загрязнением атмосферы, причем не только в приземном слое, но и на больших высотах. Это загрязнение атмосферы было обусловлено выбросами пыли, различных газов от промышленных предприятий, тепловых электростанций, от транспорта, работающем на дизельном топливе, бензине, мазуте, метане и др. Причем в указанный период времени происходил значительный рост числа крупных промышленных предприятий, транспорта всех видов – автомобильного, морского, речного, воздушного. Рост промышленного производства и всего мирового хозяйства был обусловлен несколькими причинами:
1) ростом численности населения на планете Земля;
2) урбанизацией;
3) безудержной гонкой вооружений в противостоящих друг другу главных державах мира – СССР и США, а также в странах – союзниках соответственно.
Свою «долю» в загрязнение атмосферы вносили и вносят промышленные предприятия в развивающихся и индустриальных странах Азии, Африки и Латинской Америки. Другим поставщиком дыма и загрязняющих веществ в атмосферу являются частые лесные пожары в различных районах Земли и особенно в России, на огромных площадях в Сибири и на Дальнем Востоке. В крупных городах – промышленных центрах при неблагоприятных погодных условиях (отсутствии ветра и температурной инверсии в слое 300–400 м – вместо обычного понижения температура воздуха повышается) летом или зимой образуется смог – ядовитая смесь дыма, тумана и пыли, содержащая оксиды серы, углерода, азота, органические пероксиды, альдегиды и т. д. Смог вызывает обострение респираторных заболеваний, раздражение и слезоточивость глаз, общее ухудшение физического состояния вплоть до летального исхода (например, в 1952 г. в Лондоне от смога за 2 недели погибло более 4000 человек). Другим последствием загрязнения атмосферы является кислотный дождь – дождь или снег, подкисленный до рН < 5,6 из-за растворения в атмосферной влаге компонентов различных техногенных выбросов (диоксида серы, оксиды азота, хлороводорода и др.). Кислотные дожди обычно выпадают недалеко от крупных промышленных районов, в результате их воздействия происходят:
1) снижение урожайности многих сельскохозяйственных культур;
2) ухудшение состояния и даже гибель целых лесных массивов;
3) закисление пресноводных водоемов (в том числе и с питьевой водой в водозаборных для нужд населения городов);
4) снижение рН почвы;
5) биоцидное воздействие на растительность (особенно в садово-огородных хозяйствах пригородов).
Медицинская статистика свидетельствует о значительном росте заболеваний сердечно-сосудистой, дыхательной систем (а также онкологических) в районах с загрязненной атмосферой. Загрязнение атмосферы является серьезной глобальной экологической проблемой.
3. К каким последствиям приводит загрязнение воды
Загрязнение воды в различных водоемах и водных системах на суше происходит разными путями: во-первых, в результате воздействия систематически выпадающих кислотных дождей, содержащих азотную, серную и органические кислоты, а также некоторые сложные химические соединения; во-вторых, в результате сброса сточных вод бытовых, промышленных и сельскохозяйственных производств; в-третьих, в результате стока с полей дождевой или из оросительных систем воды, в которую попадают пестициды, гербициды и минеральные удобрения. Одновременно происходит постоянное загрязнение вод Мирового океана, особенно в прибрежной зоне. Эти области загрязненной морской воды хорошо прослеживаются со спутников, работающих по специальной программе экологического контроля, а также с управляемых космических станций. В результате загрязнения вод Мирового океана стоками различных химических веществ, нефтепродуктами происходит уничтожение фитопланктона, который считается основным источником кислорода на планете и основным кормом для морских животных и рыб. По оценкам специалистов, часть рыбных запасов уже загрязнена высокими дозами солей тяжелых металлов (это относится и к рыбе, обитающей в различных водоемах суши). Общеизвестно, что вода – основной компонент жидкой среды организма человека, причем в организме взрослого человека ее содержится около 60 %. В итоге активной хозяйственной деятельности человека в течение второй половины XX в. в настоящее время практически невозможно найти экологически чистую воду в открытых водоемах. Даже озеро Байкал, в котором содержатся основные запасы пресной воды нашей планеты, тоже подвергается химическому загрязнению. В результате глобального загрязнения водоемов водопроводная вода содержит химические органические и другие соединения и без предварительной очистки не может считаться питьевой. Специалистами-экологами установлено, что действие кислотных осадков на водные экосистемы многообразно. Попадая в водные источники, они повышают кислотность и жесткость воды. При этом если рН ниже 6, то сильно подавляется деятельность ферментов, гормонов и других биологически активных веществ, от которых зависят рост и развитие организмов. Исследованиями установлено, что особенно отрицательное действие проявляется в основном на яйцеклетках и молоди, где накапливаются канцерогены (вредные для живого организма вещества). В результате постоянного накопления целого комплекса вредных веществ (нитратов, нитритов, кадмия, свинца, серы, ртути и т. д.) многие реки, пруды, озера потеряли более половины обитавших в них живых организмов, в том числе и рыбы. Некоторые породы рыб приспособились к наличию в воде канцерогенов, но использование такой рыбы в пищу весьма рискованно для здоровья человека. В настоящее время согласно экологической статистике на Земле насчитываются многие тысячи озер, в которых погибли практически все обитатели. По данным шведских экологов, в этой стране в 14 000 озер погибли наиболее чувствительные виды организмов, а 2200 озер фактически безжизненны! В России также имеется очень много безжизненных водоемов, в основном находящихся в крупных промышленных районах. Общеизвестно, что более 98 % всех водных ресурсов Земли составляют соленые воды морей, океанов и др. И только около 2 % – пресной воды, основная часть которой сосредоточена в ледниках, причем эти ресурсы используются очень мало.
На долю остальной части пресных вод, пригодных для водоснабжения, приходится всего лишь 0,3 % объема гидросферы. В настоящее время во многих районах Земли наблюдается острая нехватка пресной воды, в частности в России – в Калмыкии, Сальских степях, на Черных землях. Как показывает медицинская статистика, потребление населением пресной воды загрязненной различными канцерогенами (химическими веществами) вызывает заболевания желудочно-кишечного тракта, печени, почек и т. д. На водозаборных системах городов обработка воды, предназначенной для питьевых нужд, дает лишь очистку от вредных, болезнетворных микробов и бактерий, а также от твердых частиц – песка, глины и пр. Загрязнение воды происходит также в процессе транспортировки ее по трубопроводным городским системам и перекачке питьевой воды водонапорными внутригородскими станциями. Отечественная промышленность выпускает целую серию фильтров для очистки водопроводной воды:
1) «Аквалон» – избавляет воду от неприятного запаха и привкуса, очищает от ядохимикатов, микробов, солей тяжелых металлов, соединений железа, радиоактивных компонентов, фенологуминовых кислот;
2) «Барьер» аналогично «Аквалону» производит высокоэффективную очистку водопроводной воды;
3) «БИП – 1» предназначен для получения доброкачественной питьевой воды из любых пресноводных источников;
4) «Лидер» – получение воды, пригодной для питья, из любых природных источников;
5) «Крымская росинка» – изготавливается в виде мембранного фильтра, не требует сменных элементов, напора водопроводной сети, электричества;
6) «Сильва-93-Э» – ионатор бытовой для обеззараживания воды ионами серебра;
7) «Шунгитовый фильтр» – в нем используется природный камень шунгит. После очистки водопроводной воды этим фильтром она приобретает свойства лечебной воды.
4. Как осуществляется расчет выпусков сточных вод в водоемы
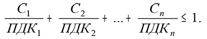
Перед осуществлением выпусков сточных вод в водоемы производится предварительный анализ по содержанию вредных веществ в промышленных или бытовых сточных водах. Затем устанавливается предельно допустимая концентрация (ПДК) по каждому виду: например, по нефтепродуктам ПДК установлен в пределах 0,1 мг/л, по железу (Fe2+) – 0,5 мг/л; по меди (Си2+) – 1,0; поверхностно-активным веществам (ПАВ) – 0,5 мг/л; фенола 0,001 мг/л; азота нитратов – 10,0 мг/л; азот аммиака – 2,0 мг/л; цинка – 1,0 мг/л; кобальта (Со2+) – 1,0 мг/л и т. д. По каждому химическому веществу, попадающему в сточные воды, специалистами установлены ПДК. Кроме того, существуют специальные Правила охраны поверхностных вод от загрязнения сточными водами, при этом все водные объекты отнесены к двум категориям: первая – источники хозяйственно-питьевого водоснабжения, а также водоснабжения предприятий пищевой промышленности; вторая – объекты для отдыха населения, спорта и купания. Также на две категории подразделяются водные объекты рыбохозяйственного использования: первая категория включает водные объекты, в которых сохраняются и воспроизводятся ценные виды рыб, обладающих высокой чувствительностью к кислороду и загрязнениям; вторая категория – водные объекты, используемые для других рыбохозяйственных целей. ПДК того или в иного вещества в сточных водах всех видов устанавливается по тому признаку вредного действия (влияния на здоровье населения по токсикологическому действию и т. д.), который характеризуется меньшей пороговой концентрацией. Исследованиями установлено, что этот признак вредности определяет характер наиболее вероятного неблагополучного действия наименьших концентраций веществ. Соответственно, он получил название лимитирующего признака вредности (ЛПВ). Этот признак является главным показателем при планировании сброса сточных вод в какой-либо водоем (водный объект, хранилище, отстойники и т. д.). Лимитирующий признак вредности того или иного вещества обязательно учитывается при строительстве (сооружении) оборудования или отстойников, через которые пропускаются сточные воды. При этом в очистном оборудовании обязательно применяются фильтры различных видов, в частности нефтеловушки, песколовки и т. д. Отстойники выполняются первичными горизонтальными, первичными вертикальными и двухъярусными. Далее при необходимости снижения концентрации вредных веществ в сточных водах, устанавливаются аэротенки и метатенки. Бытовые сточные воды в обязательном порядке при выполнении сброса предварительно подвергают обеззараживанию – в основном хлорированию (обычно в отстойниках или после них). Правила охраны поверхностных вод требуют соблюдения принципа гигиенического нормирования при одновременном присутствии в воде нескольких вредных веществ. Согласно этому принципу вещества одного лимитирующего признака вредности проявляют аддитивное действие. Это означает, что общее воздействие двух или нескольких веществ одного ЛПВ (содержащихся в предельно допустимой концентрации каждое) будет таким же, как если бы какое-нибудь из них, присутствуя в сточных водах, содержалось в двух или нескольких ПДК. Данное положение в Правилах охраны поверхностных вод зафиксировано в следующей форме: при наличии в сточных водах нескольких веществ с одинаковым ЛПВ сумма отношений этих концентраций (С1, С2, …Сn) к соответствующим ПДК не должна превышать 1, т. е.:

В тех случаях, когда ПДК не определен и находится на стадии разработки, используют такие показатели, как ОДК – ориентировочно допустимая концентрация. Кроме того, при расчете сточных вод обязательно устанавливается предельно допустимый сброс (ПДС) – максимальное количество загрязняющих веществ, которое в единицу времени разрешается данному конкретному предприятию сбрасывать в определенное место, в том числе в водный объект, не вызывая при этом превышения в них предельно допустимых концентраций загрязняющих веществ и неблагоприятных экологических последствий. В ряде случаев для некоторых предприятий устанавливаются значения временно согласованных сбросов вредных веществ в сточных водах и вводится поэтапное снижение показателей сбросов вредных, загрязняющих веществ до значений, которые обеспечивают предельно допустимый сброс (ПДС). Также для каждого предприятия устанавливается предельно допустимый объем (ПДОСВ) сточных вод в сутки, в месяц, квартал и всего в год. За всеми параметрами, установленными применительно к сточным водам, осуществляется постоянный экологический контроль. В случае нарушения расчетных параметров по сточным водам (особенно при превышении ПДК вредных веществ) органами экологического контроля на виновных налагаются штрафы, которые взыскиваются в бесспорном порядке. При частом или постоянном превышении ПДК вредных веществ в сточных водах принимаются радикальные меры в отношении виновных вплоть до закрытия отдельных производств или предприятий полностью.
В настоящее время в России на нормативах ПДС работают лишь 15–20 % загрязняющих производств, на ВСВ – 40–50 %, а остальные сбрасывают сточные воды на основе лимитных сбросов, которые определяют по фактическим показателям.
5. Какие средства защиты гидросферы существуют
Гидросфера представляет собой прерывистую водную оболочку Земли; включает в себя все реки, озера, моря, океаны, а также подземные воды, льды и снега высокогорных и полярных районов. Соответственно составляющим гидросферу водным объектам ее подразделяют на поверхностную и подземную. Поверхностная гидросфера покрывает земную поверхность на 70,8 %, в виде водной оболочки поверхностной части Земли. Ее составными частями являются: воды рек, озер, различных водохранилищ, болот, морей, океанов; снежные покровы и ледники горных систем, Арктики и Антарктики. Ряд ученых, в частности Н. Ф. Реймерс (1990 г.), выделяют гидробиосферу, включающую маринобиосферу или океаносферу (с маринобионтами) – моря и океаны и аквабиосферу (с аквабионтами) – континентальные, главным образом, пресные воды, которая в свою очередь разделяется на лиманоаквабиосферу – стоячие континентальные воды и реоаквабиосферу – проточные континентальные воды. Кроме того, гидробиосфера делится (ими же, учеными) на слои, связанные главным образом с интенсивностью света: фотосферу – относительно ярко освещенный слой (до 1500 м), дисфотосферу – всегда сумеречный слой, куда проникает до 1 % солнечной инсоляции (от 200 м до 1 км), афотосферу – слой абсолютной темноты, где невозможен фотосинтез (глубже 1 км).
Подземная гидросфера – это воды, находящиеся в верхней части земной коры; их называют подземными. Сверху подземная гидросфера ограничена поверхностью земли, нижнюю ее границу проследить невозможно, так как гидросфера очень глубоко проникает в толщу земной коры. По отношению к общему объему земного шара общий объем гидросферы не превышает 0,13 %. На Мировой океан приходится основная часть гидросферы – 96,53 %. Подземные воды составляют 1,69 % от общего объема гидросферы, на воды рек, озер, водохранилищ, снегов и ледников приходится самая малая часть. Таким образом, в общем итоге более 98 % всех водных ресурсов Земли составляют соленые воды морей и океанов, некоторых озер, а пресных вод всего лишь около 2 %. Причем основная часть пресных вод сосредоточена главным образом в ледниках, воды которых используются в мизерном объеме. На долю остальной части пресных вод, пригодных для водоснабжения, приходится всего лишь 0,3 % объема гидросферы. Приведенные цифры наглядно показывают недостаточность обеспечения всего населения Земли пресной водой. Для покрытия дефицита в пресной воде в ряде стран построены опреснительные установки, на которых производится опреснение морской воды. Существуют также проекты транспортировки ледяных айсбергов к берегам стран, испытывающих острую нехватку в пресной воде. По данным российских ученых – В. И. Коробкина, Л. В. Передельского (2000 г.), в реках Земли сосредоточено 2,1 тыс. км3 пресной воды, что составляет всего лишь 0,0002 % от общих мировых запасов воды; в озерах – 176 тыс. км3, или 0,014 % от общих мировых запасов воды; в почвах (по этим же данным) содержится влаги всего 16,5 тыс. км3, или всего лишь 0,001 % от общих мировых запасов воды. Такой же процент воды содержится в парах атмосферы – 0,001 %; во всех болотах Земли запасы воды мизерны (по отношению к общим мировым запасам) – 0,0007 %. Все вышеприведенные цифры по запасам пресной воды подводят к выводу о необходимости защиты всех объектов гидросферы Земли, причем в глобальном масштабе. В России разработан специальный государственный Водный кадастр, задача которого – текущая и перспективная оценка состояния водных объектов с целью планирования использования водных ресурсов, предотвращения истощения водоисточников, восстановления качества воды до нормативного уровня. Кроме того, на основе материалов Водного кадастра определяется целевое использование вод, проводятся паспортизация и изъятие из хозяйственного оборота наиболее ценных водных объектов гидросферы на территории страны, вводятся ограничительные меры по водопользованию с целью охраны водоисточников. Еще в последней трети ХХ в. в СССР были приняты законодательные акты, в которых были определены конкретные меры по защите гидросферы и, в частности, в бассейнах рек Волги и Урала, Каспийского моря, Байкала и др. Первая «линия» защиты гидросферы проходит в атмосфере – это ослабление интенсивности кислотных дождей путем сокращения выбросов вредных веществ в атмосферу. Как известно, кислотные дожди загрязняют не только поверхностные воды, но и грунтовые. Вторая «линия» защиты гидросферы – это жесткий экологический контроль за сбросом сточных вод в различные водные объекты. Третья «линия» защиты гидросферы – это осуществление целого комплекса природоохранных мероприятий. В природоохранные мероприятия входят:

