
Aero Mobile New Orbital Extensions – II

Aero Mobile New Orbital Extensions – II
Евгений Викторович Горбачев
© Евгений Викторович Горбачев, 2024
ISBN 978-5-0062-2174-1 (т. 2)
ISBN 978-5-0062-2175-8
Создано в интеллектуальной издательской системе Ridero
09.12.2015
AEROMOBILE NEW ORBITAL EXTENSIONS II
MAGIC QUANTUM
What weather is it today and there are we? Here are questions we should ask ourselves. Third beginning is the most difficult. You need to explain the things, which you know and you don’t need to explain. Paradoxes are the theory explorations. We have electron acceleration maneuver with complex barrier. Phonon activations are two equilibrium distributions and Boltzmann kinetic dynamics. Sports are still interesting and music power with harmony is still original. 2-nd book is on sale. Life is coming to next spiral or spring lap. Current flow, gas is quantum particles assembly. So we archive line dynamics with several systems. Inductive inference machine is new language phrases. Economics in crisis, people economic are products. Balance in progress, constants – new measurements. Tomatoes holyday in Spain was some weeks ago. Kids are skating on short lifetime ice. We’ve found hyper sound. It is quantum with terahertz spectrum. Desktops are still in offices and they are asking for some maintenance. Laptops are not so fast but useful in flat space. Gravity is strong and effect is in power.
Earth field with moon give’s trivial strange attractor model that useful in dynamics and cosmic vision. Space maneuver gives acceleration and full energy equilibrium. It is New Year present with kid in family and mind in family round. Maybe it is time to think again about Perpetua mobile. In analysis we have add several factors and new parameters with energetic equilibrium. Space returns effect with new nature and minerals. May be it’s time to look at …thought drizzle. We are building the magnetic quantum gas with effect in dimension cycles and spirals as like our electric universe. Cube is nice move with vacuum semi-conductor. It gives new power with parameters and balanced load. We can look into the skies and find new constellation. Aero-transport is now probing the pressure. Antenna is solar panels voltage with control. Next stage is new wheels prototype and construction building.
Sadness can be the life page and the idea that is new composition or new light with flower regeneration. We coming to New Year than everything are moving on and become bustle. People looking souvenirs for family members and waiting like clock at 31 of December give time new lap with luck or faith and thinking soul. Enemies will try to convince you in weakness and disability but you will struggle with them and will try to catch a moment.
PROGRESS IN COMPUTER LOGIC
We result in trigger enable-disable sun control memory transformation with registry check and junctions. These storing data with new management method and allow signals value monitoring.
So, now we can pump mechanism with energy of appropriate type and keep it moving in needed direction or keep it functional in its normal behavior. This pumping is quasi-impulse, for example, phonon based and has mass. It charge structure and manage capacities. In other words, it`s electronic future. Also we can charge aero-prototype to its flying potential and orbital position acceleration. That are interesting is energy level in quantum and internal reactors capacities recharge for further action and dynamics. Calculating pulse we can get quantum efficiency and activation – turning. Activation change elasticity although pumping tune magnetic activity and drop neurotransmitter that transmit electric signals between neurons in human body. Also, pulse generates effect in photon flow.
With product supervision we can charge internal energy stations with food value and generate reserve energy for muscle activity for example. Also as every object has it electro-magnetic field we can measure it and transform in electricity for load balancing and scheme functionality. Load will keep functional and manage devices.
Soon we will analyze wave shapes for different complex wave functions and understand how it can amplify signals and give positive results in phonon gas model. This also can work with plasma or other type gas with statistics. That charge internal reactor energy capacities and control magnetic type reactions which generate electric energy and make electronic networks functional with a new quality, which produce cold and warmth, manage mechanisms which help humans to update live quality.
Also we plan to build some analogies with string theory that as we think make several corrections and new ideas in prototype construction progress.
So gear has two bases with springs or suspensions. We can calculate masses with new equation and charge balance. In atoms model we’ve resulted in atom mass-stretch equilibrium that in universal terms equalize oscillators of different type. This can even be bridge or router gear what transform frequencies and appropriately masses in oscillators. Bridge can manage different signals type and give voltage with current to load with balancing. In architecture terms we can connect bridges in more complex structures with complex objects: roads, tunnels, aero-ports, islands and part of the land on globe. This will give light, water, every load that we can imagine. These are new balance and load impulse that regenerate energy and charge capacities. This can effect in sports, music, science, finance, networks, architecture, ethics, philosophy, literature and information theory.
Driving across the galaxy, looking new Earth we explore new worlds we have in our universe. Connection lost, try to regenerate and recharge.
Thus we’ve result in wave shapes and able to analyze phase with parameters. New core will have induction and internal currents. Core example can be regenerated in computers infrastructure and implemented in nature environment.
Winter gives place for spring breath and new warm wind from West, days become longer and sun with his crown fill trees with warmth and new juices. Lemon tea is for taste and for mind state feeling positive moments that are on new wings of an angel. Spiritual feeling that is even in Antarctica and Africa. Summer is returning from sleeping forests and fields that are fog inside and river flow. Waves and tones with harmony build air streams that are songs in our eyes and souls. It can be just a picture in your aero-mobile front or back window and Earth side in millions of fields and forests. Words come inside texts and worlds, with water and heaven. Fortune is on its round and magic is in proto-matter and space. Light is between darkness and infinity. Spiritual world inside us and spirals life force runs fast to rain wall. Electrons fill channel and run further to chains of mountains and strong old century trees. It’s our home – Earth that we have to keep and care. We writing new story to fill emptiness inside and discover new power that effects in new architecture and constructions.
NEW NATURE CONVERSATIONS
New season comes; sun will be more active and shiny. Rivers will be full of water till coasts and mountains. Structure charge is new question for discussion. New nanostructure is progress in this work and prototype facility for future construction. Game is a way to rest for some time and fill freedom. New information space introduced and new energy was set on a new level.
With activation energy we can calculate and explain elastic forces in connected oscillators. Also we can calculate magnetic fields or spring extensions in any type oscillator contours. It explains binding conditions in different nodes or node mechanisms. For example we can archive equilibrium in bases where springs montaged and create anti-hit mechanism, which stabilize external forces – mechanism interaction. We should say that it also applicable in current strong mechanisms.
Now we are working with junction. It provides new vision or point of view. We result in equilibrium-non-equilibrium junction dynamics and soon will have complete picture of such physic-electronics phenomenon. Aero-prototype is on elastic element cognition stage. Reactors are stopped in Japan, regeneration is on cognition too. We’ve come to oscillators binding in quantum and classical form. It helps to connect things of different nature like inertial gas and metal. Also, we finally find truth table physical nature. It is phonons or elastic wave in classical approach. This gives another type of some phenomenon determination. It will allow innovations with new theory, space and effects.
So we transit to junction which is now bi-polar (field) transistor device with activation and each junction interaction. Method is in principle and on a new level it gives injection coefficient in mentioned device. Each activation energy portion, for electron and for hole, is injection progress in junction and recombination source in non-ray recombination which is phonon quantum with energy. Thus we have junction flow and current in junction with appropriate level. Game will began soon with new light and new electronic devices in theory or more complex schemes with new principles and equilibrium states. Energies have shift and attraction with strong field and Lorenz with elasticity’s forces rotation. Activation energy is low level and has concrete values in scientific model. We find out that electron and holes elasticity are related with atoms fields and have mobility as free particles. Model has impact in automobile injection and electronic spheres. It updates with hyper sound energy which will be the source of further exploration. We think that its manageable junction activation with particles junction through the barrier or key activation in complex scheming. It’s related with hi-frequency waves which are new field for discovery.
ELECTRONIC SCHEEMING
Analyzing several electronic devices we should result in new scheme with transmission or transformation function and digital management scheme which are controller’s program field and main function ability. Progress should give filters and generators progress in thought progress and thinking. Musical device can be another application of information theory. Electronics is not just oscillators, resonators and schemes it is also principle of survival and damage recovery. Sun light can be analyzed with junction progress and injection in principle. Giant planets are the field of galaxy research and new phenomena discoveries. We are working with several hypothesis and legends, matter and space tissue. New mechanics is not just new model it is new vision and way of thinking, new life understanding and philosophy.
Now we can enable or disable field transistor with voltage value. It helps to discuss this device as key that help to understand it in reality. Soon new scheming will progress with current calculations and new draw as it is new vision in object terms. In hypothesis we have junction characteristic and quantum existence in quadrant. Now it has near sense in complex assumption. It is electron impulse dynamics state, which can be in appropriate quadrant on characteristic diagram. And it can be particle with non-linear dynamics. Taking into account that it is manageable mechanism it can be used like key that open junctions or manage other electronic mechanisms to active state.
Also we should understand new holes endothermic reaction which as we think is amplifying moment that should be cleared. This is energetic junction question, which is flow metrics and hyper-sound recombination energy level. If previously we talking about jump through the barrier, now we talking about injection and non-ray recombination which is current too. So junction is activation energy transport and as we think mathematics oscillators that we can see in resonators, filters and different RLC circuits. Energy release is junction cold progress and self-protection from damage. Soon we will be deeply in recombination to understand currents and processes in junction charge space. It may be new radio or similar like device. It can be useful in computer logic and networks building or rebuilding progress. In composition with soliton it is new biological system or machine if you want.
THAT IS NEW CRYSTALL EFFECT
New century gives more power and more field for assumptions and hypothesis creation. Book becomes not just a piece of paper; it becomes real manuscript and research line member. In classical terms we have strong dissipation or dispersion with energy transport and facilities management. New intellect becomes not just new IQ, it becomes new conceptions line with strong or weak currents and standard accumulation or regeneration. Lights are bright and it can be seen from space and planes like universal net.
So we’ve result in ionization. From quantum point of view it is light-electron interaction that gives electron power to overcome core attraction. It is a question of internal homeostatic mitochondrial reactor.
At this time we have atom crystal cell oscillation modes table with wave function and binary code for each atom state. Also we have a breakthrough in energy estimation we’ve calculated phonon gas or elastic waves in classical point of view. Each excitation is acoustic wave. Two waves junction system is acoustic waves system with parameters and appropriate mechanics. All tables are octave spectrum with phonon energy which has energy for electrons to hop. Each hop is junction and as evident electron current. Soon we will get phonon gas estimations and Bose-Einstein statistics. Also we will progress in warmth/sound shockproof mechanism which effect crystal cell which nodes are connected with springs. That will be new solid vision and mechanism. The warmth/sound shockproof is kinetic energy – shock ionization energy difference which mathematically can be represented with in inequality.
Atoms forms molecules, so junction is a chemical reaction as we know and it should be overviewed with chemical potentials. Atoms oscillations are harmonic waves with points-springs structure. Junction is different energy states junction with energy activation and transparency coefficient. Hopes conductivity is new theme for analysis and further research progress. Activation applied in energy stations energy pumping. Activation is a question of phonon gas modeling with electrical impulse physical net junctions. It is the question of new bio-technology which is on creation stage. Energy stations repair progress is chemical reaction progress or regeneration in other words.
The interesting question also is tunneling progress which manages conductivity in semi-conductors. It is energy zone processes and hop length moments, it is activation and diffusion. It seems we are in undiscoverable region researching new effect with energy production. We have calculated hop energy for barrier tunneling. This will give new effects in scheming.
In continue of book we should say about several mistakes, first is modes that are non-linear oscillation modes with hyper-sound spectrum. Modes are octaves in musical terms and energy is elastic wave with energy transfer. Mechanical terms this is energy quantum with energy other type transformation. Also this energy activate CNN while mass absorption. Charging energy station it performs in CNN memory read/write and synchronization progress. Read/write is computer registry connection analogy in controllers with network translation via oscillator module. Physically it is modulation with hyper-sound carrier. In programming it is north bridge functions with transistors actions in memory-network module connection. It can be updated with scheming and several draws.
In network modules analysis (oscillations contours) we’ve result in phase balancing and amplitude balancing equations. Also we can build phase wave function for phase changes and phonon quantum analysis in quadrants according to hypothesis. Antigravity effect should be progressed in several months. Now we can analyze with entropy and capacity metrics, and have a possibility to parameter electrons in schemes. These should effect in reliability and networks regeneration progress.
Planning exosphere prototype we should return to reactors base principles and bosons physics which give appropriate picture in theory and make a concept construction more clear. As you remember sky sphere represented here as Ryman sphere model. So, all calculations can be done with Ryman sphere.
Building phase shapes we can analyze speed characteristics with coordinate progress. It’s mean wave behavior in different points or trace. Also it represents energy release progress in hyperspace environment. New mechanical system gives wave’s intensity analysis new different angular frequency oscillator’s synchronization. Ryman geometry gives equilibrium sky spheres new magnetic attractors model with potential barrier electron hops. It is crystal cells with Lorentz-quasi-elastic forces correlations.
PLASMA MAGNETIZATION
An interesting moment is that air and human plasma is elastic environment, thus elastic waves can be transformed with ears into charging plasma and CNN electric signals. So magnetization current can charge plasma and generate signals in brain and CNN, thus managing internal bionic environment. Also this magnetization progress is Lorenz force vector rotation, and magnetic attractor and electron orbit change. In some cases it means that plasma should attract Matter that synthesized in internal space.
Now we can say that we result in new reaction with activation energy and entropy. This gives reactions acceleration in plasma with small energy values and moves chemical equilibrium in product side. Reactions related with temperature, concentration, time and mass flows. It is possible new CNN prototype with new synapse signals transmission and plasma new equilibrium state creation. In this state all atoms formed in structure with electrons flying around induction direction and thus we can talk about plasma with non-interaction particles. This state has elastic force direction and attraction new center.
Also we can talk about ATF synthesis reaction and regeneration reaction which gives new power to the muscle system and distribute impulses in ion channels. So, bosons give additional kinetic energy for reaction and mitochondrial stations charge progress, which allow synthesis. Also it related with action potentials in CNN and new kinetic balance with Boltzmann kinetic equation.
Solitons in plasma has interesting nature and biologic effect. This could be magnetization progress with elasticity change. Electron spiral laps changes is also magnetization progress with equilibrium result. New formulas give interesting activation dependencies in reactions speed and progress.
NEURONS CNN ACTIVATION
Now we have a deal with CNN activation with elastic waves. Its soliton transformation may become an interesting synchronic progress with magnetic therapy effect. Function is classical and neurons activation is new CNN prototype formation. These networks can be digital signals model with topology and capacity charge progress. It gives new life for synthesis and reactions new balance.
CNN prototype is project model with learning weights and appropriate amount of layers. In synchronic mode we have got dynamic attractor which is physical junction gas-plasma state. This net should recognize images with perceptron logic and become an equilibrium end system state. So we have come to new neurons computer with ANN prototype.
Also we have net energy for analysis and weights set learning algorithm creation. Activation energy should manage chemical reactions in CNN and thus activate bio-levels. Output binary image is ANN work result with binary image as input. So we can speak about soliton memory based on transmembrane capacities like DRAM computer memory. Also it is an organic cells ion exchange mechanism which is K+ – Na+ membrane channels flows. Managing channels with ATF synthesis energy help in biochemical impulse generation is a way of memory synchronization and new energy and matter creation. Amplifying flows gives membrane potential gradient change – saturation, thus providing dynamical equilibrium, as progress with external magnetic field.
ION PUMP-NEURONS ACTIVATION ENERGY
(I) EA– Pumps activation energy;

T – Absolute temperature;
λ – Ion channel wavelength;
𝛏 – [Quantum] efficiency;
S – Electron cross-section;
ΔCN – Particle concentration difference (molecule, atom, ion, electron),
there ξ=Pin/Pout=Cin/Cout
in/out – is membrane signal cascade channel in and out for electrons or ions.
Now we know that neurons are oscillators like atoms and electrons. Also they are truth table strings and thus functions witch synchronize neurons networks in neurons populations. Neurons have perception and impulse which can be generated with the help of ion pumps. Neurons synchronize groups on far distances, thus making networks unique. New formulas and graphics should clear some chaos in synchrony methods, explaining relations. Networks can be modulated with special signal and be synchronized on molecules level or agreed like oscillators providing connectivity in couples, quadric or even octal or more group member’s quantity. Also we should remember that networks can be active in asynchronous mode creating memory and everyday activity.
NEURONS NET CUBE
Impulse exchange in networks is a way to impact on connectivity and energy distribution in biologic cells. Several reactions can be updated with activation effecting reactions speed and reaction products.
PROTON PUMP
Glycolysis progress gives protons for future ATF synthesis and thus support energy and signals for muscles reaction and muscles tonus. Also it gives energy for enzymes synthesis and ions and enzymes transport.
IONIZATION
As we find out phonons, or elastic waves, could provide ionization in cells and membranes with vihrons and solitons. It related with magnetic mono fields. These flows accumulate power in cells and produce water and old materials clearance, also providing ATF synthesis. Ions diffuse through membrane and create metabolism, which delete insoluble materials through reins. Concentrations provide electrical impulse generation method with external magnetic field or chemical method without it.
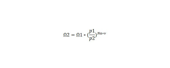
(II)

Impulse count related with protoplasm pressure difference there:
Ω – Impulse amount;
P – Plasma pressure in Axon channel [dendrite, terminal, matrix];
Na – Avogadro constant.
Both electronic and chemical methods are metabolism on cells level. Impulse current is a spike in activation energy.
So we have come to thermo-nuclear ATF synthesis reaction with neurons impulse count sum as a reaction activation signal. Ions exchange mechanisms in cells function through synthesis energy and protons allow reaction progress. Now it is possible to calculate ions current in pumps and understand it magnetic field which has torus geometry. Also we have to remember that high temperatures affect proteins, thus we should understand that activation energy is energy with temperature limits.
Membrane currents and potentials become analogical to Hodgkin-Huxley model with several inputs in neuron and one output. Soon we will calculate magnetic field impact to current channels values and its energy. But now we can say that it has capacities and voltages.
Now we know that we can measure amperage of sodium and in the way of ions relation potassium amperage. Also it is possible to calculate magnetic field strength and element concentration in flow.
Ionization is plasma function that creates network with currents. Activation energy formula creates new relation between energy and entropy (enthalpy) with potential barrier.

