
Использование ускорителей и явлений столкновения элементарных частиц с энергией высокого порядка для генерации электрической энергии. Проект «Электрон». Монография

Рис. 2.1. Джозеф Джон Томпсон
И последующие изучения привели к выводу, что электроны являются частью атома и когда они вылетают под действием электрического поля, это приводит к превращению атома в ион. Но обычный атом электрически нейтрален, следовательно, чтобы уравновешивать этот заряд в атоме должна быть часть с положительным зарядом. То есть атом состоит из зарядов, которые каким-то образом взаимодействуют. Как представляется это взаимодействие и является ли это взаимодействие объяснением поведения атомов в химических реакциях, в реакциях с поглощением и излучением света с определёнными длинами волн. Ведь атомы вполне могут быть источниками света, тот же разряженный газ излучает свет с определёнными спектрами, на строгих длинах волн и как это объясняется при помощи этих взаимодействий?
Чтобы это объяснить в 1902 году, господин Уильям Томпсон, более известный как Лорд Кельвин, предложил свою модель строение атома, а уже Джон Томпсон её исследовал более подробно, поэтому эта модель известна как модель Томпсонов. Эта модель была популярна до 1904 года и более известна как «модель пудинга с изюмом». По этой модели атом полностью состоит из положительной материи, а внутри неё находятся электроны, свободно перемещаясь. И при помощи этой модели, вполне получалось описывать некоторые результаты.

Рис. 2.2. Уильям Томпсон или Лорд Кельвин

Рис. 2.3. Модель атома водорода по модели Томпсонов
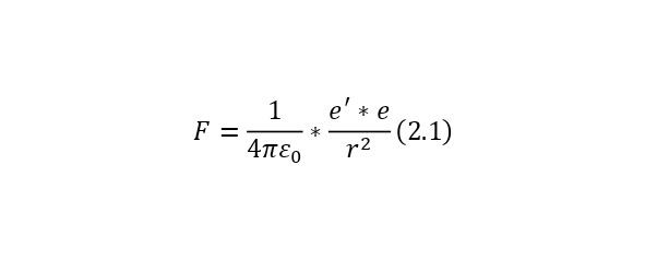
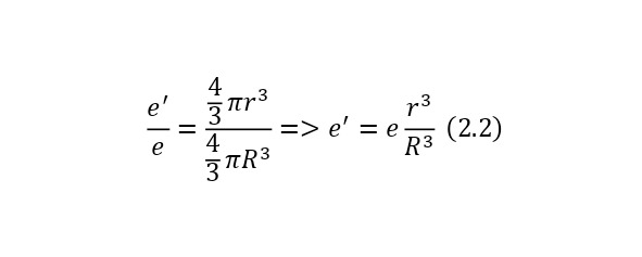
К примеру, можно описать атом водорода. Если представить в такой модели атом водорода, то электрон будет «плавать» в положительном заряде, но его будет тянуть к центру этой положительной «капле», благодаря силе электростатического равновесия. Если допустить, что электрон отходит от центра на некоторый радиус, меньший радиуса самого атома, то его будет притягивает мысленная сфера, образуемая этим радиусом. Но поскольку он заряжен равномерно, то его можно сконцентрировать в центре и просто записать по формуле Кулона (2.1).

А для определения заряда мнимой сферы, образуемой внутри общего большого заряда, можно использовать отношение этой мнимой сферы ко всей сфере, а поскольку заряд общей сферы уже известен и равен с зарядом электрона, чтобы атом был нейтрален, то и получается выражение (2.2), где и выводится заряд мнимой сферы.

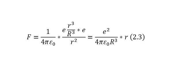
И если уже подставить это значение под силу Кулона, получается (2.3), довольно интересное выражение, которое прямо пропорционально расстоянию, на которое отдаляется электрон от центра.

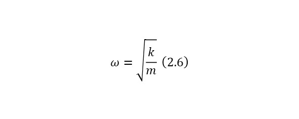
Также для дальнейшего удобства здесь можно ввести понятие, что коэффициент вне радиуса мнимой сферы, это колебательная жёсткость (2.4), а если записывать с этой жёсткостью уже не саму формулу силы Кулона, а его проекцию на радиус мнимой сферы, то получится выражение (2.5), причём отрицательный, за счёт того, что вектор силы и само расстояние (направление электрона) противоположны.


А теперь, если предположить, что электрон таким образом колеблется, то это напоминает конструкцию осциллятора или точнее математического маятника со своей жёсткостью и частотой, определяемой по (2.6).

И если подставить под (2.6) необходимую жёсткость, а в качестве массы взять массу электрона, то частота будет иметь порядок оптических волн. То есть атом светится в видимой области и даже эффект свечения можно объяснить при помощи модели Томпсона, но увы, тут возникла иная проблема. Даже если допустить, что атом водорода светится, то по этой модели он светится лишь с 1 частотой, когда как в реальности он испускает свет с 4 частотами. Так было доказано, что модель Томпсонов не верна и было необходимо создать новые модели.
Следующей моделью является модель Эрнеста Резерфорда 1908—1910 годов, который облучая металлические пластины тонкой золотой фольги радиоактивными излучениями, или точнее особыми альфа-частицами. При этом, если убрать пластинку на круговом экране (люминофоре, который светился), возникала точка, когда же ставилась пластина, то эта точка рассеивалась образуя пятно, но кроме того, часть этих лучей отражалась более чем на 90 градусов (прямой угол). И если предположить, что атом состоит так как предполагались Томпсоны, то из-за такого просто огромного «размазанного» положительного заряда на размер атома, отклонение не должно было превышать сотые доли градуса, а здесь было отклонение почти на 180 градусов.
Тогда Резерфорд и предположил, что для удовлетворения результатам эксперимента, нужно предположить, что положительный заряд сильно сконцентрировать в малой области, а всё оставшееся пространство практически пустует, поэтому частицы лишь немного рассеивались под действием электрического поля или же наталкивались на электроны, которые просто вращались вокруг атомного ядра. Именно так Резерфорд впервые и создал планетарную модель атома, по которой внутри имеется единое ядро, а вокруг него вращаются уже электроны по своим орбитам. Правда следовало ещё многое доказать, к примеру, почему электроны не падали атом, тратя свою энергию на вращение, излучая при этом энергию?
Но и на этот вопрос нашёлся ответ, благодаря коллеге Резерфорда – Нильсу Бору, который и создал модель атома водорода Бора, по его модели принимались некоторые постулаты. А именно утверждения того, что электрон не излучает энергию находясь на стационарных орбитах и могут выделять энергию в виде электромагнитного излучения (фотонов или частиц света) лишь при переходе из одной орбиты на другую, причём строго с той энергией, какой равняется разность энергии на этих двух орбитах. Из этого уже вытекало утверждение о квантовании энергии, то есть об оперировании с энергией, частицами, другими их параметрами только в виде порций. То есть не может быть плавного перехода, электрон либо он здесь есть, либо его здесь нет, либо он выделил определённое количество энергии, либо не выделил. Эта идея также поддерживалась ещё Максом Планком при изучении «совершенно чёрного тела», темы которая объясняла бы свечение при нагревании объектов.

Рис. 2.4. Эрнест Резерфорд

Рис. 2.5. Нильс Бор
Так при нагревании объектов часть энергии от столкновения атомов перетекает к ядру, а после передачи её электрону и переходу его на другой энергетический уровень, а затем обратно, наблюдается выделение фотона с определённой длиной волны, поэтому при нагревании тел они излучают свет. А уже при попадании на атом фотона внешнего, также наблюдается выход через переход электрона, но уже с более большой длиной волны и соответственно, меньшей частотой, благодаря чему и наблюдается такое явление как поглощение и отражение света. Что же касается прохода альфа-частиц при бомбардировке Резерфордом золотой фольги, то именно ядро с большим потенциалом и было причиной наличия таких результатов, как и тот факт, что практически на 99,9% атом пустой и на эти же 99,9% масса атома сосредоточена в его ядре. Таким образом модель Резерфорда смогла объяснить не только результаты того самого эксперимента Резерфорда, но и многие другие явления, что и подтверждает верность этой модели.
Также уместно указать, что электроны располагаются не только по круговым орбитам, но и по собственным отдельно определённым путям, формы которых напоминают «8» на разных осях. Это позволяет расположить гораздо большее число электронов к примеру, для таких больших атомов как уран, с порядковым номером 92, нептуний-93, кюрий-96, калифорний-98 и многие другие. Эти пути приведены из отдельной теории орбиталей, которая также доказывает явление квантования в мире элементарных частиц, откуда можно сделать вывод, что электроны не двигаются, впрочем, как и все микрообъекты, они появляются-пропадают, появляются-пропадают, такова их природа существования.
И всё это образует полную структуру атома. Эта структура образует так называемую «квантовую лестницу», которая отчетливо проявляется при определении размеров всех частиц. Сам атом имеет диаметр порядка 10—8 см, конечно он рознится у каждого атома, но средний размер равен именно этому показателю. В центре атома имеется собственное ядро с радиусом порядка 10—12 см. Вокруг ядра вращаются электроны с диаметром меньше 10—17 см, но это точечная частица для экспериментаторов, поскольку точный размер электрона на данный момент сложен в рассмотрении и даже при рассмотрении с таким показателем как 10—17 см потерей в точности не будет наблюдаться. Если только не учитывать эксперименты с повышенной точностью, направленные на исследование более высоких разрешений.

Рис. 2.6. Квантовая лестница
Ядро же само является составным и состоит из частиц именуемые нуклонами, при дальнейшим приближении можно убедиться, что внутри ядра имеется 2 типа нуклонов: протоны и нейтроны. Каждый из них по собственному размеру приблизительно составляет 10—13 см. А при дальнейшем приближении можно наблюдать уже более малые частицы – кварки. Кварки сами по себе являются уже точечными частицами и имеют размер также меньший 10—17, как и электроны.
Если говорить о дальнейшем увеличении и прохождении ещё дальше в глубины материи, то что там будет и как это выглядит, сегодня неизвестно. Но факт в том, что это сделать даже сегодня довольно трудно.
И сегодня квантовый мир предстаёт именно в этом виде. Производятся удивительные операции с этими и многими другими частицами, образуются многие другие частицы. Само же изучение квантового мира является очень даже важным, поскольку уже сегодня изучение в этой области привело к целому ряду открытий, ярким примером которого является создание технологий АЭС, создание ускорителей элементарных частиц, исследования в области проведения термоядерных реакций, широко известных под названием «создание искусственного Солнца» и многие другие исследования получили истоки именно в этой области. А также именно в этой области было зарождено исследование «Электрон», к которому и ведётся это повествование.
Открытие Конрадом Рентгеном особых лучшей испускаемых катодной трубкой, которые в дальнейшем получили имя самого Рентгена, вызвало большой фурор. Многие учёные начали активные исследования, но не успел мир оправится от этого удивления, как внезапно были открыты удивительные материалы, которые испускали эти удивительные лучи. Анри Беккерель, являющийся одним из знаменитых учёных, исследовавших флюоресценцию, решил доказать факт связи этого явления с радиоактивным источником – урановой солью. Именно тогда Беккерель в 1896 году оставил на фотопластинке материал без освещения по случайности и заметил, что на фотопластинке имелись потемнения, доказывающие, что соль сама по себе испускает удивительные лучи. Многие учёные исследовали это явление, пока не было доказано, что эти излучения – результат радиоактивного распада атомных ядер.

Рис. 2.7 Фотография, сделанная Беккерелем
Именно по этой причине 1896 год считается годом начала исследования в области атомного ядра. Также было известно, что если направить сфокусированное излучение из радиоактивного источника (урановую соль) поместив её в свинцовую камеру с единственной щелью, а затем на пути этого изучения расположить магниты, то это излучение будет разделено на 3 типа. При этом поток излучения, которое было направлено направо имеет отрицательный заряд, поток, который был повёрнут налево же имеет положительный заряд, что легко доказывается из закона Лоренца. А третье излучение, которое не было отклонено не имеет заряда.
Таким образом положительное излучение получило название альфа-частиц, а после измерения масс этих частиц исходя из формулы силы Лоренца при изменении индукции магнитного поля (принцип действия масс-спектрометра) можно было убедится, что это ядра атома гелия. Отрицательные частицы, которые были названы бета-частицами, при таком же анализе оказались просто быстрыми электронами, а лучи, которые не были отклонены, получили название гамма-излучения.
После того, как первоначально был проведён анализ структуры радиоактивного излучения, можно убедится, что само излучение состоит из 2 типов частиц и 1 типа волн, а именно гамма-излучения, благодаря чему уже можно привести общее определение радиоактивности:
Радиоактивность – самопроизвольное испускание атомными ядрами различных частиц и излучений.
Говоря уже более подробно о датах определения и исследования радиоактивности необходимо указать, что к 1900 году все типы радиоактивности уже были исследованы, хотя само атомное ядро было открыто Эрнестом Резерфордом лишь в 1911 году. Первое излучение – альфа-излучение, которое как уже было определено состоит из ядер гелия было открыто в 1898 году тем же Эрнестом Резерфордом и стало известным как альфа-распад. Также бета-распад или вылет электронов был открыт тем же Резерфордом в том же 1898 году. Но вот гамма-излучение было определено и исследовано лишь в 1900 году Полем Ульришем Виллардом.
Эти исследования и доказали, что потемнения пластин, наблюдаемые Беккерелем вызывалось именно радиоактивным излучением. Следовательно, теперь можно прийти к понятию радиоактивного распада:
Радиоактивный распад – спонтанный процесс, характерный для явлений микромира на квантовом уровне. При этом результат радиоактивного распада невозможно предсказать точно, лишь определить вероятность. Такая природа явлений не является несовершенством приборов, а является представлением уже самих процессов квантового мира.
Из этого утверждения можно сделать вывод, что должен быть некий общепринятый закон объясняющий это явление. Вывод закона радиоактивного распада представляется следующий образом:
Пусть в некий момент времени t имеется N (t) одинаковых радиоактивных ядер или нестабильных частиц и вероятность распада отдельного ядра (частицы) в единицу времени равняется λ.
В таком случае, за промежуток времени dt число радиоактивных ядер (частиц) уменьшится на dN, откуда вытекает следующее выражение (2.7).

Если же вывести из этого соотношения изменение по времени, то получается (2.8).

В (2.8) понятие τ, определяется в (2.9) и является средним временем жизни ядра (до распада), что довольно удобно к использованию, а N (0) в этом случае – это число ядер в начальный момент времени.

Также можно представить ещё один более упрощённый вид (2.8) в (2.10).

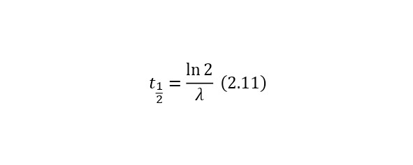
Где время с половинным индексом является периодом полураспада и вычисляется по (2.11) и равняется отдельному значению для каждого радиоактивного ядра.

Если же необходимо определить среднее число распадов (для распада с малой скоростью) вычисляется по (2.12).

При преобразовании данной закономерности образуется кривая радиоактивного распада (Рис. 2.8).

Рис. 2.8. Кривая радиоактивного распада
Из графика может увидеть, что закономерность экспоненциальная и при этом уменьшается каждый раз на половину периода с последующим уменьшением.
В качестве экспериментального анализа этого явления, можно показать следующее. Было проведено 100 измерений за одинаковый промежуток времени и при этом измерено число распадов. В результате был получен график на (Рис. 2.9), где среднее число распадов равное 77,47 совпало со значением в (2.12), что является ярким доказательством верности общей закономерности.

Рис. 2.9. Результат эксперимента
Общий вид распределения этой статистике представляется уже по иному закону. То есть вероятность Pn за время t на испытание n числа распадов выдаётся распределением Пуассона (2.13).

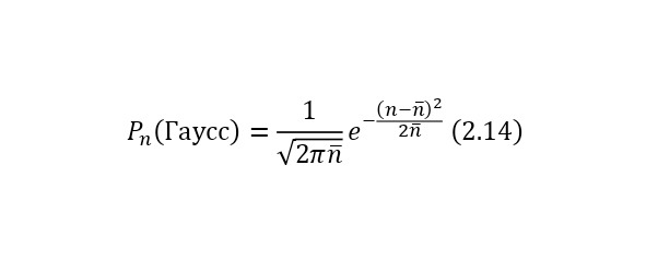
Этот вывод уже присущ теории вероятности, и если полагаться на него, то также для случая, когда (n>> 1) используются уже распределения Гаусса (2.14).

Если же выражать эти две закономерности на графиках, можно получить почти совпадающие картины с увеличением среднего числа распадов. К примеру если среднее число распадов равно 2, то имеет место некоторая разница в результатах по распределению Пуассона и Гаусса, но когда это число, к примеру, достигает 7 и больших значений, эта разность становится всё менее значительной, что показано на (Рис 2.10).

Рис. 2.10. График вероятности распада по распределениям Пуассона и Гаусса для среднего числа распада равным 2 и 7
После того как с вероятностью на нулевой скорости было решено, можно обратить внимание на случаи, когда в дело вступают эффекты теории относительности. В микромире, где размеры изучаемых объектов практически невидимы, к примеру, для атомов с их размерами в 10—8 см, для атомных ядер с их 10-12-10-13 см и для прочих частиц с 10-13-10-17 см, скорости часто бывают сопоставимы, близки или даже равны скорости света. Благодаря этому в микромире отчётливо проявляются все особенности и эффекты теории относительности.
По этой причине, важно подробнее рассмотреть соотношения и основные уравнения из теории относительности.
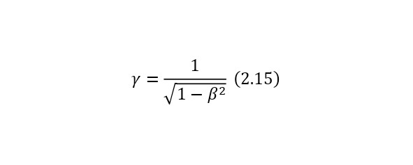
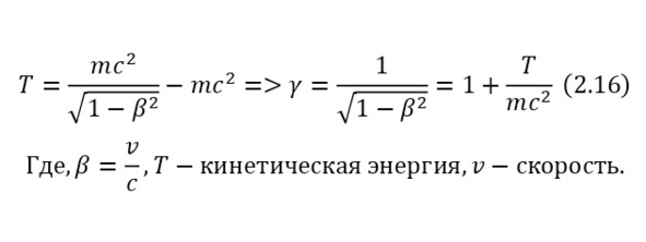
Одним из важнейших элементов в теории относительности является Лоренц-фактор (2.15), который участвует почти во всех формулах теории относительности, который также можно вывести из формулы кинетической энергии (2.16).


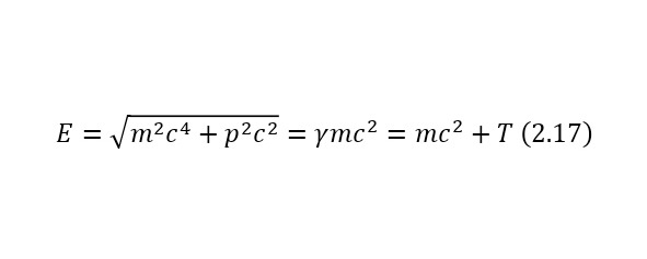
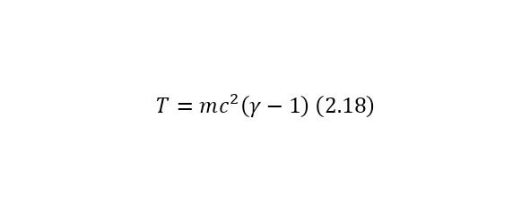
Из этих соотношений можно сделать вывод, что полная энергия, которая является суммой кинетической энергии и энергии покоя частицы определяется по (2.17).

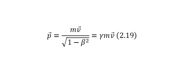
Наличие этого равенства приводит к тому, что решается проблема отсутствия формулы для вычисления энергии частиц, не имеющих масс (пример, фотон или глюон). А уже из (2.16) также можно вывести более упрощённую запись для кинетической энергии (2.18). В случае же применения (2.15) для формулы импульса (2.19), получается также упрощённый вид.


Скорость же частицы выводимая из формул полной энергии (2.17) выглядит следующим образом (2.20).

Важным элементом также в вычислениях, также это полная энергия безмассовых частиц, является формула (2.21), где выводы которой приводятся также из соотношения полной энергии (2.17).

Понятие инварианта также играет роль в этом определении. Инвариант – это неизменная величина, вне зависимости от системы отчёта, с которого ведётся наблюдение. В данном случае, инвариантом является квадрат массы или (2.22).

И при этом не имеет значение, это одна частица или система частиц, поэтому полная энергия Е также относится к частице или системе частиц, также и импульс частицы относится как к частице или же системе частиц.
Одним из самых важных моментов в изучении физики атомного ядра и элементарных частиц, является знакомство с системой единиц, которой легче всего проводить вычисления – это Гауссовая система единиц вместе с некоторыми внесистемными величинами.
Говоря о единицах энергии, то благодаря малому количеству энергий, удобно использовать единицу электронвольт (эВ), что равняется 1,6*10—19 Дж или 1,6*10—12 эрг. Эта величина представляет собой энергию, которую приобретает электрон, проходя разность потенциалов в 1 Вольт. Также уместны значения в 1 кэВ (килоэлектронвольт) или 103 эВ, 1 МэВ или 106 эВ, 1 ГэВ или 109 эВ и 1 ТэВ или 1012 эВ, что активно применяются в физике элементарных частиц и атомного ядра.
Единицей длины или расстояний принято использовать значение в 1 Ферми (Фм) в честь знаменитого учёного Энрико Ферми, что также совпадает со значением в 1 фемтометр (фм), где 1 Фм равняется 10—13 см. Что же касается массы, то она выражается в энергетических единицах mc2, к примеру, масса электрона, которая в обычной системе единиц СИ составляет 9,11*10—28 грамм, то в энергетических единицах составляет 0,511 МэВ. А масса протона, которая составляет 1,6727*10—24 грамма, в энергетическом эквиваленте составит 938,27 МэВ.
Специальная и общая теория относительности имеют множество эффектов, то большего внимания заслуживают 3 из них. Первый из них – это замедление времени для релятивисткой частицы, второй – эффект сокращения расстояния в направлении движения релятивисткой частицы и третий эффект, который между прочим, выходит из общей теории относительности – замедление времени в гравитационном поле, также известный как гравитационное красное смещение излучения. Для лучшего понятия этих эффектов, рассмотрим 3 случая.
Конец ознакомительного фрагмента.
Текст предоставлен ООО «ЛитРес».
Прочитайте эту книгу целиком, купив полную легальную версию на ЛитРес.
Безопасно оплатить книгу можно банковской картой Visa, MasterCard, Maestro, со счета мобильного телефона, с платежного терминала, в салоне МТС или Связной, через PayPal, WebMoney, Яндекс.Деньги, QIWI Кошелек, бонусными картами или другим удобным Вам способом.
Приобретайте полный текст книги у нашего партнера:

