
Методики энергетического расчета канала дальней тропосферной радиосвязи

Владимир Шлома, Иван Гвозд
Методики энергетического расчета канала дальней тропосферной радиосвязи
РЕФЕРАТ
В данной научной работе приведены две методики, в основу которых положены методики, изложенные в книге Ю.И. Давыденко «Дальняя тропосферная связь», и в рекомендациях МСЭ-R P.617, в которые внесены изменения с целью повышения достоверности и сравнимости результатов расчетов по этим методикам, а также выполнена аппроксимация графиков для автоматизации вычислений на ПЭВМ. По предлагаемым методикам вычисляется отношение сигнал/шум на входе приемника и вероятность битовой ошибки при заданных дальности и надежности связи, и предельная дальность связи при заданных вероятности битовой ошибки и надежности связи. Для расчета трасс дальней тропосферной радиосвязи, расположенных на территории бывшего СССР можно применять обе методики и сравнивать результаты вычислений. Для расчета трасс, расположенных за пределами указанной территории, применима только вторая методика. Научная работа опубликована ЦВИФ МО РФ, Сборник рефератов депонированных рукописей, Серия Б, Выпуск №118, инв. В7851. На основе предлагаемых методик разработана «Программа расчета канала ДТР» для вычисления в Matlab, позволяющая вычислять все параметры, определенные в этих методиках. Программу можно скачать бесплатно (через прокси-сервер) по ссылке: http://www.fwirpx.com/file/2354059. Исходный код программы, желающие могут скачать по ссылке: https://www.litres.ru/vladimir-ivanovich-s/energeticheskiy-raschet-kanala-dalney-troposfernoy-ra/.
Введение
Задача расчета радиолиний, использующих типовые станции дальней тропосферной радиосвязи (ДТР), состоит в том, чтобы по известным энергетическим параметрам аппаратуры определить дальность связи, при которой будет обеспечена заданная надежность связи. При этом под надежностью связи понимается процент времени по отношению к определенному периоду работы радиолинии, в течение которого обеспечивается заданное качество связи, т. е. заданное отношение сигнал/шум на выходе телефонного канала радиолинии, или заданная достоверность передачи двоичной информации (заданный процент искаженных или не принятых посылок к переданным). Количественно надежность связи определяется вероятностью того, что в течение определенного времени информация будет приниматься с заданным превышением сигнала над шумами на выходе радиолиний.
Надежность и дальность связи являются основными характеристиками, определяющими возможности станций. Они неразрывно связаны друг с другом. Нельзя говорить о дальности действия станции без указания, какая при этом обеспечивается надежность связи. Поскольку, с увеличением дальности связи значительно увеличивается ослабление радиоволн на трассе и падает уровень принимаемого сигнала, то естественно, что надежность связи при этом будет уменьшаться. Требования к дальности и надежности связи являются противоречивыми. Можно получить большие дальности при низкой надежности связи и, наоборот, можно обеспечить очень высокую надежность связи при небольшой дальности.
Тропосферные радиолинии характеризуются очень длинными трассами, обычно от 100 км до почти 1000 км. Это дает очень сильное ослабление на трассе, что можно компенсироваться использованием очень большой излучаемой мощности, большими коэффициентами усиления антенн и чувствительными малошумящими приемниками. Дополнительно в некоторых случаях может понадобиться разнесение. Используемые диапазоны частот: УВЧ и нижняя часть диапазона СВЧ.
Процесс тропосферного распространения происходит над трассами, продолжающимися за пределами нормального радиогоризонта. Существует только две постоянных при процессе тропосферного распространения на частотах выше 30 МГц: дифракция и тропосферное рассеяние.
Характерной особенностью тропосферного распространения является многолучёвость сигнала. Искажения, создаваемые задержками многолучёвости, создают интермодуляционный шум в аналоговых линиях и межсимвольные искажения в цифровых линиях.
Первые работы по механизму тропосферного распространения появились примерно в 1950 году. После этого в течение приблизительно 15 лет проводилось большое количество теоретических исследований и происходило много научных обсуждений. Превосходство одной или другой теории никогда не признавалось. Однако был признан главный механизм турбулентного рассеяния и неоднородности слоя рефракции [Friis и др., 1957г.], а также, что соответствующие процессы обоих явлений могут вести себя, в основном в зависимости от климатических характеристик рассматриваемого географического района.
Были разработаны математические модели, описывающие потери при тропосферном рассеянии, основанные на таких параметрах, как масштаб турбулентности и размер слоя. Однако из-за трудности в получении этих параметров из метеорологических измерений, эти модели не использовались в практических применениях. Поэтому для практического применения использовались методы расчета, использующие эмпирическую или полуэмпирическую модели для вычисления потерь при передаче.
В настоящее время прогнозирование тропосферного рассеяния на трассах основано на этих эмпирических или полуэмпирических методах. Два метода были опубликованы в 1965 году и использовались как справочные материалы для исследований МСЭ-R в течение более 20 лет. Один из них соответствует упрощенной версии метода Национального бюро стандартов Соединенных Штатов (НБС), впервые опубликованному в мае 1965 года и затем пересмотренному два года спустя.
Международным комитетом по электросвязи были проведены испытания трех наиболее известных методов прогнозирования потерь (Zhang, 1988 г.; Rice и др., 1967 г. и Boithias и Battesti, 1965 г.) на 25 тропосферных трассах. Испытания показали, что метод Zhang, 1988 г. дает погрешность не более 0,7 дБ, в то время как второй метод дает погрешность порядка 3 дБ, а третий – порядка 4,2 дБ. На основании первого метода были разработаны рекомендации МСЭ-R для расчета тропосферных линий связи: РЕКОМЕНДАЦИЯ МСЭ-R P.617-3 – для распространения за счет тропосферного рассеяния, и РЕКОМЕНДАЦИЯ МСЭ-R P.530-15 – для распространения за счет дифракции.
Проведенный анализ показал, что для наших целей можно использовать метод расчета трассы для тропосферного рассеяния. Метод расчета трассы для распространения за счет дифракции оказался для наших целей неприемлемым, так как предназначен для расчета конкретной трассы с известным профилем и не может быть применен для расчета обобщенных трасс при неизвестном профиле трассы.
Анализ отечественных источников показал, что для расчета обобщенной тропосферной трассы при распространении за счет тропосферного рассеяния наиболее подходит метод, изложенный в книге Ю.В. Давыденко, Дальняя тропосферная связь 1968 г. Как указывает автор, многочисленные испытания этого метода, проводимые в свое время в различных районах СССР, подтвердили достоверность расчета потерь на тропосферных линиях связи порядка 3 дБ.
В настоящее время существует много различных методик энергетического расчета канала ДТР в которых используются разные исходные данные и получаются разные результаты вычислений, зачастую, несравнимые между собой. Не имея результатов испытаний станций ДТР, практически невозможно разобраться какие из этих методик дают достоверные результаты, а какие нет. На наш взгляд, как наиболее достоверные, можно отметить две методики: методика, изложенная в книге Ю.И. Давыденко «Дальняя тропосферная связь» [1], предназначенная для расчета радиолиний, расположенных на территории бывшего СССР, и методика, изложенная в рекомендациях МСЭ-R P.617 [2], не имеющая ограничений по расположению радиолиний, но, ввиду ее глобальности, имеющая меньшую достоверность результатов вычислений. К сожалению, в этих методиках рассчитываются разные показатели и непосредственно их нельзя сравнивать, но, после их приведения к одному виду, они дают достаточно близкий результат для расчетов полного затухания на трассе в центральной части России (погрешность порядка 0,5 дБ). Однако, графоаналитический метод, используемый в этих методиках, не позволяет автоматизировать расчеты с использованием ПЭВМ.
В данной статье приведены две доработанные методики. В основу первой методики положена методика, изложенная в книге Ю.И. Давыденко «Дальняя тропосферная связь», в которую внесены некоторые изменения с целью повышения достоверности и сравнимости результатов расчетов со второй методикой, а также выполнена аппроксимация графиков для автоматизации вычислений на ПЭВМ. В основу второй методики положена методика, изложенная в рекомендациях МСЭ-R P.617, в которую внесены небольшие изменения для сравнимости результатов с первой методикой, и выполнена аппроксимация графиков. По предлагаемым методикам вычисляется отношение сигнал/шум на входе приемника и вероятность битовой ошибки при заданных дальности и надежности связи, а также предельная дальность связи при заданных вероятности битовой ошибки и надежности связи.
1.
Исходные данные:
– дальность связи R (км);
– рабочая частота fр (МГц);
– мощность передатчика Pпер (Вт);
– коэффициент шума приемника Fэ (дБ);
– кратность разнесения n;
– потери мощности в передающем фидере ηпер (дБ);
– потери мощности в приемном фидере ηпр (дБ);
– усиление антенны передатчика Gпер (дБ);
– усиление антенны приемника Gпр (дБ);
– ширина ДН антенн в обеих плоскостях α (град);
– высота подъема приемной и передающей антенн h (м);
– угол горизонта со стороны передатчика θпер (град);
– угол горизонта со стороны приемника θпр (град);
– режимы работы радиолинии:
а) телефонные каналы с частотным уплотнением:
1) № телефонного канала в линейном спектре nт;
2) эффективная девиация частоты на канал Δf (Гц);
3) средняя частота канала в линейном спектре
Fk=3100×(nт-1)+3100/2+300 (Гц);
б) телеграфные виды работы:
1) тип манипуляции: АТ, ЧТ, ФТ, ОФТ или технология OFDM;
2) количество уровней модуляции или несущих М;
3) скорость передачи двоичных сигналов V (кбит/с);
4) вероятность ошибки при передаче бинарной информации Pош для заданного процента времени и заданного периода;
– время года: наихудший зимний месяц; лето; весна или осень;
– оцениваемый период надежности связи: сутки; месяц; год;
– заданный процент времени безотказной работы Т%;
– тип приемника: оптимальный (когерентный); квазиоптимальный (некогерентный).
Примечания:
1. Угол горизонта – угол между лучами, проведенными из центра антенны в направлении излучения, один параллельно поверхности земли, а второй – на вершину препятствия.
2. Высоты подъема передающей и приемной антенн предполагаются одинаковыми.
2.
Методика расчета для радиолиний, расположенных на территории бывшего СССР
В основу предлагаемой методики положена методика, изложенная в книге Ю.И. Давыденко «Дальняя тропосферная связь» [1].
2.1 Определяем потери в свободном пространстве при использовании изотропных антенн
L0изотр=(4πR/λ)2, (2.1)
L0изотр(дБ)=22+201g(R/λ), (2.2)
где R – дальность в метрах;
λ – длина волны в метрах.
Для случая использования направленных антенн с коэффициентами усиления Gпер(дБ) и Gпр(дБ) и потерями в фидерах ηпер(дБ) и ηпр(дБ) потери в свободном пространстве будут определяться по формуле [7]:
L0(дБ)= L0изотр(дБ)+ηпер(дБ)+ηпр(дБ)-Gпер(дБ)-Gпр(дБ)=
=22+201g(R/λ)+ηпер(дБ)+ηпр(дБ)-Gпер(дБ)-Gпр(дБ). (2.3)
2.2 Вычисляем дополнительные потери Lдоп для наихудшего зимнего месяца.
Lдоп = Lмед+Lз+Lp+Lh+La+Lк, (2.4)
где Lмед – медианные потери;
Lз – потери от замираний;
Lp – потери, обусловленные влиянием неровностей рельефа местности;
Lh – потери, обусловленные влиянием земной поверхности при малых величинах отношения h/λ;
La – потери усиления антенн;
Lк – климатические потери.
Вычисляем каждую составляющую из формулы (2.4).
В методике [1] почти все потери вычисляются как положительная величина, за исключением потерь от быстрых замираний и потерь от медленных замираний, которые определяются как отрицательная величина. При этом общие потери для телефонного канала от быстрых и медленных замираний также определяются как положительная величина. Чтобы избавиться от этой путаницы, в предлагаемой методике во всех выведенных формулах потери будут определяться как положительная величина.
2.2.1 Медианные потери
Медианные потери Lмед определяются по рис. 1.

Рис. 1. Зависимость медианных величин потерь от расстояния и длины волны для зимнего месяца (сплошные линии – для зоны тропосферного рассеяния, пунктирные – для дифракционной зоны)
Для приведенных графиков (сплошные линии на рис. 1) можно записать уравнения типа Lмед=а+b×R:
Lмед=62+0,11×R, для λ=3 см; (2.5)
Lмед=61,3+0,09×R, для λ=10 см; (2.6)
Lмед=58,3+0,08×R, для λ=30 см. (2.7)
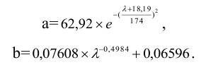
При аппроксимации коэффициентов а и b получаем формулы для их вычисления в зависимости от λ:

Формула для вычисления Lмед будет иметь вид:

(2.8)
где λ(см) – длина волны;
R(км) – дальность связи.
В случае необходимости определения Lмед для других длин волн можно приближенно считать, что значения Lмед обратно пропорциональны длине волны. Если потребуется оценить потери для летнего или другого времени года, то следует учесть сезонный ход потерь, который можно в среднем принять равным 12 дБ. Таким образом, для летних месяцев нужно значения, приведенные на рис. 1, уменьшить на 12 дБ, а в осенние и весенние месяцы – на 6 дБ.
2.2.2 Потери от замираний Lз.
2.2.2.1 Потери Lз для цифрового канала.
В методике [1] в зависимости от времени существования замирания условно разделяются на быстрые (с квазипериодом 0,1

Поэтому общие потери от замираний складываются из потерь от быстрых, и от медленных замираний Lз=Lмз+Lбз,
где Lмз – потери от медленных замираний;
Lбз – потери от быстрых замираний.
При расчете радиолиний в режиме передачи бинарных сигналов быстрые и медленные замирания, как и в методике [1], будем учитывать отдельно.
2.2.2.1.1 Расчет потерь от быстрых замираний Lбз.
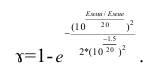
При передаче бинарных сигналов по каналам с частотным уплотнением (в случае передачи бинарных сигналов по телефонным каналам радиолинии) и при непосредственной модуляции несущей, можно считать, что коэффициент потери надежности ɤ (часть времени, в течение которого будут наблюдаться отказы от быстрых замираний) будет определяться вероятностью опускания сигнала ниже медианного значения за счет быстрых замираний Р(Lб.з.).
ɤ=1-Т%/100, (2.9)
где Т% – заданный процент времени безотказной работы.
P(Lб.з.) – вероятность превышения уровня, соответствующего Lб.з..
Р(Lб.з.) соответствует той части времени ɤ, в течении которого потери будут превышать медианные
ɤ=Р(Lб.з.), (2.10)
или через интегральную функцию:
ɤ=F(Емин/Емед.). (2.11)
Отсюда
F(Емин/Емед.)=Р(Lб.з.)=ɤ. (2.12)
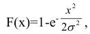
Быстрые замирания в канале дальней тропосферной связи в основном подчиняются релеевскому закону распределения. Интегральная функция релеевского закона распределения определяется по формуле:

(2.13)
На рис. 2 показаны графики интегральных функций релеевского закона распределения для σ=-1,5 дБ (красная линия), и для σ=18,5 дБ (синие точки). По оси Х отложено отношение Емин/Емед=Lбз в дБ, по оси Y – F(Емин/Емед), вероятность не превышения уровня потерь, отложенного по оси Х, при одинарном приеме.

Рис. 2. Графики интегральных функций релеевского закона распределения
Как видно из графиков, с увеличением σ кривая смещается вправо на соответствующее значение дБ параллельно первоначальному положению без изменения угла наклона. Поэтому глубина быстрых замираний относительно медианного значения Lбз, определяемая как разница между медианным значением при F(Емин/Емед)=0,5 и значением Емин/Емед при F(Емин/Емед)=ɤ, не зависит от σ и зависит только от заданного ɤ. Поэтому при расчетах Lбз удобно пользоваться графиком, построенным для σ=-1,5 дБ, у которого медианный уровень 50% соответствует затуханию 0 дБ.
Lбз од=-Емин/Емед(ɤ=F). (2.14)
Подставив значение F(x) из (2.13) в (2.14) получим:

(2.15)
Тогда для одинарного приема

(2.16)
С учетом (2.9) для одинарного приема будем иметь

(2.17)
Величину Lбз для сдвоенного и счетверенного приема в [1] и [3] предлагается определять по разным графикам, причем результаты значительно отличаются друг от друга.
В [1] определять величину Lбз для сдвоенного и счетверенного приема рекомендуется по графикам (рис. 3 или 4), соответственно.

Рис. 3. Характеристика распределения для быстрых, релеевских замираний при сдвоенном приеме (оптимальное сложение)

Рис. 4. Характеристика распределения для быстрых, релеевских замираний при счетверенном приеме (оптимальное сложение).
За нуль децибел на графиках принято медианное значение сигнала при одинарном приеме. Под процентом времени здесь понимается величина ɤ=2×Рош×100%, где Рош – заданная вероятность битовой ошибки.
В [3] приведены подобные графики, показанные на рис. 3а и 4а.

Рис. 3а. Характеристика распределения для быстрых, релеевских замираний при сдвоенном приеме

Рис. 4а. Характеристика распределения для быстрых, релеевских замираний при счетверенном приеме
Под процентом времени превышения уровня здесь понимается процент времени безотказной работы, что вполне логично.
В графиках из [1] зависимость глубины замираний от заданной вероятности битовой ошибки логичной не представляется, поскольку реальный процесс замирания не может зависеть от субъективно заданной нами величины Рош. Поэтому величину быстрых замираний будем определять по графикам из [3] рис. 3а и 4а для случая сложения сигналов с равными коэффициентами усиления.
Аппроксимировать эти графики с помощью формул не представляется возможным. Возможна только аппроксимация с помощью Smoothing Spline, что и было выполнено. При вычислении в Matlab можно использовать следующие расчетные подпрограммы с полученными при аппроксимации коэффициентами рр2.* и рр4.*:
Для сдвоенного приема:
pp2.form='pp';
pp2.breaks=[50 70 80 90 95 98 99 99.5000 99.9000 99.9900];
pp2.coefs=[3.84210275826828e-05,0,0.0796329235178138,-3.70000622094116;-8.80037940540999e-05,0.00230526165496097,0.125738156617033,-1.79997952992342;0.000378860333770322,-0.000334852166662026,0.145442251500023,-0.400075592311095;0.00209556468655813,0.0110309578464476,0.252403308297879,1.39972203979325;0.00544230028577507,0.0424644281448196,0.519880238254215,3.19945811326360;1.31340755735463,0.0914451307167953,0.921608914839060,5.28822078904555;-0.630095933072249,4.03166780278070,5.04472184833655,7.61468239195604;-1.03894174768381,3.08652390317233,8.60381770131306,11.0661982751855;-6.81405113315541,1.83979380595174,10.5743447849627,14.9350769083666;];
pp2.pieces=9;
pp2.order=4;
pp2.dim=1;
Lbz=ppval(pp2,Tpr);
Для счетверенного приема:
pp4.form='pp';
pp4.breaks=[50 70 80 90 95 98 99 99.5000 99.9000 99.9900];
pp4.coefs=[3.66286868444963e-05,0,0.0453526263896390,-6.20001612140725;-0.000113102179577539,0.00219772121066978,0.0893070506030345,-4.99993409885850;0.000326883867208858,-0.00119534417665639,0.0993308209431684,-4.00019365133871;-0.000727365934956800,0.00861117183960936,0.173489097572698,-2.79953599236381;0.0168400327937770,-0.00229931718474264,0.205048370847032,-1.80773195037969;0.604392422407672,0.149260977959251,0.645933353170556,-0.758599807069293;-0.397553159541230,1.96243824518227,2.75763257631207,0.640986946468185;-0.762714404274230,1.36610850587042,4.42190595183842,2.46071865097713;-1.66981933607921,0.450851220741332,5.14868984248313,4.39924467077825;];
pp4.pieces=9;
pp4.order=4;
pp4.dim=1;
Lbz=ppval(pp4,Tpr);
где Lbz – глубина быстрых замираний (дБ);
pp2 и pp4 – коэффициенты, полученные при аппроксимации spline;
Tpr – процент времени безотказной работы.
Примечание: В отличие от графиков рис. 3а и 4а в программе вычисляется глубина замираний, то есть величина уменьшения сигнала ниже медианного уровня, а не превышение над медианным уровнем, как показано на графиках. Поэтому знаки (+ и -) меняются на противоположные.
2.2.2.1.2 Расчет потерь от медленных замираний Lмз.
Медленные замирания оцениваются по изменению средних (или медианных) значений уровня сигнала.
Экспериментальные характеристики медленных затуханий показаны на рис. 5.

Рис. 5. Распределение медленных (за час) замираний уровня сигнала при дальности связи 150 – 200 км и λ=8,2 см.
Имеется также экспериментально снятая зависимость средних значений величины стандартного отклонения σ в зависимости от протяженности трассы, показанная на рис. 6.

Рис. 6. Изменения средних значений величины стандартного
отклонения в зависимости от протяженности трассы
Величину потерь от медленных замираний рекомендуется определять по графикам логарифмически нормального закона, изображенным на рис. 7 [1], которые близки к экспериментальным, для чего значения σ следует определять из рис.6, а Р1%=1-Р%, где Р% – заданное время безотказной работы линии.

Рис. 7. Интегральные функции распределений амплитуд сигналов
Примечание: на рис.7 опечатка, надписи σ=5 дБ и σ=10 дБ нужно поменять местами.
Для расчетов на ПЭВМ нужно получить формулы, по которым строятся графики для логарифмически нормального закона распределения, приведенные на рис. 7, причем для любых значений σ. Обратим внимание на то, что для этих графиков, отклонениям от медианного значения на величину σ (5 дБ и 10 дБ соответственно) соответствует % времени, равный 84%, то есть вероятность 0.84.
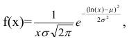
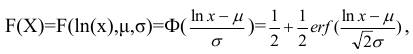
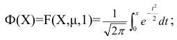
При логарифмически нормальном законе нормальному распределению подчиняется не сама случайная величина, а ее логарифм. При логнормальном распределении плотность распределения вероятности записывается формулой [8]:

(2.18)
а функция распределения рассчитывается по формуле

(2.19)
где σ – величина стандартного отклонения;
μ – смещение;


(2.20)

