
Анализ региональной антикризисной политики

Ирина Стародубровская, Наталия Зубаревич, В. С. Назаров, Е. А. Горина
Анализ региональной антикризисной политики
© Российская академия народного хозяйства и государственной службы при Президенте Российской Федерации, 2010
Введение
Экономический кризис для власти может быть вызовом и шансом, проблемой и решением. Чем стал прошлогодний кризис для российских регионов? И как реагировали региональные власти на изменение условий их деятельности, на перелом сложившихся в течение длительного времени трендов? Как боролись с трудностями? Как решали проблемы? Как использовали шансы? Что помогало и что мешало им проводить эффективную антикризисную политику? Поиск ответов на все эти вопросы в рамках настоящего исследования проводился на основе анализа антикризисной политики шести российских регионов: Калининградской, Томской, Тюменской и Вологодской областей, Пермского края и Республики Бурятия. Данная выборка регионов не претендует на репрезентативность, хотя в ее рамках соблюдено требование географического разнообразия (названные шесть регионов относятся к четырем федеральным округам; в ней представлены регионы, имеющие различные систему расселения, структуру экономики, уровень бюджетных доходов и многие другие параметры). В то же время все выбранные регионы имеют одну общую черту: в политике региональной власти каждого из них есть своя «изюминка», свои особые подходы, которые формируют лицо региона и не позволяют перепутать его ни с каким другим.
Остановимся на характеристике каждого из включенных в исследование регионов. Три из них относятся к развитым и не получают дотаций на выравнивание из федерального бюджета. Вологодская область является монопрофильным регионом с доминированием металлургии в структуре промышленности, что делает ее развитие неустойчивым и зависимым от конъюнктуры цен мирового рынка. Ведущий центр металлургии Череповец – один из самых крупных монопрофильных городов страны, а областной центр относительно невелик по численности населения, что затрудняет развитие на основе агломерационных преимуществ. Экономика Пермского края более диверсифицирована, но и в ней преобладают отрасли по добыче и первичной переработке сырья (нефть, калийные соли, лес), велики проблемы монопрофильности промышленных городов. В то же время преимуществом Пермского края является наличие крупного регионального центра с численностью населения, близкой к миллиону. Высокие показатели Тюменской области обеспечены не столько наличием на ее территории крупного нефтехимического производства и разработкой новых, относительно небольших нефтедобывающих месторождений, сколько системой межбюджетных отношений: статус «материнской» территории создает возможности по перераспределению дохода входящих в ее состав ведущих нефтегазодобывающих автономных округов. Томская область близка к развитым регионам, выделяясь уникальной структурой экономики: помимо развитой нефтедобывающей промышленности область имеет инновационные ресурсы, сконцентрированные в одном из ведущих в стране центров высшей школы и науки – г. Томске. Вместе с тем из-за особенностей трансфертного ценообразования бюджетная обеспеченность Томской области представляется крайне низкой по сравнению с экономическим потенциалом данного региона. Калининградская область относится к среднеразвитым регионам, но в последние докризисные годы ее промышленность и в целом экономика динамично росли благодаря статусу особой экономической зоны (ОЭЗ), обеспечившему приток инвестиций и развитие новых сборочных производств импортозамещающего профиля. Однако статусные преимущества не обеспечили устойчивого развития в кризисных условиях, особенно при высоких издержках бизнеса на преодоление таможенных барьеров. Республика Бурятия также относится к среднеразвитым регионам, но к их самой отстающей группе. Дефицит инвестиций в течение многих десятилетий, удаленность и периферийное положение в сочетании с высокой стоимостью жизни не позволяют республике сократить сильное экономическое отставание.
В рамках проведенного исследования решались следующие задачи, принципиально важные как для оценки эффективности региональной антикризисной политики, так и для определения направлений и возможностей распространения лучшей управленческой практики.
Во-первых, необходимо было определить, от чего и в какой степени зависят выбранные на региональном уровне подходы к формированию антикризисной политики – от объективных обстоятельств либо намерений власти, от докризисной политики либо глубины кризисных явлений, от федеральных установок либо внутренних условий.
Во-вторых, рассматривались последствия проводимой политики: позволяла она решать порождаемые кризисом проблемы и использовать даваемые кризисом шансы, создавала базу для модернизационного выхода из кризиса либо была нацелена на возвращение к докризисному равновесию.
В-третьих, определялась цена, которую должен заплатить регион сегодня и какую он вынужден будет платить завтра за сделанный выбор из различных альтернатив антикризисной политики с точки зрения социальной стабильности, перспектив экономического развития, финансовой устойчивости и т. п.
В-четвертых, выявлялись примеры лучшей практики в проведении региональной антикризисной политики и определялись условия, при которых возможно их распространение в других регионах.
В-пятых, оценивалось влияние федеральной политики на принимаемые на региональном уровне антикризисные решения, причем меры и направления федеральной политики рассматривались с точки зрения того, насколько они соответствуют потребностям регионов в кризисных условиях, позволяют им реализовывать наи более эффективные антикризисные подходы и не создают ли искаженных стимулов в проведении региональной политики.
Насколько эти задачи решены – судить читателям.
Авторы выражают благодарность сотрудникам ИЭПП и АНХ А. Золотаревой, Д. Лободановой, Н. Мироновой, С. Жаворонкову, А. Мамедову, А. Алаеву за участие в подготовке материалов для данной работы, а также А. Чепурной и Ю. Коротковой за помощь в оформлении текста и подготовке таблиц.
Проведение исследования было бы невозможно без активного участия руководителей и сотрудников региональных органов власти шести регионов, анализ которых содержится в данной работе. Авторы выражают признательность всем представителям регионов, содействие которых позволило обеспечить информационную насыщенность и разносторонность изучения регионального опыта. В то же время авторы несут полную ответственность за содержащиеся в работе оценки региональной политики, а также за любые ошибки в тексте работы.
Глава 1. Анализ кризиса в пилотных регионах
1.1. Уровень развития и структура экономики пилотных регионов
До начала кризиса пилотные регионы имели разные уровень и динамику экономического развития. Четыре из них (Тюменская, Вологодская и Томская области, Пермский край) входят в группу относительно развитых с душевым ВРП выше среднего по стране или близким к нему (табл. 1.1). Калининградская область относится к среднеразвитым регионам, но в предкризисные годы она отличалась высокими темпами роста экономики благодаря режиму ОЭЗ. Республика Бурятия находится между среднеразвитыми и депрессивными регионами, ее душевой ВРП с корректировкой на стоимость жизни в регионе почти вдвое ниже среднего по стране.
Таблица 1.1
Отношение душевого ВРП с корректировкой на стоимость жизни в регионе* к среднему по регионам РФ, % (среднее = 100)

*Корректировка на коэффициент стоимости фиксированного набора товаров и услуг для межрегиональных сопоставлений, разработанный Росстатом.
Источник: Росстат.
Существенны различия и в структуре экономики пилотных регионов. Промышленно развитыми являются пять из них, если сравнивать душевой объем их промышленного производства со средним по РФ, – Тюменская область без автономных округов (216 %), Вологодская область (187 %), Пермский край (154 %), Калининградская (137 %) и Томская (100 %) области.
Основной вклад в промышленное производство юга Тюменской области вносит нефтегазохимия (Тобольск), с 2008 г. ведется нефтедобыча на новых Уватских месторождениях, пока относительно небольшая (2 млн). В то же время советская специализация юга Тюменской области на машиностроении для нефтегазодобычи оказалась неконкурентоспособной. Кроме того, с середины 2000-х в Тюмени юридически зарегистрированы крупные подразделения нефтегазодобывающих компаний, ведущие добычу в автономных округах. По этой причине доля промышленности юга области в 2008 г. выросла до 16 % всей Тюменской области с автономными округами по сравнению с 5 % в начале 2000-х гг.
Структура промышленности Вологодской (металлургия) и Томской (нефтедобыча) областей близка к монопрофильной, доля основной отрасли, работающей в основном на экспорт, превышает половину всего объема промышленного производ ства. Пермский край имеет более диверсифицированную отраслевую структуру, при этом ведущие отрасли его промышленности также ориентированы на мировой рынок. В Калининградской области преобладает импортозамещающая обрабатывающая промышленность, в последние годы быстро развивалось сборочное производство (электротехника, автомобили, мебель). В Бурятии большинство промышленных предприятий утратило конкурентоспособность еще в 1990-е гг., и в 2008 г. душевой объем промышленного производства составлял только 32 % среднего по стране.
Различия докризисного уровня экономического развития пилотных регионов во многом подтверждаются и различиями в доходах населения, скорректированных на региональный прожиточный минимум (табл. 1.2). Только в Вологодской области уровень доходов населения явно понижен относительно ее показателей душевого ВРП. В конечном счете это обусловлено тем, что население с более высокой заработной платой сосредоточено в Череповце. Индикатор доходов показывает, что преимущество в виде крупного экспортного предприятия слабо влияет на доходы населения области, живущего за пределами места локализации данного предприятия. С этим же связаны и относительно невысокие доходы населения Томской области, так как нефтедобыча локализована в слабозаселенной северной части, а в основной зоне расселения, на юге области, немного рабочих мест с высоким уровнем оплаты труда. Но если на территории региона даже не работают, а просто регистрируются несколько крупных подразделений добывающих компаний, как это произошло в середине 2000-х гг. в Тюменской области, то это уже позволяет резко увеличить доходы бюджета и обеспечивает более динамичный рост заработной платы и доходов населения. Следует также отметить быстрый рост доходов населения Калининградской области в докризисный период благодаря увеличению инвестиций в ОЭЗ и выводу «из тени» части доходов населения после изменения правил приграничной торговли.
Таблица 1.2
Отношение душевых денежных доходов населения к региональному прожиточному минимуму, %

Таким образом, к кризису пилотные регионы подошли в разном состоянии. Тюменская область находилась на пике благополучия. Калининградская область быстро развивалась благодаря особым условиям и притоку инвестиций. Экономика Томской области и Пермского края росла относительно стабильно, но не быстро, в Пермском крае росту препятствовал недостаток инвестиций (на треть ниже средних по стране в расчете на душу населения). При этом власти обоих регионов активно пытались ускорить экономическое развитие, создавая особую зону в Томске, улучшая систему управления в Пермском крае и т. д. Республика Бурятия резко отставала в развитии от других пилотных регионов, медленно выходя из депрессии после кризиса 1990-х гг.
1.2. Кризисные тенденции в экономике
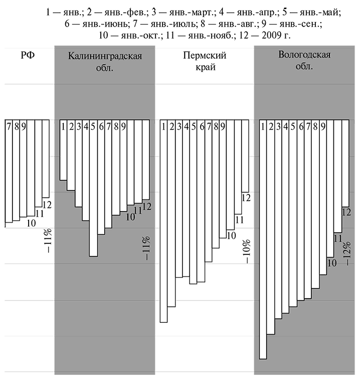
Динамика промышленности пилотных регионов в кризисный период была очень разной. Если в целом по России кризисный спад промышленности составил 11 % в 2009 г. по сравнению с 2008 г., то в пилотных регионах от 12 % до 2 % (рис. 1.1). Самый сильный спад испытали Вологодская область и Пермский край из-за специализации на металлургии и производстве минеральных удобрений (эти отрасли более других пострадали от кризиса), однако в них раньше наметился выход на траекторию посткризисного роста. Явно завышены показатели динамики промышленности Калининградской области из-за методики статистического учета. В середине 2000-х гг. с быстрым ростом новых отраслей импортозамещения отраслевая структура промышленности области существенно изменилась, однако эти изменения не учитывались Росстатом, так как до 2010 г. динамика промышленности измерялась по отраслевой структуре 2002 г. В результате сильный кризисный спад 2009 г. в новых отраслях импортозамещения не полностью учтен в общей динамике промышленности, реальная динамика хуже.
В нефтедобывающей Томской области, как и в Тюменской, годовой спад был минимальным. Близкую динамику показывала и Бурятия, но с ухудшением к концу года. Эти тенденции совпадают с динамикой соответствующих типов регионов: все металлургические растут после сильного спада, нефтедобывающие почти не падали, а до регионов Дальнего Востока и Забайкалья кризис добрался с сильным лагом во времени.
Значительное улучшение динамики к концу 2009 г. не стоит переоценивать. Во-первых, на помесячные индексы динамики промышленного производства с октября – ноября 2009 г. влияет эффект низкой базы (начало спада в металлургических и некоторых других регионах с осени 2008 г.). В 2010 г. этот эффект распространился на большинство регионов. В результате сравнения с дном кризиса обеспечиваются хорошие показатели роста, но они не отражают реальной динамики. Во-вторых, с 2010 г. изменилась методика расчета индекса: в структуре промышленного производства увеличена доля сырьевых отраслей, меньше пострадавших от кризиса, что статистически улучшает показатель динамики к соответствующему периоду предыдущего года.
Перспективы 2010 г. для промышленно развитых пилотных регионов неопределенны, они зависят в первую очередь от мировых цен на нефть и металлы, а для Калининградской области – от динамики платежеспособного спроса населения и федеральной таможенной политики. Для Бурятии перспективы еще более непонятны, поскольку другие депрессивные регионы России показали в ходе кризиса худшую динамику относительно средней по стране из-за накопившихся докризисных проблем развития. Не исключено, что кризисный спад промышленности на востоке страны просто сдвинут на более позднее время.
Динамика инвестиций в основной капитал также неоднозначна. Спад инвестиций по полному кругу предприятий и организаций во втором полугодии 2009 г. смягчился по сравнению с первым полугодием (с –19 до –16 %), но по крупным и средним предприятиям он нарастал (табл. 1.3). В большинстве регионов страны, включая почти все пилотные, спад усилился. В Вологодской области инвестиции начали сокращаться еще в 2008 г. из-за острого кризиса на «Северстали». Это ставит под угрозу планы региональных властей по развитию технопарка в Шексне, диверсификации экономики Череповца и др. Сильно пострадала и Калининградская область: в последние 2–3 года перед кризисом она получила значительный приток инвестиций в ОЭЗ, но в кризисный год объем инвестиций в основной капитал сократился на треть. По оценке региональных властей, существенно уменьшились и инвестиции из федерального бюджета, получаемые от разных министерств и ведомств. Сокращение не удалось компенсировать ростом на 27 % федеральных субсидий на реализацию различных ФЦП, хотя этот вид трансфертов обеспечил 15 % доходов консолидированного бюджета Калининградской области в 2009 г. В других пилотных регионах субсидии на реализацию ФЦП сократились на 25–50 %, а в Тюменской области – в 5 раз, но они не играют существенной роли в доходах ее бюджета (табл. 1.7).
Незначительные темпы спада характерны для менее развитых регионов, так как они не получали больших инвестиций и в годы экономического роста. Для них особенно важны инвестиционные трансферты из федерального бюджета. Например, в Бурятии федеральные субсидии на реализацию ФЦП составили 5 % доходов бюджета республики в 2009 г., хотя их объем сократился. В 2009 г. инвестиции росли только в политически приоритетных регионах и в отдельных регионах на востоке страны, где разрабатываются новые нефтяные месторождения. В Тюменской области (без автономных округов) сократились инвестиции в разработку Уватских нефтяных месторождений и бюджетные инвестиции, достигавшие в 2008 г. 32 % всех инвестиций в основной капитал. В целом динамика инвестиций в пилотных регионах не дает оснований ожидать в 2010 г. перелома негативного тренда.


Рис. 1.1. Динамика промышленного производства, к соответствующему периоду 2008 г., %
Таблица 1.3
Инвестиции и ввод жилья, %

* Без автономных округов.
** С корректировкой на стоимость жизни в регионе.
Жилищное строительство начало сокращаться с большим лагом по времени, до осени объем ввода жилья держался на уровне 2008 г. Но спад был неизбежен, и в целом по стране он составил 7 % по сравнению с 2008 г. На фоне пестрой региональной картины все пилотные регионы показывают более раннее и сильное снижение ввода жилья по сравнению со средним спадом по стране (табл. 1.3). Особенно сократились объемы в регионах с высокими докризисными показателями в расчете на 1000 человек населения, к их числу относится Калининградская область (в 2008 г. ввод жилья был в 1,8 раза выше среднего по стране). В большинстве регионов с экспортной ориентацией промышленности также отмечался сильный спад. Только в Тюменской области он был менее явным благодаря высоким доходам и инвестиционным покупкам жилья, которые делало население автономных округов. Тенденция сокращения ввода жилья может продолжиться и в 2010 г. из-за снижения объема инвестиций, уменьшения трансфертов из Фонда содействия реформе ЖКХ (см. ниже), а также стагнации платежеспособного спроса населения.
1.3. Состояние рынка труда
До кризиса проблема безработицы в пилотных регионах была второстепенной. Вологодская, Калининградская и Тюменская области имели минимальный уровень безработицы по методологии МОТ (5–7 %), Томской области удалось снизить этот показатель к 2007 г. (табл. 1.4). Только в Бурятии он оставался повышенным из-за острого дефицита инвестиций и новых рабочих мест. Кризис изменил ситуацию, но не радикально, если оценивать проблему по статистике открытой безработицы. Показатели безработицы, измеряемой по методологии МОТ, наиболее высоки в регионах с исходно худшим состоянием рынка труда (Бурятия) и в регионах с более сильным промышленным спадом (Калининградская область и Пермский край). В Вологодской области безработица выросла сильнее всего, но остается относительно невысокой, несмотря на сильный спад промышленности. Это следствие локализации кризисного очага в Череповце и принятых мер по поддержке занятости (см. ниже).
Рост зарегистрированной безработицы произошел далеко не во всех регионах с сильным спадом промышленности. Такое несоответствие объясняется в первую очередь административным сдерживанием роста зарегистрированной безработицы. В результате этот показатель малопригоден для анализа влияния кризиса на региональные рынки труда. В пилотных регионах максимальный показатель зарегистрированной безработицы на конец 2009 г. имела Вологодская область (табл. 1.5). Это обусловлено высвобождением большого числа занятых в Череповце (около 15 тыс. человек) компаниями «Северсталь» и «Азот», а также выделением значительных федеральных средств на поддержку занятости, что создавало определенные стимулы к предоставлению данного статуса. Не создавались барьеры для регистрации безработных и в Пермском крае. В целом в четырех из шести пилотных регионов показатели зарегистрированной безработицы были выше средних по стране. В Бурятии ситуация иная, большинство безработных не обращаются в службу занятости, поэтому уровень зарегистрированной безработицы искусственно занижен – он почти в 6 раз меньше показателя безработицы по МОТ, в то время как в среднем по стране и в большинстве регионов – в 3 раза. Что касается Тюменской области, то в ней докризисный уровень зарегистрированной безработицы был низким и, несмотря на рост безработицы, измеряемой по методологии МОТ, в 2009 г. не изменился.
Колебания безработицы имеют сезонный характер в целом по стране и в пилотных регионах. Максимальный рост зарегистрированной и общей безработицы произошел в первом квартале 2009 г., летом отмечалось сезонное снижение, а в декабре 2009 и январе 2010 г. ситуация на рынке труда вновь заметно ухудшилась (рис. 1.2). Репрезентативность помесячных измерений безработицы по МОТ в регионах относительна, но по совокупности двух индикаторов (общей и зарегистрированной безработицы) пилотные регионы можно разделить на три группы: с резким обострением проблем в кризисный период (Вологодская, Калининградская области и Пермский край), застойно проблемные (Бурятия, Томская область) и пока не испытавшие сильных проблем на рынке труда (Тюменская область).
Таблица 1.4
Уровень безработицы по методологии МОТ, %

Таблица 1.5
Зарегистрированная безработица на конец года,%


Рис. 1.2. Уровень безработицы в пилотных регионах
Помимо сезонности (ежегодного повышения уровня безработицы в зимние месяцы и ее снижения летом) для роста безработицы в конце 2009 – начале 2010 г. есть и другая причина. Из-за политических ограничений на высвобождение работников, занятых на немодернизированных и неконкурентоспособных предприятиях, оказавшихся убыточными в кризис, в России образовался «навес» скрытой безработицы. В декабре в целом по стране он составил 1,9 млн занятых неполный рабочий день и находящихся в административных отпусках. Еще 1,8 млн человек было занято в течение 2009 г. на общественных работах, которые почти полностью финансируются из федерального бюджета и в основном обеспечивают высвобождаемых низкоквалифицированной работой по уборке территории предприятий и муниципалитетов. Если сложить все эти показатели, суммарно скрытая безработица (около 3,5 млн человек) и безработица по методологии МОТ (6,2–6,5 млн человек), достигают почти 10 млн человек. Масштабы скрытой безработицы росли весь 2009 г., но такая политика не может продолжаться бесконечно, поскольку увеличение расходов федерального бюджета не сопровождается улучшением ситуации на рынке труда. Тупик политики искусственного сдерживания безработицы стал очевидным, и с 2010 г. часть скрытой безработицы начала переходить в открытую форму. Пока уровень безработицы по МОТ все еще ниже по сравнению с кризисом 1998 г. Однако если учитывать и открытую, и все формы скрытой безработицы, то масштабы сокращения занятости сопоставимы с кризисом 1998 г.
В отличие от зарегистрированной безработицы уровень скрытой безработицы (неполной занятости и административных отпусков), рассчитанный по данным Росстата, более четко определяет кризисные территории. Это машиностроительные и металлургические регионы Поволжья, Урала и Центра. В шести пилотных регионах масштаб скрытой безработицы меньше, чем в регионах со специализацией на машиностроении. И в целом по стране, и в пилотных регионах скрытая безработица после максимума в начале 2009 г. снижалась до октября, но затем заметно выросла в декабре 2009 г. (за исключением Калининградской области). В январе 2010 г. показатели вновь снизились, во многом это следствие высвобождений в конце календарного года (табл. 1.6). Устойчива ли тенденция «легализации» безработицы, пока трудно сказать.
Таблица 1.6
Доля занятых неполное время и находящихся в административных отпусках в 2009 – начале 2010 г., % общей численности занятых

Реальные масштабы проблемы занятости в регионах можно оценить при суммировании открытых и скрытых форм безработицы, включая общественные работы (организованные в рамках дополнительных мероприятий, снижающих напряженность на рынке труда). Для занятости на общественных работах не существует помесячных измерений (учет ведется нарастающим итогом в течение года), поэтому ее уровень может быть завышенным. Кроме того, некоторые регионы увеличивают занятость на общественных работах для получения большего объема федеральных трансфертов, например Татарстан. Тем не менее суммарный рейтинг пилотных регионов вполне адекватен (рис. 1.3). В Вологодской области показатели открытой безработицы резко занижены с помощью общественных работ. В Калининградской области этот механизм начали использовать только с середины 2009 г., но весьма интенсивно. В Пермском крае выше вклад неполной занятости. При совокупной оценке открытых и скрытых форм безработицы, включая общественные работы, выделяются три региона с наиболее существенным ее ростом в кризисный период – Вологодская, Калининградская области и Пермский край.

