
How to Win at Aptitude Tests Vol II


How to Win at Aptitude Tests
Volume II
By
Iain Maitland

Contents
Cover
Title Page
Introduction
1 Understanding Aptitude Tests
Using Tests
Types of Aptitude Test
Verbal Ability Questions
Preparing for Tests
Sitting Tests
Summary
2 Verbal Ability Questions
Characteristics
Finding a Missing Word
Identifying the Odd Word Out
Spelling
Word Meanings
Verbal Checking
Summary
3 Non-verbal Ability Questions
Characteristics
Matching Symbols
Spotting the Odd Symbol Out
Continuing a Series of Symbols
Summary
4 Numerical Ability Questions
Characteristics
Adding and Subtracting
Multiplying and Dividing
Fractions and Percentages
Continuing a Series of Numbers
Numerical Awareness
Numerical Estimation
Numerical Checking
Summary
5 Spatial Ability Questions
Characteristics
Fitting Shapes Together
Creating Solid Objects
Unfolding Solid Objects
Summary
6 The Answers
1: Verbal Ability Answers
2: Non-verbal Ability Answers
3: Numerical Ability Questions
4: Spatial Ability Answers
Appendix 1: Useful Contacts
Appendix 2: Further Reading
Acknowledgements
Also by Thorsons
Copyright
About the Publisher
Introduction
Whether you are looking for a new job or for a promotion, you may find yourself being asked to take an aptitude test. Not surprisingly, you will want to know as much as possible about these tests. What are they? What do they involve? How can I prepare properly, and succeed? This book answers these questions, and many more.
Chapter 1 ‘Understanding Aptitude Tests’ discusses why tests are used during recruitment, transfer and promotion procedures, and sets out with examples the different types of test that exist, paying particular attention to those for verbal, non-verbal, numerical and spatial ability. It also explains how to prepare for these tests, which mainly involves practising on similar materials under comparable test conditions, and how to sit them successfully.
Chapters 2, 3, 4 and 5 look at each of the leading types of aptitude questions in turn: verbal, non-verbal, numerical and spatial ability. The key characteristics of those questions are detailed and supported by as wide a range of examples as you are likely to face. You can read through these questions for information purposes or even use them as mock tests, subsequently referring to the answers that follow. It is up to you.
Chapter 6 lists the answers to all of the questions that were given in Chapters 2, 3, 4 and 5. These answers and, where appropriate, the accompanying explanations not only help you to solve the questions but also to gain a better understanding of them. Read this chapter carefully.
Written in a down-to-earth, authoritative style and supported by illustrations, model questions and answers, tactical tips and chapter summaries, this book contains everything you need to know about aptitude tests, and more. It makes essential reading for anyone who wants to be offered that job, transfer or promotion.
1
Understanding Aptitude Tests
So what exactly is an ‘aptitude test’? In theory, it can be defined as ‘a process whereby a person’s general intelligence and/or specific abilities are assessed objectively under controlled conditions’. In practice, it usually involves a person sitting at a desk providing written answers to a set number of multiple-choice questions in a relatively short period of time. Such tests are used with increasing frequency nowadays, as part of firms’ recruitment, transfer and promotion procedures. If you are going to have to tackle an aptitude test (or a series of tests) then you must discover as much as possible about them – in particular, why they are used, the different types of aptitude test that exist, and how to prepare for and sit them successfully.
Using Tests
All types of businesses – large and small, and across many and varied trades and industries – now utilize aptitude tests to help them select the right people for jobs within their organizations. The reasons why tests are used more and more often these days can be understood by considering their benefits. Aptitude tests have drawbacks, too, which we shall also examine.
Benefits
Tests offer several benefits both to the firm incorporating them within their procedures, and to the candidates who sit them. Primarily, they act as an aid when making the selection decision. The recruitment process in most companies normally comprises a similar sequence of steps – application forms are sent out, completed, returned and appraised; interviews are conducted between candidates and a personnel manager (or whoever is responsible for filling the particular job); and referees’ names and details are given, and references taken up before the final decision is made. Tests simply produce additional, and perhaps different, information to be taken into account – and the more information that is available, the better the final decision is likely to be.
Aptitude tests are also objective. The results are compared with ‘averages’ based on the performances of hundreds, or even thousands, of other people who have completed them in the past. Too often, application forms are screened, interviews are conducted and references are read subjectively, with information being interpreted according to personal opinion, and even likes and dislikes. Clearly, a reasoned, scientific approach to selecting people for jobs should generate more accurate and reliable results.
Tests can also provide a fuller, more comprehensive picture of candidates. General intelligence and certain specific abilities, such as being able to see three-dimensional objects from scale drawings, are hard to evaluate by application form, interview or reference alone. Similarly, tests can sometimes confirm the presence (or absence) of other abilities, such as spelling. After all, application forms may have been written with assistance, ‘best’ rather than realistic behaviour is seen at interviews and references might have been couched in vague rather than clear and concise language. With tests, hard, factual evidence is produced.
For businesses, testing helps to reduce the likelihood of the wrong person being chosen for a job, and all of the problems which that entails – inadequate workrate and performance, ill feeling amongst employees and, ultimately, dismissal, followed by re-recruitment. The costs of these – in terms of time, effort and money – are potentially enormous. For candidates, testing indicates that the firm takes recruitment very seriously indeed, and offers everyone an equal chance to succeed, with the possibility of someone being picked simply because they are a smooth-talking interviewee, for example, being much reduced, or even eliminated.
Drawbacks
Tests do have various drawbacks too – in particular, they are a highly specialized and skilled area of activity. Reputable tests take years to be developed, tested and checked to ensure they are both valid and reliable. ‘Valid’ means that they measure what needs to be measured, and do so accurately. ‘Reliable’ means that they are free from ambiguous questions that may be interpreted in different ways, by candidates and/or employers. Those who devise or run other, professionally designed, tests need to be fully trained and experienced if they are to produce meaningful tests and/or results. Otherwise, the likelihood of picking the wrong person is much increased.
They are also expensive. As a rough and ready example, if a firm decided to use tests as part of its selection process for filling clerical jobs and approached a test supplier for assistance, it might pay £1500 upwards for one of its managers to attend a training course enabling him or her to administer, score and interpret just one particular test. £200 or more might then need to be paid for manuals, guides, test sheets, answer booklets and scoring charts for 12 candidates to sit that test. Taking account, too, of the time and effort involved in running tests, it is clear that this is a costly exercise.
These drawbacks are outweighed by the benefits. For business organizations, aptitude tests produce valid and reliable results, untainted by personal feelings and guesswork. For people seeking a job, transfer or promotion, the fact that so much money is being spent to get the right person is reassuring.
Types of Aptitude Test
‘General aptitude’ tests, also known as ‘general intelligence’ and ‘mental ability’ tests, measure a candidate’s basic intelligence, often in terms of verbal, non-verbal, numerical and spatial abilities. With a mix of words, symbols, numbers and shapes, the candidate may be asked to find a missing word (TEA____BOARD), continue a series of numbers (4, 9, 19, 39, ____) or do something similar. A set number of questions is usually tackled in a given period, perhaps twenty minutes. ‘Specific aptitude’, or ‘special ability’ tests, look at a candidate’s particular talents, more often than not specific verbal, non-verbal, numerical and spatial abilities, possibly in such areas as spelling, verbal checking and numerical estimation. As examples, a report may need to be studied for spelling mistakes, a handwritten draft and its corresponding typed letter checked for errors and a set of figures for a sales projection added up and estimated totals provided for each of them. Once more, a number of questions will have to be answered in a short space of time, perhaps up to thirty minutes. The best way of gaining a fuller understanding of aptitude tests is to contemplate:
• verbal ability questions
• non-verbal ability questions
• numerical ability questions
• spatial ability questions.
Verbal Ability Questions
These questions involve words and are designed to show how well you understand and deal with verbal concepts and ideas. At a general level, you will most often be asked to find a missing word and identify the odd word out from amongst several, which may indicate how intelligent you are. More specific tests of verbal ability can be set too. Spelling questions may be incorporated if you have to draft or write memos, letters or reports as part of the job. Word meanings evaluate the range and depth of your vocabulary – helpful if the job entails spotting errors in notices, mailshots and the like. Verbal checking assesses your speed and accuracy at cross-referencing, which is useful if you have to check lists, minutes and so on in the job.
Here are some example questions and answers.
Example: Finding a Missing Word
You have to find a word which can be placed between the words shown to produce two new words.
Question: Foot______Point
Answer: Ball (Football … Ballpoint)
Example: Identifying the Odd Word Out
Circle the odd one out amongst the following six words.
Question: Apple Lemon Peach Grape Raspberry Orange
Answer: Peach (It is the only one with a stone.)
Example: Spelling
Underline the correct spelling of the following word.
Question:
Permanent Permenent Permenant Permanant Permannent
Answer: Permanent
Example: Word Meanings
Which of the five words on the right means (almost) the same as the one on the left.
Question: Maim – Scare Injure Kill Destroy Frighten
Answer: Injure
Example: Verbal Checking
Circle any differences in these lists.
Question:
1. A. J. Bannen 1. A. J. Bannen 2. M. P. Hardcastle 2. M. P. Hardcastle 3. P. P. Kingsmere 3. P. P. Kingmere 4. F. L. Marvin 4. F. L. Marven 5. T. R. Quincy 5. T. P. QuincyAnswer:
1. A. J. Bannen 1. A. J. Bannen 2. M. P. Hardcastle 2. M. P. Hardcastle 3. P. P. Kingsmere 3. P. P. Kingmere 4. F. L. Marvin 4. F. L. Marven 5. T. R. Quincy 5. T. P. QuincyNon-verbal Ability Questions
These questions are based upon symbols and are used to evaluate your ability to process and differentiate between relevant and irrelevant data, and to think in an abstract manner. Typically, you will have to match symbols, spot the odd symbol out and continue a series of symbols in a logical way. Often, non-verbal ability questions vary quite considerably in their degree of complexity and difficulty, as can be seen in these example questions and answers.
Example: Matching Symbols
Question: Identify the matching symbol by underlining the appropriate letter.


Example: Spot the Odd Symbol Out
Question: Spot the odd symbol out by circling the letter beneath it.

Example: Continuing a Series of Symbols
Question: Identify the symbol that continues the sequence, by underlining the letter below.

Numerical Ability Questions
Questions of this nature include numbers and are constructed to show how well you reason with figures. Those that might arise in a general intelligence test will probably focus on adding and subtracting, multiplying and dividing, fractions and percentages and continuing a series of numbers. Specific tests of numerical ability might concentrate on questions relating to numerical awareness, estimation and checking.
Numerical awareness questions take a closer look at your ability to add, subtract, multiply and divide. Numerical estimation appraises your potential for estimating both quickly and accurately, which may be a key requirement for the job. Numerical checking evaluates your aptitude for spotting errors in handwritten and printed data. Here are various example questions and answers.
Example: Adding and Subtracting
Do the following calculation, without using a calculator.
Question: 295 − 97 + 123 − 33 + 17 =
Answer: 305
Example: Multiplying and Dividing
Answer the following question without the aid of a calculator.
Question: 18 x 9 ÷ 3 =
Answer: 54
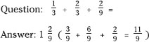
Example: Fractions and Percentages
Calculate the following.

Question: 6% of 75 =
Answer: 4.5
Example: Continuing a Series of Numbers
Complete this sequence of numbers.
Question: 7 12 16 19 21 ____
Answer: 22 (Numbers increase at a decreasing rate: +5, +4, +3, +2, +1.)
Example: Numerical Awareness
Circle any mistakes in these calculations, and put in the correct figures next to them.
Question:

Answer:

Example: Numerical Estimation
Calculate the following, placing a cross (X) in the box representing the figure that is nearest to your answer.
Question: A man walks 3.5 miles per hour for five hours each day. How long would it take him to complete a 127-mile journey?
5 days





Answer: 7 days

Example: Numerical Checking
Circle any differences in these lists.
Question:
1. 378963/43 1. 378963/47 2. 949494/46 2. 944949/46 3. 327272/77 3. 327272/77 4. 411114/31 4. 411144/31 5. 696692/26 5. 696992/26Answer:

Spatial Ability Questions
Your spatial ability – or lack of it – may be estimated by the way in which you answer questions involving shapes. Typically, you will have to fit shapes together, imagine how a flattened shape would appear when folded to create a solid object and visualize how a solid object would look when unfolded. Sometimes, spatial ability questions can be quite diverse in nature, as may be seen by these example questions and answers.
Example: Fitting Shapes Together
Identify the shapes which fit together by underlining the appropriate letter.
Question:

Answer:

Example: Creating Solid Objects
Question: Identify the solid object created by folding together the flat pattern, by circling the relevant letter.

Answer:

Example: Unfolding Solid Objects

