
Все науки. №4, 2023. Международный научный журнал
12. Каримов Б. Х., Мирзамахмудов Т. М. Электроника асослари. Учебное пособие. – [б.м.]: Научная школа «Электрон», Издательские решения. Ридеро, 2022. – 184 с.
13. Алиев И. Х. Новые параметры по ядерным реакциям для осуществления на ускорителе заряженных частиц типа ЛЦУ-ЭПД-300. Проект «Электрон». Монография. – [б.м.]: Научная школа «Электрон», Издательские решения. Ридеро, 2022. – 498 с.
14. Алиев И. Х. Программное моделирование явлений ядерных реакций на основе технологий созданий множества данных с использованием системы алгоритмов на языке С++. Проект «Ядро-ЭВМ». Монография. – [б.м.]: Научная школа «Электрон», Издательские решения. Ридеро, 2022. – 498 с.
15. Алиев И. Х., Шарофутдинов Ф. М. Использование ускорителей и явлений столкновения элементарных частиц с энергией высокого порядка для генерации электрической энергии. Проект «Электрон». Монография. – [б.м.]: Научная школа «Электрон», Издательские решения. Ридеро, 2021. – 594 с.
16. Отажонов С. М., Алимов Н. Э. Фотоэлектрические явления в широкозонных полупроводниковых гетероструктурах с глубокими примесными уровнями. Монография. – [б.м.]: Научная школа «Электрон», Издательские решения. Ридеро, 2022. – 112 с.
17. Отажонов С. М. «Mavzu ishlanmasi» tayyorlashning innovatsion xarakterga ega bo’lgan metodi. Монография. – [б.м.]: Научная школа «Электрон», Издательские решения. Ридеро, 2022. – 158 с.
18. Каримов Ш. Б., Каримов Б. Х., Алиев И. Х. Пространственно осцилирующий фотовольтаический ток в оптически активном сегнетоэлектрике SbSl. Все науки. – №6. Научная школа «Электрон», Издательские решения. Ридеро, 2022. – С. 33—50.
19. Жалолов Б. Р., Каримов Б. Х., Алиев И. Х. Роль резонансных ядерных реакций в современной энергетике. The role of resonant nuclear reactions in modern energy. Все науки. – №6. Научная школа «Электрон», Издательские решения. Ридеро, 2022. – С. 50—113 c.
20. Алиев И. Х. Перспективы использования нейтронной энергии. Все науки. – №6. Научная школа «Электрон», Издательские решения. Ридеро, 2022. – С. 122—133.
21. Жалолов Б. Р. Исследование физики Солнца при изучении отрасли солнечной энергетики. Все науки. – №5. Научная школа «Электрон», Издательские решения. Ридеро, 2022. – С. 11—29.
22. Алиев И. Х. Об одной эвристической идее о возникновении новой энергетической технологии получения энергии из резонансных ядерных реакций. Все науки. – №1. Научная школа «Электрон», Издательские решения. Ридеро, 2022. – С. 13—18.
23. Каримов Б. Х. Общее представление ускорителя ЛЦУ-ЭПД-20. Все науки. – №1. Научная школа «Электрон», Издательские решения. Ридеро, 2022. – С. 18—23.
24. Жалолов Б. Р. Реализация и научные публикации по проекту «Электрон». Все науки. – №1. Научная школа «Электрон», Издательские решения. Ридеро, 2022. – С. 23—28.
25. Шарофутдинов Ф. М. Констатирование фактов о этапах развития проекта «Электрон» и самые светлые надежды на будущее. Все науки. – №1. Научная школа «Электрон», Издательские решения. Ридеро, 2022. – С. 28—33.
26. Алиев И. Х. Алюминиевая резонансная реакция. Все науки. – №3. Научная школа «Электрон», Издательские решения. Ридеро, 2022. – С. 24—44.
27. Шарофутдинов Ф. М. О вводе новой энергетической ядерной единицы с точки зрения экономики и дипломатии. Все науки. – №6. Научная школа «Электрон», Издательские решения. Ридеро, 2022. – С. 347—361.
28. Алиев И. Х., Умарова Г. М. Использование инновационных технологий в обучении. Гуманитарный трактат – №78. Издательский дом «Плутон». 2020 – С. 17—18.
29. Алиев И. Х., Каримова М. И. Роль философского смысла произведения при обучении в школах. Гуманитарный трактат – №79. Издательский дом «Плутон». 2020 – С. 36—38.
30. Алиев И. Х., Нишонова Д. О. Башня Николы Тесла. Гуманитарный трактат. – №92. Издательский дом «Плутон». 2020. – С. 9—13.
31. Алиев И. Х., Каримова М. И., Харипова С. Б. Новый метод шага. Гуманитарный трактат. – №92. Издательский дом «Плутон». 2020. – С. 14—17.
32. Алиев И. Х., Каримов Б. Х. Об одной эвристической идее относительно алгоритмизации функционирования человеческого мозга на основе теорий электромагнитных полей биотоков и их активного взаимодействия с другими объектами и измерениями. Oliy va o’rta maxsus ta’lim vazirligi huzuridagi «Oliy ta’limni rivojlantirish tadqiqotlari va ilg’or texnologiyalarini tatbiq etish markazi» «Ilm, ma’rifat va raqamli iqtisodiyotni rivojlantirish istiqbollari» Onlayn Respublika ilmiy-amaliy anjuman maruzalar to’plami. Ташкент. 2020. – С. 164—178.
33. Алиев И. Х. Энергия столкновения встречных пучков. Молодой учёный. Международный научный журнал. – №16 (306). Издательство «Молодой учёный». 2020. – С. 7—10.
34. Алиев И. Х., Каримов Б. Х., Каримов Ш. Б., Юлдошалиев Д. К., Алиев М. И. Альтернативный ветровой аэратор для рыбных водоёмов. Молодой учёный. Международный научный журнал. – №49 (287). Издательство «Молодой учёный». 2019. – С. 173—175.
35. Алиев И. Х., Каримов Б. Х. Линейный ускоритель электронов в энергетике. Точная наука. – №85. Издательский дом «Плутон». 2020. – С. 23—29.
36. Алиев И. Х. Поведение электрона в атоме. Точная наука. – №63. Издательский дом «Плутон». 2019. – С. 37—39.
37. Алиев И. Х. Электрон и его особенности. Точная наука. – №71. Издательский дом «Плутон». 2020. – С. 2—5.
38. Алиев И. Х. Запутанные микро-друзья. «Uyda qoling!» shiori ostida «Oliy ta’lim islohorlari: yuruqlar, muammolar, yechimlar» mavzusidagi respublika miqyusida onlayn ilmiy maqolalar hamda innovatsion ixtirolar tanlovining ilmiy maqolalar to’plami. Ташкент. 2020. – С. 164—178.
МАТЕМАТИЧЕСКАЯ МОДЕЛЬ УПРАВЛЕНИЯ УСИЛИЕМ НАЖАТИЯ КЛЕММЫ К ОКНУ В ТЕХНОЛОГИЧЕСКОМ ПРОЦЕССЕ ПАЙКИ
УДК 004.94
Сайитов Шавкатжон Самиддинович
Преподаватель кафедры «Электроники и приборостроения» факультета систем компьютерного проектирования Ферганского политехнического института
Ферганский политехнический институт, Фергана, Узбекистан
Аннотация. Говоря же о необходимых устройствах для осуществления процесса пайки, однозначно можно отметить в качестве такого устройства непосредственно само паяльное устройство, более известное как паяльник и наряду с этим чаще всего являющееся ручным инструментом, применяющийся при лужении и пайке для нагрева деталей, флюса, расплавления припоя и внесении его в место контакта спаиваемых деталей. Рабочей частью паяльника можно отметить жало, которое нагревается либо пламенем, яркий тому пример нагрев от паяльной лампы, либо при помощи электрического тока.
Ключевые слова: паяльник, пайка, математический аппарат, математическое моделирование, сила нажатия.
Annotation. Speaking of the necessary devices for the soldering process, it is definitely possible to note as such a device the soldering device itself, better known as a soldering iron and along with this is most often a hand tool used during tinning and soldering to heat parts, flux, melt solder and make it into the contact point of soldered parts. The working part of the soldering iron can be noted the tip, which is heated either by flame, a vivid example of this is heating from a blowtorch, or by electric current.
Keywords: soldering iron, soldering, mathematical apparatus, mathematical modeling, pressing force.
К основным большим типам такого устройства можно отметить два больших класса паяльников с периодическим или постоянным нагревом. К первому классу относятся молотковые и торцевые паяльники, которые представляют собой массивный рабочий наконечник, закреплённый на длинной металлической рукояти, длина которой обеспечивает безопасную эксплуатацию инструмента. Для выполнения такого типа работ, эти паяльники снабжаются специальными фасонными наконечниками или фасонными жалами. Такие паяльники нагреваются преимущественно от внешних источников тепла, в лице коих могут выступать главным образом огонь от газовых или бензиновых горелок. Настоящий вид паяльников является наиболее старым и известен с античных времён.
Следующий вид паяльников – дуговой, был довольно популярным в XIX веке, что следует из его наименования. А также ещё одним следствием имени сего вида является использование для его нагрева способ создания электрической дуги, периодически возбуждаемая между угольным электродом, помещённый между самим паяльников и наконечником. Например, дуговой паяльник может иметь массу жала в 1 кг и нагреваться до 500 градусов Цельсия, при напряжении в 24 Вольта в течении 3 минут, при потреблении мощности порядка 1,5—2 кВт.
Более современными являются непосредственно паяльники с постоянным нагревом. К ним же относятся электропаяльники со встроенным электронагревательным элементом, работающий от электросети, то есть напрямую, либо через понижающий трансформатор, либо же от аккумуляторных батарей.
Газовый вид паяльников также действует постоянно, благодаря встроенной газовой горелки, куда горючий газ подаётся из встроенного баллончика, с предварительно сжиженным газом. Однако, хоть и гораздо реже, газ может подаваться по шлангу от внешнего источника. К ещё одним видам паяльников, можно отнести паяльники на жидком топливе, которые ещё имеют честь именоваться жидкотопливными. Они схожи с газовыми, однако нагрев осуществляются уже пламенем сгорающего жидкого топлива, что также известно.
К ещё одному типу паяльников с постоянным нагревом можно отнести термовоздушные типы паяльников, в таких типах происходит нагрев деталей, а расплавление припоя происходит путём обдува их струёй горячего воздуха, чем он напоминает промышленный фен, однако в отличие от него в данном случае используется тонкая высокотемпературная струя воздуха. А также наряду с этим типом можно привести весьма логически, верно, приводимый тип – инфракрасный.
В нём, что видно также из наименования нагрев осуществляется источником инфракрасного излучения. Разновидностью таких паяльников являются инфракрасные лазерные паяльники. И если это были лишь основные разновидности, то стоит обратить внимание на типы различных паяльников, к коим можно отнести паяльные станции, стержневые и чаще всего распространённые паяльники, импульсные паяльники и наконец, индукционные паяльники.
Теперь же, если ознакомиться с каждым из этих типов, можно отметить, что быстро развивающаяся технология миниатюризации электронных компонентов, улучшение к чувствительности к высокой температуре, а также использование без свинцовых припоев с более высокой температурой плавления привело к появлению паяльных станций с такими дополнительными функциями как:
· Возможность выбора произвольной температуры, термостатирование или точнее возможность удержания некоторой определённой температуры жала, быстрый нагрев, который происходит менее чем за 15 секунд;
· Возможность использования жала самой различной формы, допускающие замену буквально на лету;
· Наличие ждущего режима с пониженной температурой и автоотключением с применение шарикового датчика наклона, также известный, как и акселерометр.
В подобных типах станций можно также наблюдать и тот факт, что в качестве нагревательного элемента можно использовать плёночный нагреватель на керамической подложке, помещённый в герметичный корпус из теплопроводной керамики.
Основными положительными сторонами подобного типа нагревателей является сравнительно продолжительный срок службы и надёжная электрическая изоляция жала от нагревающей цепи. Наряду с этим можно отметить и акт наличия подобного рода паяльных систем с горячим воздухом, в которых преимущественно возможно использование инфракрасного излучения, они более благоприятны для демонтажа деталей, благодаря чему они также оснащаются и специальными частями для отсоса припоя или устройствами для автоматической или полуавтоматической подачи припоя и флюса. Говоря же о стержневым паяльнике, можно указать, что конструкция самого распространённого в быту паяльника весьма проста и представляет собой металлический кожух, снабжённых пластмассовой или деревянной рукояткой, в который помещён трубчатый нагревательный элемент, он же нагреватель.
Внутри такого нагревателя одним концом помещается смещённый медный стержень, это и есть жало, заточенное на выступающей наружу концу. В целом, принимая форму конуса или двугранного угла. Конец жала – это залуженный рабочий конец.
Сам нагреватель представляет собой намотанную на трубу из керамики или металлическую трубу обёрнутую листовой слюдой проволоку из нихрома или другого сплава с высоким удельным сопротивлением и устойчивостью к окислению при высокой температуре. В современных паяльниках такого типа чаще всего используется плёночный нагреватель, установленный на керамическое трубчатое основание, либо керамический объёмный нагреватель. Сам нагреватель подключается к токоведущему проводу, проходящему сквозь ручку и подключаемому к сети или понижающему трансформатору.
Импульсный же паяльник – одна из разновидностей бытового паяльника, иногда представляемый в виде паяльника-пистолета, на конце которого находится 2 электрических контакта и почти всегда источник подсветки зоны пайки. Контакты соединяются со вторичной обмоткой трансформатора, расположенного в корпусе самого паяльника и на удивление, обмотка имеет всего лишь 1 или 2 витка из медного провода. К зажимам же этих контактов присоединён кусок толстой медной проволоки с толщиной порядка 1—2 мм и длиной в 3—5 см, являющийся одновременно и нагревательным элементом и жалом паяльника. При включении инструмента, ток вторичной обмотки, достигающий несколько десятков ампер, быстро, за несколько секунд разогревает медную проволоку до рабочей температуры.
В импульсных паяльниках же вместо массивного трансформатора, работающий на промышленной частоте 50—60 Гц, используется импульсный электронный преобразователь, с частотой в десятки кГц, что позволяет уменьшить их массу и габариты, а следовательно, сделать их использование в разы более удобнее, что и достигается в итоге.
И наконец, последний тип паяльника – индукционный по своей природе основан на идее нагрева путём наведения электрических токов высокочастотным электромагнитным полем, создаваемый катушкой-индуктором. Внутри самого жала, по сути, расположен ферромагнитный сердечник, нагревающийся за счёт потерь на гистерезис и, в меньшей степени, за счёт вихревых токов, чаще всего именующиеся токами Фуко. В таких паяльниках нагревается только непосредственно само жало, что позволяет сделать паяльник предельно лёгким и миниатюрным. Говоря же о их термической стабилизации, стоит сказать, что это осуществимо как традиционным способом, например термопарами или терморезисторами, либо благодаря выбора материала ферромагнитного сердечника по температуре Кюри, равной необходимой температуре жала.
А для того, чтобы понять, насколько хорошо прошёл процесс пайки стоит его более подробнее и рассмотреть, понимая, что изначально, как только клемма опускается, под неё подаётся слой припоя – олова в упрощённой модели (позже будет рассмотрена и более усложнённая). Под этим же слоем имеется серебряный слой металлического обогревателя, а уже под ней слой стекла заднего вида.
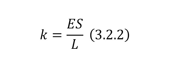
Эмпирическим путём было констатировано, что энергия разрыва между серебряным слоем и стеклом составляет 100 Н. Из этого может следовать то, что сумма сил разрыва между припоем и клеммой, а также между припоем и серебряным слоем меньше этого значения, поскольку если бы оно было больше или равно этого значения, то клемма сама имела бы достаточную силу, чтобы вынести при разрыве вместе с собой всю систему. Но ровно также понятен и тот факт, что для разрыва, то есть оказания деформации по силе упругости (3.2.1), где жёсткость определяется через модуль Юнга (3.2.2), по своей энергии равна энергии разрушения кристаллической решётки, то есть произведению удельной теплоты плавления и количества вещества (3.2.3), равняется потенциальной энергии деформации (3.2.4).




Для определения же силы разрыва, которая уже априори является суммой сил разрыва между серебром и припоем, а также между клеммой и припоем, достаточно использовать (3.2.5), где расстояние определяется от постоянства площади и значения изменения объёма, которое вычисляется в зависимости от температуры (3.2.6), а уже отсюда сила разрыва (3.2.7).



Теперь, когда вычислена сила разрыва, можно немного остановиться на моменте нажатия. Из подобного расчёта стало возможно определить, что при удельной теплоте 7,19 кДж/моль, при количестве вещества порядка 0,0434 моль и 0,005149 грамм и плотности порядка 7190 кг/м3 площадь составляет 7,04424*10—7 м2, при стороне 0,8393 мм, откуда учитывается температурный коэффициент 0,0042 К-1, при результирующей силе 99,99886267 Н, что соответствует всем поставленным условиям.
Говоря же о силе нажатия, то можно заметить, что за счёт энергии притяжения жидкого потока сплава сравнительно может быть определена в масштабе разности границ между результирующей силой и граничной силы, откуда получается значение в 0,001137328 Н.
Использованная литература
1. Абдурахмонов С. М., Сайитов Ш. С. Автоматизированная конструкция для пайки терминала системы подогрева заднего стекла автомобиля. Scientific-technical journal (STJ FerPI, ФерПИ ИТЖ, НТЖ ФерПИ, 2021, Т.23, спец. Вып. №3), стр. 197—201.
2. Абдурахмонов С. М., Сайитов Г. С., Ощепкова Э. А., Рахмонов Д. Х., Хурибоева М. Ш. Новая конструкция для пайки терминала системы подогрева заднего стекла автомобиля. Актуальная наука. Международный научный журнал. М., 2019 №9 (26), стр. 22—28.
3. Абдурахмонов С. М., Сайитов Ш. С., Юлдашева Ё. Н. Автоматизированная установка пайки для терминала систем подогрева в автостёклах. Scientific-technical journal (STJ FerPI, ФерПИ ИТЖ, НТЖ ФерПИ, 2021, Т.25, №6), стр. 256—259.
4. Абдурахмонов С. М., Сайитов Ш. С. О технологии пайки контакта к системам нагревания автостёкол // Все науки: международный научный журнал. – 2022. – №5, 2022. – С. 95—115.
5. Тойиров Н. С., Холиков А. А., Сайитов Ш. С. Энергосбережение при использовании гибридных солнечных электростанций в нефтегазовой промышленности // Все науки: международный научный журнал. – 2022. – №6, 2022. – C. 253—260.
6. Ахмаджонов А. Э., Холиков А. Х., Сайитов Ш. С. Повышение эффективности использования тепловой энергии за счёт использования энергоэффективных технологий на производственных предприятиях // Все науки: международный научный журнал. – 2022. – №6, 2022. – 387—396 с.
7. Абдурахмонов С. М., Сайитов Ш. С. Автомобил ойналарини иситиш тизимларига терминал кавширлаш технологияси тугрисида //. Все науки: международный научный журнал. – 2023. – №2, 2023. C. 22—32.
8. Евгений Константинов. Выйти из сумрака // Наука и жизнь. – 2015. – №11. – С. 112—119.
ОБЩИЙ ОБЗОР УСТРОЙСТВА И ФИЗИЧЕСКОЙ СОСТАВЛЯЮЩЕЙ ЭЛЕКТРОМАГНИТА НА ПОСТОЯННОМ ТОКЕ
УДК 621.318.3
Холматов Эркинжон Солиевич
Преподаватель кафедры «Электроники и приборостроения» факультета систем компьютерного проектирования Ферганского Политехнического Института
Ферганский Политехнический Институт, Фергана, Узбекистан
Аннотация. Использование могущественной силы, послушной, простой в обращении, которая применима в самых различных случаях, которая освещает, отапливает, приводит в движение машины в качестве сил мощнейшего притяжения весьма актуальный вопрос, который требует весьма подробного рассмотрение. Разумеется, образом такого исполнения является именно электромагнитная конструкция, физика которой строиться от первоначальных представлений об электромагнетизме. Существует также большое количество явлений подобного рода, каждая из которых требует наличие своего разбора по всем параметрам. Описанию созданного на данный момент алгоритма для таких случаем и посвящена настоящая работа.
Ключевые слова: электромагнит, магнитное поле, вектор магнитное индукции, индуктивность магнитного поля, проводник, напряжённость магнитного поля, соленоид, уравнения Максвелла для электромагнетизма, электромагнитная индукция.
Annotation. The use of a powerful force, obedient, easy to handle, which is applicable in a variety of cases, which illuminates, heats, drives machines as forces of the most powerful attraction is a very topical issue that requires very detailed consideration. Of course, the image of such a performance is precisely the electromagnetic design, the physics of which is built from the initial ideas about electromagnetism. There is also a large number of phenomena of this kind, each of which requires its own analysis in all parameters. This paper is devoted to the description of the algorithm created at the moment for such cases.
Keywords: electromagnet, magnetic field, magnetic induction vector, magnetic field inductance, conductor, magnetic field strength, solenoid, Maxwell equations for electromagnetism, electromagnetic induction.
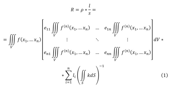
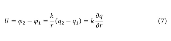
Изначально стоит отметить, что сама по себе конструкция электромагнита состоит из сердечника и чаще всего металлической проволоки, благодаря хорошей электропроводности. Сама эта конструкция также схожа с элементарным резистором или нагрузкой, функцию коих он также может исполнять, благодаря определяемому сопротивлению согласно закономерности (1).

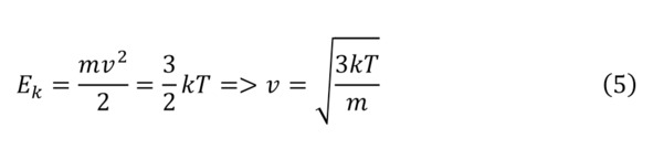
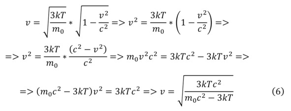
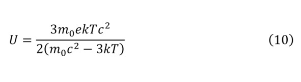
Если разобрать физику настоящего процесса, получается, что в данном случае заряды начинают своё движение, при условии, что это постоянный ток, влекомые благодаря электрическому полю, который создаётся благодаря разности потенциалов на выходе и входе обмотки электромагнита. И после того, как было определено его сопротивление, а также при условии, что известно протекающее количество заряда (2), можно определить проходящий ток (3), где скорость пролетающий частиц благодаря соответственно небольшой разности потенциалов, в ином бы случае это вызвало слишком сильное увеличение температуры, равняется тепловой скорости (5) для классического вида и в (6) для релятивистской формулировки, вычисляемая через энергию (4).





И уже соответственно после этого можно будет прийти к закономерности определения этой величины разности потенциалов, через полученные данные благодаря (7—10).




Однако, при использовании такой конструкции в дело вступает не только элементарная функция резистора, но и нечто иное. Любой заряд обладает некоторыми параметрами, а именно величиной в Кулонах, а также величиной электрического поля, которое он создаёт вокруг себя. Сам по себе заряд априори не может создавать такую субстанцию, как магнитное поле, доказательство чему будет приведено ниже, но его может порождать электрической поле. В стационарном состоянии заряд также обладает таким свойством, а когда большое количество зарядов в проводнике начинают своё движение, они по определению, как создают, так и являются подвластными этому самому электрическому полю. В результате, вокруг этого самого проводника создаётся вихревое магнитное поле.

