
Ключевые технологии и приемы использования щитовых проходческих комплексов при сооружении туннелей
Общая длина корпуса щита определяется исходя из инженерно-геологических и гидрогеологических условий пластов, условий прокладки туннеля (включая диаметр поперечного сечения, максимальный продольный уклон и минимальный радиус кривой), длины центрального гибочного устройства (длина опорного кольца должна учитывать длину центрального гибочного устройства), а также формы и ширины конструкции тюбингов.
Отношение общей длины L корпуса щита к наружному диаметру D оболочки щита обычно называют коэффициентом чувствительности щита; величина отношения L/D может отражать способность управления положением корпуса щита при проходке криволинейного туннеля.
Взаимосвязь между L и D показана на рис. 3-14. Из рисунка видно, что когда внешний диаметр D оболочки корпуса щита < 7 м, L/D ≥ 1, то чем меньше внешний диаметр D оболочки щита, тем больше отношение L/D. Когда внешний диаметр D оболочки щита корпуса щита > 7 м, L/D < 1, то чем больше внешний диаметр D оболочки щита, тем меньше отношение L/D. Как правило, отношение L/D составляет не менее 0.4. Отношение L/D группы щитов с композитными пластами обычно немного больше, чем у щитов с мягким грунтом.
Длина срезного кольца LH должна определяться в соответствии с инженерно-геологическими и гидрогеологическими условиями вынимаемых пластов. Для щитов из композитных пластов пространство срезного кольца должно быть достаточным для формирования камеры с глинистой водой для щитов с балансом давлением грунта или щитов с балансом глинистой воды, поэтому объем грунта должен определяться в зависимости от его характеристик (форма, размер частиц) и скорости копания, а затем длина срезного кольца LH должна определяться в зависимости от объема камеры с глинистой водой. Для щита с ручной выемкой основной функцией срезного кольца является обеспечение безопасности оператора в пространстве срезного кольца, поэтому LH и форма конструкции зависят от условий грунта. Если условия грунта нестабильны, на вершине срезного кольца, на верхнем карнизе, может быть установлено расширение (верхний карниз может иметь телескопическую форму).

Рис. 3-14. Соотношение между общей длиной L корпуса щита и внешним диаметром D оболочки щита
Для щитов, выкапывающих вручную, длина опорного кольца LG определяется длиной силового гидроцилиндра и требуемым ходом штока поршня, то есть связана с шириной кольца футеровочного тюбинга. Для щитов из композитных пластов LG не только учитывает длину силового гидроцилиндра и требуемый ход штока поршня, но также учитывает требования к осевому положению установки такого оборудования, как главный подшипник лопасти, приводное устройство, центральное гибочное устройство, шлюз и шлакоразгрузчик шнекового типа.
Длина щитового хвоста LT зависит от ширины кольца футерованного тюбинга и формы конструкции. LT должен вмещать от 2 до 2.5 колец футерованного тюбинга, чтобы в случае повреждения части кольца футерованного тюбинга его можно было отремонтировать в третьем кольце. Кроме того, при большой глубине заложения и высоком давлении воды хвостовая часть щита должна иметь достаточную длину для установки уплотнения хвостовой части щита, чтобы обеспечить хорошую водонепроницаемость на поверхности вырытого туннеля.

(3-5),
где: LJ – длина упорного устройства на конце штока силового гидроцилиндра (мм);
Ls – ширина футерованного тюбинга, покрытого хвостовой частью щита (мм);
LP – длина установки хвостового уплотнения щита (мм);
C – допустимое отклонение при установке футерованного тюбинга; обычно C = 100 – 150 мм (для футеровочных колец с аксиально вставленными уплотнительными блоками длина может быть увеличена в зависимости от угла вставки аксиально вставленных уплотнительных блоков);
C' – другие допустимые отклонения (мм).
4) Сила тяжести щита W
Сила тяжести щита – это сумма тяжести всего оборудования, установленного в корпусе щита, отвала, силового гидроцилиндра, шарнирного гидроцилиндра, трубоукладчика, кабины оператора, винтового конвейера (камнедробилки и линии подачи и выгрузки глины для щитов с балансом глинистой воды) и т. д. В общем, взаимосвязь между силой тяжести щита (W) и диаметром щита (D) выглядит следующим образом:
(1) Для щитов, выкопанных вручную или полумеханических щитов:

(3-6),
(2) Для механических щитов:

(3-7),
(3) Для щитов с балансом глинистой воды:

(3-8),
(4) Для щитов с балансом давления грунта:

(3-9),
где: D – внешний диаметр щита (м);
W – сила тяжести основного каркаса щита (кН).
5) Движущая сила щита Fe
При проектировании движительной установки (пропульсивной установки) щита рассматриваются следующие основные элементы сопротивления:
Сопротивление оболочки щита окружающим пластам во время продвижения щита – F1, сопротивление продвижению лопастной панели – F2, сопротивление трению между тюбингом и хвостовой частью щита – F3, сопротивление проникновению срезного кольца в пласт – F4, сопротивление повороту (конструкция кривой и отклонение) – F5, буксировочное сопротивление соответствующего прицепа после буксировки – F6. Тяга должна быть с достаточным запасом, общая тяга обычно в 1.5 – 2 раза больше общего сопротивления.

(3-10),
где: F e– суммарная тяга щитового оборудования (кН);
A – коэффициент запаса прочности, обычно от 1.5 до 2:
F d – общее сопротивление продвижению щита, Fd = F1 + F2 + F3 + F4 + F5 + F6.
Иногда Fd также можно оценить по следующей формуле:

(3-11),
где: D – внешний диаметр щита (м).
P J– эмпирическая тяга на единицу вынимаемой поверхности, то есть удельная тяга; обычно 700 – 1100 кН·м2 для открытых щитов и 1000 – 1500 кН·м2 для щитов с закрытым забоем.
(1) Периферийная сила реакции во время продвижения щита F1
1. Для песчаной почвы:

(3-12),
где: F1 – сила периферийной реакции при продвижении щита, то есть сопротивление трения между корпусом щита и окружающими пластами (кН).
D – внешний диаметр щита (м);
L – общая длина щита (м);
P e – сила вертикального давления грунта, действующая на верхнюю часть щита (кПа);
K – коэффициент статического давления грунта на забой;
γ – плавающий вес грунта на забое (кН·м3);
μ1 – коэффициент трения между пластом и оболочкой щита; обычно принимается равным μ1 = 1/2 tanφ, где φ – угол трения в почве;
W – сила тяжести основного каркаса щита (кН).
Его также можно оценить по следующей формуле:

(3-13),
где F1 – периферийная сила реакции во время продвижения щита (кН);
μ1 – коэффициент трения между пластами и корпусом щита;
D – внешний диаметр щита (м);
L – общая длина корпуса щита (м);
P m – среднее давление грунта, действующее на щит (кПа);
W – Сила тяжести основного каркаса щита (кН).
2. Для глинистых почв

(3-14),
где: D – внешний диаметр щита (м);
L – общая длина корпуса щита (м);
C – связность грунта на забое (кПа).
(2) Сопротивление продвижению режущей пластины F2
Для ручных и полумеханических щитов сопротивление движению в основном представляет собой силу реакции опоры на поверхности забоя, а для механических и закрытых щитов – это сопротивление движению, действующее на резец, и давление в почвенном отсеке, соответственно, рассчитываемое по следующему уравнению:

(3-15),
где F2 – сопротивление продвижению лопастной панели (кН);
D – внешний диаметр щита (м);
P f – давление перед выемкой грунта; щит с балансом глинистой воды – расчетное давление глинистой воды в грунтовом отсеке; щит с балансом давления грунта – расчетное давление грунта в грунтовом отсеке (кПа).
(3) Сопротивление трению между тюбингом и хвостовой частью щита F3

(3-16),
где: F3 – сопротивление трению между тюбингом и хвостовой частью щита (кН);
n 1 – количество колец тюбингов в хвосте щита;
W s – сила тяжести тюбингового кольца (кН);
μ2 – коэффициент трения между щеткой и тюбингом (обычно от 0.3 до 0.5);
D s – внешний диаметр тюбинга (м);
b – длина контакта между каждой щеткой и тюбингом (м);
P t – давление смазки внутри щетки (кПа);
n 2 – количество слоев хвостовой щетки щита.
(4) Сопротивление проникновению срезного кольца в пласт F4
1. Для песчаных почв:

(3-17),
где: F4 – сопротивление проникновению срезного кольца в пласт (кН);
D – внешний диаметр переднего щита (м);
D i – внутренний диаметр переднего щита (м);
P 3 – среднее давление грунта при установке срезного кольца(кПа);
t – глубина внедрения срезного кольца в пласт (м);
K p – коэффициент пассивного давления на грунт;
P m – среднее давление грунта, действующее на щит (кПа).
2. Для глинистых почв:

(3-18),
где: С – связность грунта у забоя (кПа).
Остальные показатели имеют то же значение, что и раньше.
(5) Сопротивление повороту F5

(3-19),
где: F 5– сопротивление повороту, также известное как переменное сопротивление (кН);
R – давление сопротивления грунта (пассивное давление грунта) (кПа);
S – проектная площадь плиты сопротивления в направлении выемки (м2).
Сопротивление повороту существует только при строительстве кривой. Поскольку расчет проектируемой площади сопротивления в направлении выемки сложен, сопротивление повороту обычно не рассчитывается, но при определении общей тяги следует учитывать такие факторы, как подъем, строительство кривой, прогиб при строительстве щита, поэтому необходимо делать поправки на показатели.
(6) Буксировочное сопротивление соответствующего прицепа после буксировки F6

(3-20),
где: F6 – буксировочное сопротивление соответствующего прицепа после буксировки;
μ3 – коэффициент трения между задним опорным прицепом и дорожкой качения;
W ъ – общая сила тяжести задней части прицепа и оборудования на прицепе (кН).
6) Крутящий момент фрезы
Расчет крутящего момента фрезы сложен. Крутящий момент при погружении фрезы в грунт обычно состоит из сопротивления почвы резанию (используется для преодоления сопротивления почвы резанию), сопротивления вращению фрезы (используется для преодоления сопротивления трения с почвой), реакции от осевой нагрузки на фрезу, трения от уплотнительного устройства, трения на передней поверхности фрезы, трения за фрезой, сдвига при открывании фрезы и отталкивания при давлении почвы.
T 1 – расчетная составляющая крутящего момента режущего инструмента включает в себя крутящий момент режущего инструмента ; T2 – собственный вес фрезы создает крутящий момент подшипника; T3 – крутящий момент подшипника из-за осевой нагрузки на фрезу; T4 – момент трения уплотнительного устройства; T5 – фрикционный крутящий момент на передней поверхности фрезы; T6 – фрикционный крутящий момент на окружности фрезы; T7 – фрикционный крутящий момент на задней поверхности фрезы; T8 – момент срезания паза отверстия фрезы. Расчетный крутящий момент фрезы T является суммой вышеуказанных компонентов. Коэффициент запаса крутящего момента обычно составляет 1.5 – 2. В то же время, согласно зарубежному опыту проектирования щитов, крутящий момент фрезы может быть оценен по следующей формуле:

(3-21),
где: K α – коэффициент крутящего момента относительно диаметра лопасти; в общем случае K α = от 14 до 23 для щитов с балансом давления грунта и Kα = от 9 до 18 для щитов с балансом глинистой воды.
Расчет каждого компонента крутящего момента выполняется следующим образом:
(1) Крутящий момент резания фрезы T1:

(3-22),
где: T1 – крутящий момент резания фрезы (кН∙м);
n – скорость вращения фрезерной головки (об/мин);
qu– прочность на сжатие срезаемого грунта (кПа);
h max – проникновение, то есть глубина реза за один оборот фрезы (м); hmax= V / n, V – скорость движения (м/ч);
D – диаметр диска фрезы (м).
(2) Собственный вес фрезы создает крутящий момент подшипника T2

(3-23),
где: W c – вес резца (кН);
R 1 – радиус качения коренного подшипника (м);
μ g – коэффициент трения качения подшипника.
(3) Крутящий момент подшипника из-за осевой нагрузки на фрезу T3:

(3-24),
где: P t – осевая нагрузка на фрезу;
Остальные показатели имеют то же значение, что и раньше.

(3-25),
где: α – скорость, при которой клапан не открывается, α = 1 – As, где As – скорость, при которой клапан открывается;
D – диаметр диска фрезы (м);
P d – активное давление грунта на переднюю сторону щита (кПа).
(4) Момент трения уплотнительного устройства T4:

(3-26),
где: μm– коэффициент трения между уплотнением коренного подшипника и сталью, обычно принимается равным μm= 0.2;
F m – тяга уплотнения (кПа);
n 1 – количество внутренних уплотнений;
n 2 – количество внешних уплотнений;
R m1 – радиус внутреннего уплотнения (м);
R m2 – радиус наружного уплотнения (м).
(5) Фрикционный крутящий момент на передней поверхности фрезы T5:

(3-27),
где: α – скорость, при которой клапан не открывается;
μ1 – коэффициент трения между почвой и фрезой;
R c – радиус резца фрезы (м);
P d – активное давление грунта на переднюю сторону щита (кПа).
(6) Фрикционный крутящий момент на окружности фрезы T6:

(3-28),
где: R c – радиус резца фрезы (м);
B – толщина периметра фрезы (м);
P z – среднее давление грунта по окружности фрезы (кПа);
μ1 – коэффициент трения между почвой ифрезой.
(7) Фрикционный крутящий момент на задней поверхности фрезы T7:
Фрикционный крутящий момент на задней поверхности фрезы T7 создается давлением грунта Pw в грунтовом отсеке и рассчитывается как:

(3-29),
где: α – скорость, при которой клапан не открывается;
μ1 – коэффициент трения между почвой и фрезой;
R c – радиус резца фрезы (м);
P w – заданное давление грунта в грунтовой камере (кПа).
(8) Момент срезания паза отверстия фрезы T8:

(3-30),
где: τ – сила сдвига фрезы;
R c – радиус резца фрезы (м);
A 8 – скорость открывания фрезы.

(3-31),
где: C – связность грунта у забоя (кПа);
φ – угол внутреннего трения грунта в камере; в случае щита с балансом глинистой воды это смесь ила и глинистой воды, угол внутреннего трения обычно принимается равным φ = 5°.
P w – установленное давление грунта (кПа) в грунтовом отсеке, или давление глинистой воды в случае щита с балансом глинистой воды.
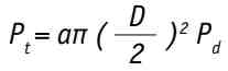
7) Мощность главного привода W0

(3-32),
где: W0 – мощность системы главного привода (кВт);
A w – коэффициент запаса мощности, обычно от 1.2 до 1.5;
T – номинальный крутящий момент фрезы (кН∙м);
ω – угловая скорость фрезы, ω = 2πn/60, n – скорость вращения фрезерной головки (об/мин);
η – эффективность системы главного привода.
8) КПД двигательной установки Wf

(3-33),
где: Wf– мощность двигательной установки (кВт);
A w– коэффициент запаса мощности, обычно от 1. 2 до 1. 5;
F – максимальная тяга (кН);
V – максимальная скорость движения (м/ч);
η w – КПД двигательной установки; ηw = ηpmηpvηc, ηpm – механический КПД двигательного насоса, ηpv – объемный КПД двигательного насоса, ηc – КПД муфты сцепления валов.
9) Возможность одновременного использования системы цементирования
(1) Теоретический объем цементации на одно кольцо тюбинга Q

(3-34),
где: Q – строительная пустота на кольцо тюбинга, то есть теоретический объем цементации на кольцо тюбинга (м3);
D – диаметр забоя (м);
D s – внешний диаметр тюбинга ;
L – ширина тюбинга (м).
(2) Минимальное время продвижения каждого цикла t

(3-35),
где: L – длина пласта (м);
V – максимальная скорость движения (м/ч).
(3) Теоретическая мощность цементации t

(3-36),
где: q – теоретическая производительность синхронной цементационной системы (м3/ч);
D – диаметр забоя(м);
D s – внешний диаметр трубного листа (м);
V – максимальная скорость движения (м/ч).
(4) Номинальная производительность цементирования
Номинальная производительность синхронного цементировочного насоса q p учитывает скорость закачки пласта λ и производительность цементировочного насоса η и определяется по формуле:

(3-37),
где: λ – коэффициент стратиграфической закачки, варьируется в зависимости от пласта, обычно 1.5 ~ 1.8;
D – диаметр забоя (м);
D s – внешний диаметр тюбинга (м);
V – максимальная скорость движения (м/ч);
η – производительность шламового насоса.
10) Система транспортировки глинистой воды
(1) Гидродинамометр глинистой воды
1. Извлеченный расход грунта QE

(3-38),
где: QE– расход грунта в забое (м3/ч);
D – диаметр забоя (м);
V – максимальная скорость движения (м/ч).
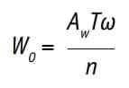
2. Скорость бурового раствора на выходе Q2

(3-39),
где: Q2– расход бурового раствора (м3/ч);
Q E – расход извлеченного грунта (м3/ч);
ρE– плотность извлеченного грунта (т/м3);
ρ1 – плотность подачи бурового раствора (т/м3);
ρ2 – плотность разгрузки бурового раствора (т/м3).
3. Расход подачи бурового раствора Q1

(3-40),
где: Q1 – расход подачи бурового раствора (м3/ч);
Q 2 – расход сброса бурового раствора (м3/ч);
Q E – расход выемки (м3/ч).
Подача и сброс бурового раствора должны учитывать определенный запас, коэффициент запаса обычно составляет 1.2 ~ 1.5. В то же время, принимая во внимание систему транспортировки глинистой воды в режиме байпаса, подачу и сброс бурового раствора равных характеристик, при подаче шламового насоса выбор величины его вытеснения не должен быть меньше, чем теоретический поток сброса.
(2) Расчет расхода подачи и сброса бурового раствора
1. Скорость потока в трубе подачи бурового раствора

(3-41),
где: V1 – скорость потока в трубе подачи бурового раствора (м/ч);
Q 1 – расход бурового раствора (м3 /ч);
D 1 – внутренний диаметр трубы для подачи бурового раствора (м).
2. Скорость расхода в грунтопроводе где:

(3-42),
где: V2 – скорость расхода в грунтопроводе (м/ч);
Q 2 – расход сброса бурового раствора (м3/ч);
D 2 – внутренний диаметр грунтопровода (м).
3.3. КОНТРОЛЬ ОСАДКИ ЩИТОВОЙ КОНСТРУКЦИИ
Технология щитовой проходки является одним из наименее нарушающих городское подземное строительство методов, но, как и в случае с другими методами строительства, из-за геологических условий и техники строительства трудно полностью избежать нарушения окружающей среды при щитовом продвижении, и поэтому существует вероятность оседания грунта. В тяжелых случаях может возникнуть угроза безопасности прилегающих зданий, дорог и подземных сетей трубопроводов, что в конечном итоге может привести к серьезным последствиям, как показано на рис. 3.15 и рис. 3.16. Этот раздел посвящен механизму нарушения грунта при строительстве во время щитовой выемки грунта и представляет методы прогнозирования и контроля осадки грунта.

Рис. 3-15. Наклон здания

Рис. 3-16. Растрескивание грунта
3.3.1. Механизм нарушения почвы при щитовой выемке грунта
По мере продвижения щита, оседание или поднятие фундамента происходит накладываясь друг на друга, процесс показан на рис. 3-17 и наконец достигает своего конечного значения. Где стадии 1 и 2 находятся до прохождения щита, стадия 3 – во время прохождения щита, а стадии 4 и 5 – это явления, происходящие после прохождения щита. Эти явления не являются неизбежными, и при условии, что схема туннелирования щита и параметры выбраны соответствующим образом, продольная деформация фундамента может быть сведена к минимуму. Краткое описание причин и механизмов оседания на каждом этапе приведено в таблице 3-5.

Рис. 3-17. Схема стадий деформации фундамента во время продвижения щита
1) Упреждающее регулирование
Предэкскаваторная осадка – это осадка, возникающая с момента, когда забой находится на значительном расстоянии (десятки метров) от точки наблюдения за грунтом до момента, когда забой достигает точки наблюдения и понижения уровня грунтовых вод по мере выемки щита. Расстояние, на которое влияет предварительное оседание, варьируется в зависимости от мягкости грунта.
2) Оседание или поднятие перед выемкой грунта

