

Сибикеев К. В.
РЕГИОНОВЕДЕНИЕ
Шпаргалки
1. Понятие курса «Регионоведение». Экономические зоны. Экономический район
Регионоведение – область научных знаний, изучающая территориальную организацию хозяйства.
Предметом регионоведения являются экономические районы всех уровней – экономические зоны, укрупненные районы, крупные экономические районы, районы среднего звена, промышленные узлы, промышленные центры, агломерации, территориально-производственные комплексы, отраслевые промышленные и агропромышленные комплексы, свободные экономические зоны.
Регионоведение изучает внутрирайонные и межрайонные экономические связи, а также ход экономических реформ в регионах в условиях становления и развития рыночных отношений. Регионоведение раскрывает понятия всех форм территориальной организации хозяйства.
Экономические зоны представляют собой группы укрупненных районов.
В настоящее время выделяются две экономические зоны – Западная и Восточная. Важнейшее значение этих зон для развития России состоит в рационализации хозяйственных пропорций. Роль Западной зоны возрастает преимущественно в развитии машиностроения, сложных, высококвалифицированных отраслей промышленности, обеспечивающих научно-технический прогресс. Восточная зона – основная ресурсно-энергетическая база страны, и в перспективе сохранится приоритет за топливно-энергетическим комплексом, разработкой лесных ресурсов, энерго– и водоемкими отраслями промышленности.
Крупный экономический район – это целостная территориальная часть народного хозяйства страны, имеющая свою производственную (рыночную) специализацию и прочные внутренние экономические связи. Крупный экономический район неразрывно связан с другими частями страны общественным разделением труда. В каждом крупном экономическом районе выделяются три группы взаимосвязанных друг с другом отраслей – отрасли рыночной специализации, отрасли, дополняющие территориальный комплекс, и отрасли инфраструктуры. В настоящее время функционирует 11 крупных экономических районов – Северный, Северо-Западный, Центральный, Центрально-Черноземный, Волго-Вятский, Поволжский, Северо-Кавказский, Уральский, Западно-Сибирский, Восточно-Сибирский и Дальневосточный.
Крупные экономические районы подразделяются на районы среднего звена, или мезорайоны. К ним относятся республики, края и области, входящие в состав России.
Задачей курса «Регионоведение» является изучение природно-ресурсного потенциала экономических районов всех рангов, проблем населения и трудовых ресурсов каждого района, региональных экологических проблем. Регионоведение изучает отраслевую и территориальную структуру хозяйственных комплексов районов России, основные формы территориальной организации хозяйства, внутрирайонные и межрайонные экономические связи, а также ход экономических реформ в регионах в условиях становления и развития рыночных отношений.
2. Методология, научные методы дисциплины «Регионоведение»
Методологической базой регионоведения являются современные научные теории экономического районирования, результаты исследования структуры региональных комплексов, целевые федеральные программы развития регионов России, теоретические аспекты формирования территориально-производственных и отраслевых комплексов, закономерности и принципы размещения производительных сил отраслей хозяйства и экономических районов, положения региональной политики и стратегии.
В своих исследованиях регионоведение использует различные методы – балансовый, индексный, экономико-статистический, историко-сравнительный, картографический, методы экономико-математического моделирования при выборе оптимальных вариантов размещения производств в регионах, метод системного анализа и др.
Все методы исследования и показатели территориальных программ и прогнозов имеют целью выявить резервы роста производства в экономических районах, пропорциональность, эффективность и динамичность их развития.
Так, балансовый метод позволяет выбрать оптимальное соотношение между отраслями рыночной специализации, отраслями, дополняющими территориальный комплекс, т. е. обеспечивающими как потребности ведущих отраслей, так и нужды населения, и отраслями сферы услуг.
Балансы необходимы также для разработки рациональных межрегиональных и внутрирегиональных связей. Экономические обоснования размещения предприятий: выбор региона и места для сооружения предприятия, расчеты обеспеченности его сырьем, топливом, энергией, водой, трудовыми и другими ресурсами – все это составляет содержание балансового метода.
Составление отраслевых и региональных балансов позволяет установить уровень комплексного развития региона, выявить наличие в его развитии диспропорций.
Специфическим методом исследования регионоведения является картографический метод.
Карта является источником знаний, источником обогащения информацией размещения производительных сил в каждом районе. Она позволяет наглядно представить особенности размещения. Благодаря картам, картосхемам, картограммам, картодиаграммам лучше воспринимаются и запоминаются не только особенности размещения, но и количественные показатели, характеризующие уровни развития районов. Карта является как бы образной моделью территории, на которой при помощи условных знаков отображаются объекты, явления в их взаимосвязи.
В региональных исследованиях широко применяется индексный метод. Для количественного определения уровня специализации экономического районирования используются коэффициент локализации, коэффициент душевого производства и коэффициент межрайонной товарности.
3. Коэффициент локализации, коэффициент производства продукции района на душу населения, коэффициент межрайонной товарности
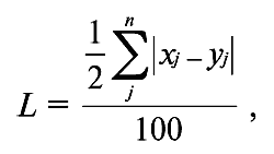
Коэффициент локализации данного производства (L) представляет собой отношение удельного веса данной отрасли в структуре производства к удельному весу той же отрасли в стране.
Его расчет производится по валовой товарной продукции, основным промышленным фондам и численности промышленно-производственного персонала.

где хj – доля j-гo региона в общем объеме факторного признака;
уj – доля j-гo региона в общем объеме результативного явления (в данном случае товарооборота);
n – число j-х регионов.
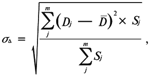
Коэффициент душевого производства σΔ исчисляется как отношение удельного веса отрасли хозяйства региона в соответствующей структуре отрасли страны к удельному весу населения региона в населении страны.

где Dj – товарооборот на душу населения j-го региона;
D — средний товарооборот на душу населения по всем регионам;
Sj – численность населения j-го региона;
m – число j-х регионов.
Коэффициент региональной товарности (КМт) рассчитывается как отношение вывоза из региона данной продукции к ее региональному производству.

где Pij, – цена i-го товара в j-м регионе;
S – численность жителей j-го региона;
n – число i-х товаров;
m – число j-х регионов.
Если расчетные показатели больше или равны единице, то такая отрасль является отраслью рыночной специализации района.
4. Показатели, определяющие эффективность специализации районов
Одним из важнейших критериев размещения отраслей хозяйства на конкретной территории экономического района является показатель их экономической эффективности. Для определения экономической эффективности принят главный критерий получения намеченных объектов продукции с наименьшими затратами. В качестве показателей эффективности размещения производств принимаются себестоимость продукции с учетом ее доставки потребителю, удельные капиталовложения на единицу мощности и прибыль.
Наряду с этими показателями по каждой отрасли производства района разрабатывается система технико-экономических показателей ее размещения Эта система включает:
1) удельные расходы основных видов сырья, топлива, энергии, воды на единицу продукции;
2) выход производственных отходов на единицу продукции;
3) трудовые затраты на единицу продукции;
4) удельные затраты основных фондов. Использование показателей эффективности рационального размещения производств в районе способствует установлению оптимальных пропорций между ними.
Важнейшим методом исследования в регионоведении является системный анализ, позволяющий изучать комплексное развитие района, внутренние связи и их взаимодействие. Системный анализ – это всесторонний анализ, использующий принцип поэтапности начиная от постановки цели, определения задач, формулировки научной гипотезы, всестороннего изучения особенностей оптимального варианта размещения производства. При этом критерием является наибольшее удовлетворение потребностей населения. В настоящее время, особенно в период становления рыночных отношений, проблемы размещения становятся все более сложными, а отраслевые и территориальные связи – все более трудно управляемыми. Поэтому возникает необходимость в применении нового метода исследования – экономико-математического моделирования. Этот метод позволяет определить территориальные пропорции развития экономики России, составить модель оптимального размещения отраслей хозяйства, составить модель формирования хозяйственных комплексов регионов. Использование этого метода с применением ЭВМ дает возможность с минимальными затратами труда и времени обрабатывать огромные массивы исходных данных и выбирать оптимальные решения в соответствии с поставленной целью.
5. Задачи научной дисциплины «Регионоведение»
Важнейшей задачей регионоведения является разработка теоретических основ формирования и развития экономических районов в условиях становления и развития рыночных отношений, разработка программ развития экономических районов в условиях рынка.
При этом главными ориентирами, особенно в развитии предпринимательства, создании социальной инфраструктуры, охране и рациональном использовании природных ресурсов, являются:
1) учет специфики каждого региона в осуществлении структурной, инвестиционной, финансовой, социальной, внешнеэкономической перестройки;
2) перенос основных направлений рыночных реформ на региональный уровень.
Одной из задач в проведении региональных экономических реформ являются разработка мер по пространственной интеграции экономики России, создание механизма вертикальных и горизонтальных взаимодействий органов управления, разработка мероприятий по преодолению распада межрегиональных хозяйственных связей, сохранению единого рыночного пространства.
Главная цель региональной политики – обеспечение достойного уровня благосостояния в каждом регионе.
Следует выделить следующие стратегические задачи регионального развития.
Для старопромышленных районов и крупных городских агломераций главная задача заключается в конверсии оборонных отраслей, модернизации инфраструктуры, утверждении многообразия форм собственности, оздоровлении экологической обстановки. Для районов Нечерноземья, Южного Урала, Сибири, Дальнего Востока наиболее актуально преодоление кризиса в аграрной сфере, возрождение малых городов и сел, развитие производственной и социальной инфраструктуры, освоение заброшенных земель. Необходимы разработки программ по самообеспечению населения продовольствием.
Для экстремальных районов Крайнего Севера и горных районов важнейшими задачами являются стабилизация социально-экономического положения, создание условий для возрождения малочисленных народов при основательной государственной поддержке.
Для всех регионов России важнейшей задачей является стимулирование развития экспортных и импорто-заменяющих производств, формирование свободных экономических зон, создание технополисов как региональных центров внедрения достижений отечественной и мировой науки, ускорения экономического и социального прогресса.
Для приграничных районов необходимы программы по переспециализации, ускоренному развитию инфраструктуры с учетом потенциальных переселенцев и передислокации воинских частей.
Важной задачей регионоведения на современном этапе является разработка мер по преодолению чрезмерного отставания в уровне и качестве жизни населения отдельных республик и областей России.
6. Исконные особенности регионального развития России
Исконные особенности (культурные, природные)
1. Огромная территория – Россия по-прежнему остается самой большой страной в мире.
2. Суровая природа – Россия расположена в суровом северо-восточному углу Евразии, три четверти ее территории покрыты тундрой и тайгой на вечной мерзлоте, лишь пятая часть пригодна для распашки, да и то половина этой части лежит в зоне рискованного земледелия.
Почти все окружающие моря замерзают, почти все границы безлюдны, проходят по горам и густым лесам, так что страна выглядит изолированной от соседей самой природой.
3. Контрасты размещения – 3/4 населения сосредоточены в европейской части, которая составляет лишь 1/4 территории страны, а на огромное пространство от Урала до Дальнего Востока приходится всего четверть населения. Основная часть ресурсов, обилием которых так знаменита Россия, расположена далеко от главных хозяйственных центров, а то и вовсе в труднодоступных для освоения районах Сибири и Крайнего Севера.
4. «Одномерность» – освоенная часть страны притиснута к южной границе и тянется полосой на десяток тысяч километров с запада на восток.
5. Противоречивость географии – разнообразие природы уживается с монотонностью вдоль обжитой полосы; отсутствие гор, затрудняющих сообщение, – с досадной «поперечностью» рек и хребтов, вроде Урала в этой полосе; пестрота наций уживается с подавляющим большинством одной из них по численности; жесткий государственный централизм – с традиционной автономией отдаленных окраин, а диспропорции в уровне и характере хозяйственного развития (от пост– до доиндустриального) – с повсеместным господством специфичнейшего советского наследия.
6. Сложность территориальной структуры – сосуществование простоты и хаотичности. Здесь господствуют два правила. Во-первых, четко прослеживается закономерность «центр – периферия» – концентрация жизни в крупнейших городах, падение плотности населения, хозяйственной активности, инновативности и многого другого по мере удаления от этих центров. Особенно ярко проявляется это в масштабе страны с удалением от Москвы, однако воспроизводится часто и на других масштабах – и внутри области, и внутри отдельного района. Поэтому общая картина становится мозаичной, беспорядочной. Во-вторых, часто отсутствует мезомасштаб: легко различить на территории России крупные части, вроде Сибири или Урала (макромасштаб), каждый житель хорошо знает район своего обитания (микромасштаб), но различение районов среднего уровня, вроде Мещеры или Поморья, встречается крайне редко. Это правило воспроизводится порой и на других масштабах (легко выделить в Москве две-три крупные части и множество своеобразных кварталов, но трудно разделить ее на 10—20 четких частей). Все это сильно осложняет территориальную организацию общественной жизни.
Конец ознакомительного фрагмента.
Текст предоставлен ООО «ЛитРес».
Прочитайте эту книгу целиком, купив полную легальную версию на ЛитРес.
Безопасно оплатить книгу можно банковской картой Visa, MasterCard, Maestro, со счета мобильного телефона, с платежного терминала, в салоне МТС или Связной, через PayPal, WebMoney, Яндекс.Деньги, QIWI Кошелек, бонусными картами или другим удобным Вам способом.
Приобретайте полный текст книги у нашего партнера:

