
Аппараты с перемешивающими устройствами

Константин Ефанов
Аппараты с перемешивающими устройствами
Введение
Монография охватывает почти полностью все проблемы, возникающие при проектировании химических и нефтяных аппаратов с мешалками, применен междисциплинарный подход к проблемам.
Материал монографии направлен на обмен опытом и облегчение работы инженерам-конструкторам аппаратов с механическими перемешивающими устройствами.
В монографии рассмотрены:
– теория расчета валов на основе теории колебаний, приведены примеры расчетов и построения эпюр
– теория расчета валов методом конечных элементов
– теория подбора мешалок, предложен новый подход к подбору мешалки с объединением подходов их химической технологии и проектирования лопастных устройств,
– приведен пример технологического расчета аппарата с мешалкой по критериальным зависимостям и модели идеальных реакторов с определением его геометрических размеров и расходов теплоносителей.
– приведена информация о большем физическом обосновании расчетов процессов перемешивания методами вычислительной гидродинамики по сравнению с расчетами по критериальным уравнениям и по моделям реакторов идеального смешения,
– приведена теория моделей идеальных реакторов, ячеечной модели, оценки степени отклонения от идеального перемешивания,
– приведена теория расчета методами вычислительной гидродинамики.
Результатом ознакомления с представленной в работе теорией и умелом ее применении в практике конструирования перемешивающих устройств, будет являться разработка наилучших и оптимальных конструкций химических и нефтяных аппаратов с перемешивающими устройствами. И как следствие, создание в КБ серьезного центра компетенций по проблемам этого оборудования, повышения престижа компании-производителя среди прочих.
__
Посвящается Господу Богу Иисусу Христу!
Благодарность моей маме Татьяне Викторовне, работавшей инженером в нефтяном машиностроении.
Расчет и проектирование валов




Основные требования к аппаратам с мешалками установлены ГОСТ 20680-2002. Аппараты, изготавливаемые по каталогам изготовителей считаются стандартными, аппараты, изготавливаемые по индивидуальному техническому проекту считаются нестандартными. Нестандартные аппараты могут иметь отступления в конструктивных параметрах от ГОСТ 20680.
Мешалки устанавливаются на консольных валах и пролетных валах, имеющих опору в днище аппарата.
Верхняя опора вала состоит из двух разнесенных подшипников, что создает дополнительный пролет. В расчете этот дополнительный пролет учитывается/не учитывается на усмотрение расчетчика.
Самая простая схема верхней опоры вала в состоит в креплении вала в плоском мотор-редукторе и использовании подшипников редуктора в качестве верхней опоры вала [1]:
В этом случае вал уплотняется манжетным кольцом в крышке аппарата, торцовые уплотнения не используются. К недостатку можно отнести отсутствие возможности измерения температуры подшипников и затруднение их обслуживания, ограничения по массе подвешиваемого вала.
Повышение температуры подшипников и выход их из строя могут привести к взрывоопасной ситуации. Как правило при превышении температуры подшипников, электродвигатель останавливается. В конструкциях без стойки-привода, подшипники установлены в мотор-редукторе и отсутствует возможность контроля температуры. И следовательно, такая конструкция менее взрывобезопасная. Поэтому по мнению автора настоящей работы, нужно использовать только конструкции со стойкой-приводом для условий работы, в которых необходима взрывобезопасность и контроль исправности подшипников. Идти на удешевление в ущерб безопасности по-видимому не следует.
Сложные конструкции верхних опор валов реализуются с использованием опорных стоек, например по данным ОСТ 26-01-1225-75…ОСТ 26-01-1228-75 «Приводы вертикальные для аппаратов с перемешивающими устройствами. Типы, конструкции и основные размеры»:
Реализация верхней опоры вала с использованием опорной стойки является наиболее технически обоснованным решением. Такое решение аналогично опорным стойкам для полупогружных насосов типа ХП. Стойки мешалок имеют более сложную конструкцию.
В опорной стойке устанавливается торцовое уплотнение с подведенной системой охлаждения (аналогично нефтяным насосам), две подшипника, один из которых выполняет функцию осевого удержания, второй функцию удержания от поворота в плоскости чертежа, соединительную муфту.
Их соединительных муфт предпочтительнее в применении стягивающая валы продольно-разъемная муфта:
Сравнивая конструкции верхней стойки со стойками полупогружных насосов [29], можно отметить, что для аппаратов с мешалками они более сложные.
Нижние опоры однопролетных валов конструктивно оформляют по типу опор по ОСТ 26-01-55-77:
Мощность электродвигателя подбирается на основании расчета по РД 26-01-90-85 «Механические перемешивающие устройства. Метод расчета». Однако, методики, заложенные в этом документе являются устаревшими и мощность следует выбирать по результатам расчета процесса перемешивания методом конечных элементов.
Валы конструктивно выполняются сплошного сечения, ступенчатыми, полыми (из трубы). В необходимых случаях на поверхность вала наносится защита.
Расчет валов на резонанс, прочность и жесткость выполняется по РД РТМ 26-01-72–82. Валы вертикальных аппаратов с перемешивающими устройствами, методы расчёта.
Методика РД РТМ 26-07-72-82 вызывает вопросы в части ее корректности.
Расчеты валов на резонанс в сравнении с методикой РД РТМ 26-07-72-82 более обоснованно выполнять напрямую с использованием теории колебаний или методом конечных элементов.
Расчет по теории колебаний может быть автоматизирован применением математических пакетов программирования таких как MathCAD.
Расчет методом конечных элементов является теоретически самым обоснованным методом расчета валов и выполняется в специальном программном пакете. Используемый программный пакет может выступать в роли стандарта по-умолчанию на расчет валов на резонанс.
Расчет валов на резонанс по теории колебаний
Колебания при вращении вала происходят в результате отсутствия равновесия между внутренними силами упругости металла и внешними динамическими нагрузками. При гармоническом колебании отклонение оси вала от прямой происходит по синусоиде, т. е.:

Под степенью свободы понимается определение положения вала относительно системы координат с помощью одной координаты. Этой одной координате соответствует одна мешалка на валу.
Если колебания вала возникают из-за колебаний упругих внутренних сил, колебания являются свободными или собственными. Если под действием внешней силы по закону с заданной периодичностью, то колебания являются вынужденными.
Положительным расчетом вала на колебания является результат, по которому частота собственных колебаний не совпадает и не имеет близкого значения с критической частотой, т. е. с частотой вынуждающей силы.
При расчета по теории колебаний рассчитываются собственные и критические частоты. В случае их совпадения изменяется жесткость вала или устанавливается другая частота вынужденных колебаний.
Изменение жесткости вала связано с изменением статической деформации, которая связана со свободной частотой по формуле:

На резонансной частоте амплитуда вынужденных колебаний неограниченно возрастает при отсутствии внешних сопротивлений:

При наличии ограничителей колебаний, при резонансе амплитуды не превышают какого-либо максимального значения. Для валов мешалок в условиях отсутствия элементов, ограничивающих колебания, важно обеспечить расчетом отсутствие совпадения частот свободных колебаний и резонанса. При разгоне вала до рабочих оборотов, происходит быстрый переход через резонансную частоту, не оказывающий влияния на вал.
Для значений частот, близких к резонансной возникают биения вала. Для случая вала мешалки при отсутствии сопротивлений биению, колебания имеют вид:

Затухающие биения при отходе от частот, близких к резонансным имеет вид:

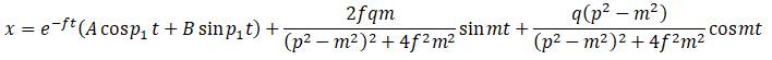
Для получения формулы вынужденных колебаний с учетом сопротивлений к внешним силам добавляют периодическую возмущающую силу


Упругие колебания системы с одной степенью свободы в общем случае (вторые два члена формулы относятся к вынужденным колебаниям):

Уравнения для всех трех приведенных случаев колебаний можно получить из него как частные случаи:
– собственные колебания без учета сопротивлений (f = 0, q = 0)

– собственные затухающие колебания (вынуждающая сила W = 0, )

– вынужденные колебания без учета сопротивлений (, в формуле получается, что первый член является вынужденными колебаниями, остальные два члена свободными колебаниями)

Формула вынужденных колебаний получается из вторых двух членов уравнения упругих колебания после отбрасывания свободных колебаний и замены в формуле

Т.е. вынужденные колебания являются гармоническими (так же как и собственные)

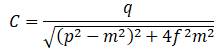
Амплитуда вынужденных колебания находится возведением в квадрат указанных двух членов формулы и последующим сложением:

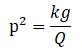
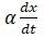
Как видно из формулы амплитуда вынужденных колебаний пропорциональна возмущающей силе, зависит от сравнительной частоты свободных р и вынужденных m колебаний, определяющих затухание свободных колебаний f.
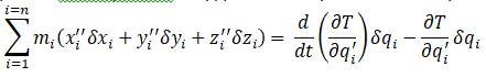
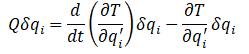
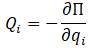
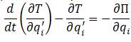
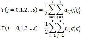
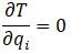
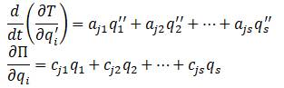
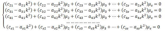
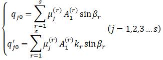
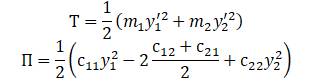
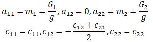
При m амплитуда С приближается к статической деформации вала. При m=p амплитуда С достигает больших величин, наступает явление резонанса вала. В отсутствии сопротивлений произойдет разрушение вала через определенный промежуток времени. При m>p амплитуда С стремиться к нулевому значению, колебания отсутствуют. Приведем график амплитуд колебаний: Как видно из рисунка, при резонансной частоте происходит разрыв кривой прогиба вала и разрушение вала. При расчете вала необходимо не допускать наличия расчетных частот в пределах биения, то есть в пределах близких к резонансной частоте для недопущения разрушения вала. Запас может превышать критическую частоту на 20 %. Такой запас, например, установлен для валов центробежных нефтяных насосов в ГОСТ 32601. При сложении свободных и вынужденных колебаний получается результирующее колебание как результат наложения колебаний, колебание получается в форме биений: Для описания положения мешалки используется обобщенная координата, то есть независимая величина, которая определяет изменение формы оси вала (положение системы). Обобщенной силой является сила, которая полностью определяет действующую систему сил. Обобщенная координата и сила связаны формулировкой: в результате произведения приращения обобщенной координаты на обобщенную силу получается работа. Движение вала с мешалкой описывается уравнениями в обобщенных координатах. Между обобщенными координатами и декартовыми координатами всегда существует зависимость в виде функции декартовых координат от обобщенных координат. Из общего уравнения движения системы, полученного в декартовых координатах, получают уравнение движения в обобщенных координатах. В результате получается запись: Для кинетическая энергия системы находится производная по обобщенным координате и скорости и после преобразований: Уравнение движения запишется в виде Силы, действующие на вал, зависят только от положения и не зависят от времени, скорости. В этом случае, согласно теоремы Кастильяно, обобщенная сила равна производной потенциальной энергии (при этом совершаемая работа переводит потенциальную энергию в кинетическую): По теореме Кастильяно [5,с.319] прогиб точки приложения сосредоточенной силы (P) равен частной производной потенциальной энергии деформации по этой силе, а производная потенциальной энергии деформации по обобщенной силе равна обобщенному перемещению: В результате получается уравнение движения Лагранжа: __ Равновесное положение системы вала принимается за начало обобщенных координат, т. е. Кинетическая и потенциальная энергии системы: - коэффициенты инерции, – коэффициенты жесткости. Существует форма записи обобщенного закона Гука [5,с.314], связывающая все силы и перемещения: В условиях равновесия: С учетом этого, уравнение Лагранжа можно записать в виде системы линейных однородных дифференциальных уравнений второго порядка с постоянными коэффициентами: Частными решениями уравнений системы будут уравнения: В частных решениях (j = 0, 1,2,3…s): 



















Частным решениям соответсвуют резонансные частоты колебаний.
Для неизвестных


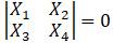
Полученная система уравнений имеет решение, отличное от нуля в случае равенства нулю определителя этой системы.
На этом основании записывается вековое уравнение (уравнение частот). Вековое уравнение является уравнением s-степени относительно:

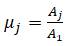
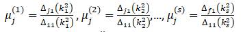
Искомые частота колебаний р и амплитуды μ, возникающие при этой частоте (k = 1,2,3…n), находятся из:
– основных уравнений системымалых колебаний с s степенями свободы,
– векового уравнения.
Вековое уравнение является уравнением s степени относительно k2. И из этого уравнения находятся все частоты свободных колебаний k системы.
Так как определитель Δk2 = 0, одно из уравнений системы при μ = 1 является следствием других уравнений системы. Последовательно подставляя в уравнения системы все полученные значения k2 получается система уравнений:

Находятся значения коэффициентов μ:


– определитель матрицы, получаемый вычеркиванием из определителя

первых столбца и строки.

– минор элемента первой строки и
j
– го столбца со знаком (-1) основного
определителя


– коэффициенты распределения равные 1.
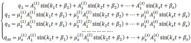
В результате частные решения первой системы уравнений:

– первое главное колебание с частотой
k
1
и начальной фазой β
1
.

– второе главное колебание с частотой
k
2
>
k
1
и начальной фазой β
2
.

– третье главное колебание с частотой
k
3
>
k
2
и начальной фазой β
3
.
…..

Коэффициенты


– форму первого главного колебания,

– форму второго главного колебания,

– форму третьего главного колебания,
и тд.
Общее решение первой системы уравнений можно получить суммированием частных решений:

2s неизвестные постоянных




На основании приведенного выше, алгоритм полного исследования свободных колебаний системы с s степенями свободы состоит из следующих действий:
а) нахождение частот свободных колебаний kkk1, 2 … s из векового уравнения,
б) нахождение коэффициентов распределения

в) нахождения амплитуд


Применение программы MathCAD
Яблонский отмечает [3,с.143] если число степеней свободы превышает 4, то доя полного решения задачи потребуется громадная вычислительная работы.
Однако, в настоящее время возможно применение математических пакетов таких как MathCAD.
Программа MathCAD позволяет для матриц выполнять нахождение определителя, решать матричные уравнения. Применение этой программы исключает выполнение громоздких ручных расчетов и позволяет по приведенному выше алгоритму получать точное решение без каких-либо приближенных методов.
MathCAD позволяет выполнять с матрицами символьные вычисления.
Для решения матричного уравнения типа:

необходимо записать матрицу

вставить определитель

, вызвать команду «→».
В результате получается запись многочлена из определителя. Многочлен копируется в отдельное место. Выделяют переменную «Х» в многочлене и в панели инструментов выбирают полиноминальный коэффициент. В результате этого получится матрица с коэффициентами из полученного многочлена:

Затем вызывается или записывается вручную команда polyroots, в которую добавляется полученная матрица в виде:

М1 и М2 —являются корнями матричного уравнения.
Для подробного ознакомления с вычислением матриц в MathCAD следует обратиться к учебному пособию по программе.
__
Рассмотрим пример построения эпюры свободных колебаний

Находим значение кинетической и потенциальной энергии:

Находим коэффициенты инерции и жесткости системы:

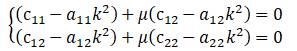
Для системы с 2 степенями свободы, уравнения частот записываются в виде:

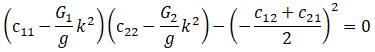
После выполнения операции исключения μ из системы двух уравнений, получается одно уравнение частот:

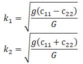
Корни уравнения частот

и

определяют частоты свободных колебаний
k
1
и
k
2
(частоты главных колебаний системы).
Частота k1 (kk1 < 2) является основной частотой колебаний.
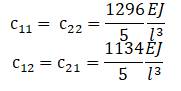
Значения коэффициентов инерции и жесткости подставляются в полученное уравнение частот:

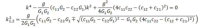
После преобразований:

В условии примера


Корни:

Значения частот k1 и k2 по результатам сопроматского расчета (см. работу Беляева [5]):

С учетом этого значения корней:

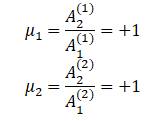
Коэффициенты распределения:


Эпюра главных колебаний:

