
Новое в теории химической технологии и технологических расчетах химических реакторов

Константин Ефанов
Новое в теории химической технологии и технологических расчетах химических реакторов
Введение
В общем виде процесс в химической технологии состоит из четырех процессов: гидромеханического, теплообменного, массообменного и химического.
В прежние времена не было программ расчета методом конечных элементов, широко применялись уравнения с критериями подобия. Расчет химического процесса рассматривался изолировано от физических, применялись модели на основе идеальных реакторов с учетом отклонений от идеальности.
Сейчас ситуация сильно изменилась, существуют программные средства, позволяющие выполнить полный расчет цифрового двойника реального реактора. Сначала рассчитываются физические процессы методом конечных элементов, затем реакционное пространство делится на зоны, и каждая зона рассчитывается по модели идеальных реакторов, то есть строится сетка из идеальных реакторов. Такой подход позволяет объединить идеи из диффузионной и ячеечной моделей, то есть учесть гидродинамику и рассчитать пространство по зонам. По-видимому, это очередное развитие в расчете химических процессов. Например, в программе ANSYS в Fluent рассчитывается гидродинамика, в Chemkin химический процесс. По-видимому такой подход может быть рассмотрен как развитие теории расчета химический реакторов (инженерной химии или основ химической технологии), разработанной в советское время, когда таких компьютерных программ не было и для упрощения использовались теория подобия и модели реакторов, изучаемые в химической технологии.
В настоящей работе материал изложен в последовательности:
– рассмотрение вывода уравнения идеального реактора
– сравнительный анализ и совместное прочтение моделей идеальных реакторов смешения и вытеснения с обоснованием общей физической модели для всех реакторов,
– анализ ячеечной и диффузионной моделей реакторов с учетом отклонений от идеальности
– краткий анализ расчета гидродинамики по критериальным уравнениям
– анализ применения сетки из эквивалентных реакторов и совместного расчета гидромеханического и химического процессов
ПОСВЯЩЕНИЕ
БОГУ ТВОРЦУ ТРОИЦЕ!
(в советской литературе была традиция в начале текста писать про задачи на таком-то съезде, я пишу посвящение, но Богу, а не съезду)
Благодарность
моей матери, работавшей в химическом машиностроении.
К выводу уравнений материального баланса химических реакторов
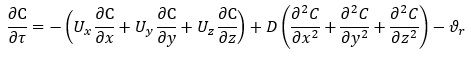
В работе сотрудников волгоградского технического университета [1,с.133] указывается, что расчет материального баланса химических реакторов основан на уравнении конвективно-диффузионного массобмена с дополнением к нему члена, описывающего химическую реакцию. То есть материальный баланс основан на решении уравнения гидромеханического процесса и химического процесса. Химический процесс представлен кинетическим уравнением скорости реакции, показывающим изменение массы компонентов вследствие химического превращения одних компонентов в другие.

Вывод уравнения конвективно-диффузионного массобмена подробно показан в известной учебной монографии Касаткина по процессам и аппаратам [5]. Для вывода уравнения в потоке среды выделяется кубический элемент, для которого записываются уравнения неразрывности потока.
Самокомпенсирующаяся ошибка в промежуточных выкладках для реактора идеального вытеснения
При выводе уравнения конвективно-диффузионного массобмена, используется физическая модель, в которой кубический элемент неподвижный, а поток является подвижным (то есть проходящим через куб). Эта особенность физической картины, на которой построен вывод уравнений, является ключевой.
В выделенном неподвижном кубическом элементе пространства реактора изменение концентрации вещества (степень превращения) за счет скорости химического процесса, будет постоянной. Так как этот элемент является неподвижным.
В самом подвижном элементарном объеме потока концентрация меняется по времени, одновременно за это время элементарный объем в результате переноса проходит определенный путь внутри реактора по траектории. Через переменную времени можно связать для подвижного объема изменение степени превращения и длины реактора.
Сделаем важный вывод: изменение концентрации за счет химической реакции от длины реактора справедливо только при рассмотрении движущегося элементарного объема, то есть внутри него.
А вот для неподвижного кубического элемента пространства реактора, через которое протекает поток, справедливым будет утверждение о том, что изменение концентрации не происходит (равно нулю).
В физической картине вывода уравнений конвективного и диффузионного массобмена используется второй подход, в котором в пространстве выделяется неподвижный кубик, но не рассматривается подвижный элемент внутри потока (т.е. движущейся с потоком).
Конец ознакомительного фрагмента.
Текст предоставлен ООО «Литрес».
Прочитайте эту книгу целиком, купив полную легальную версию на Литрес.
Безопасно оплатить книгу можно банковской картой Visa, MasterCard, Maestro, со счета мобильного телефона, с платежного терминала, в салоне МТС или Связной, через PayPal, WebMoney, Яндекс.Деньги, QIWI Кошелек, бонусными картами или другим удобным Вам способом.
Приобретайте полный текст книги у нашего партнера:

