
Относительность одновременности и преобразования Лоренца

Леонид Мерцалов
Относительность одновременности и преобразования Лоренца
Предисловие
Кризис фундаментальной теоретической физики вырвался, наконец, на просторы Scientific American и Nature. Известнейшие ученые с горечью и сожалением обсуждают вопрос о конце фундаментальной физической науки как таковой и перспективах научной деятельности в частности. Прогнозы даются неутешительные: еще пятьдесят – семьдесят лет такого развития, и фундаментальную физику можно будет исключить из числа занятий, достойных современного цивилизованного человека. В дальнейшем, ввиду ее нерезультативности, ею будут заниматься лишь эзотерики и мистики, а объективное знание останется областью одних только прикладных дисциплин. При этом основная идея, которая приводит к подобному выводу, заключается в том, что конец фундаментальной физической науки есть естественный результат ее развития, что человечество в этом отношении дошло до пределов познания и далее продвигаться в этом направлении уже не может.
Не говоря уже о том, что нынешние ученые абсолютно не ориентируются в том, на каком этапе развития фундаментальной физической науки они находятся, они даже и не пытаются осмыслить природу кризиса, его истоки и причины его появления. Считается, что современная физическая наука с самого начала своего появления развивалась непрерывно, поступательно и бескризисно. Один из «специалистов» даже назвал ее физикой Галилея – Эйнштейна, подчеркивая это непрерывное развитие, чем выбросил на помойку истории И.Ньютона с его законами. Поэтому она, по его мнению, исчерпав свой потенциал, должна спокойно почить в бозе, к удовлетворению сторонников партии «зеленых».
Между тем, если говорить о современной фундаментальной физике, мало того, что развивалась она неравномерно и пережила много мелких недоразумений, но, кроме того, в начале XX века получила со стороны А.Эйнштейна мощный удар, от которого не оправилась до сих пор. Этот удар заключался в том, что основные понятия и законы теории объявлялись «…свободными изобретениями человеческого ума,… не выводимыми из опыта…» (Эйнштейн А. «О методе теоретической физики»). До него господствовал другой принцип, принадлежащий тому самому отвергнутому И. Ньютону, – принцип «гипотез не изобретаю». С отмены этого принципа и начался тот кризис фундаментальной физической науки, который мы имеем в настоящее время. Поэтому, вместо того, чтобы твердить о конце науки, бессмысленности научного творчества и ограниченности материалистического мировоззрения, неплохо было бы сначала разобраться в причинах кризиса, его движущих силах и формах проявления. И отталкиваться нужно от 1905 года. От создания А. Эйнштейном знаменитой и вездесущей теории относительности, которая усилиями научной элиты к XXI веку оказалась пробным камнем испытания на научность для любой физической теории.
К настоящему времени в обширной критической литературе, посвященной теории относительности, сложился определенный стиль анализа этой теории. Он заключается в том, что в начале такого анализа отмечаются наиболее явные с точки зрения физического смысла несуразности, рассматриваются вытекающие из положений теории неустранимые парадоксы и на этом основании делается вывод о полной несостоятельности теории Эйнштейна. Далее предлагается свой вариант теории, по мнению автора, свободный от подобных ошибок. Разбираться в том, что позитивного принесла теория относительности в теоретическую физику, никто не хочет. В ответ апологеты теории обвиняют критика в узости мышления, приверженности закостенелому здравому смыслу и отсутствии творческого начала в его критике, отвергая его истолкование явлений. В результате каждый остается при своем мнении и никакого конструктивного диалога не происходит. Но поскольку теория относительности занимает в настоящее время ключевую позицию в списке теорий, использующихся для объяснения строения и взаимодействия элементов мироздания, настоятельно необходим тщательный и придирчивый анализ оснований самой теории для уяснения прочности этих оснований и применимости их для объяснения того самого строения мироздания в условиях выявившегося общего и всеобъемлющего кризиса фундаментальной теоретической физики.
Поскольку традиционный анализ теории относительности мало способствует уяснению ее места в позитивной науке, превращаясь по ходу разбирательства в обмен взаимными оскорблениями, в нашем анализе применен иной способ исследования этой теории – анализ теории относительности в пределах, строго заданных ее начальными условиями. То есть, оставаясь строго в пределах логики Эйнштейна, используя применяемую им методику построения доказательств и объяснения явлений, принимая начальные условия его теории полностью и без критики, делается попытка выяснить истинный физический смысл теории и следствий, из нее вытекающих. Попутно также делается попытка определить подлинное место теории относительности в системе научного знания и применимость ее для объяснения широкого круга явлений, исследуемых современной физической наукой. Создание теории, заменяющей теорию относительности, категорически не входит в число задач настоящего исследования.
Часть 1. Кинематика
Введение
Как известно, «относительность одновременности» является центральным пунктом специальной теории относительности Эйнштейна, который так определяет положение этого пункта в начальных условиях теории: «Оказывается, что принцип постоянства скорости света и принцип относительности противоречат один другому только до тех пор, пока сохраняется постулат абсолютного времени, т. е. абсолютный смысл одновременности. Если же допускается относительность времени, то оба принципа становятся совместимыми; в этом случае, исходя из этих двух принципов, получается теория, называемая "теорией относительности"». [1]
В результате применения двух названных принципов Эйнштейн создает теорию, в которой приходит к заключению, что время в движущейся системе отсчета замедляется по отношению ко времени в неподвижной системе, о чем он неоднократно и недвусмысленно заявляет в своих, посвященных теории относительности, работах. При этом он понимает подобное замедление как физическое замедление «хода» часов в движущейся системе.
Не подвергая сомнению правильность исходных предпосылок (постулатов) теории относительности и не изменяя дальнейших построений теории, строго придерживаясь представлений Эйнштейна о природе и свойствах электромагнитных волн и способах их распространения, попробуем выяснить истинный физический смысл «относительности одновременности», релятивистского радикала и выражения для «местного» времени, содержащихся в анализируемых нами преобразованиях.
Для выяснения физического смысла относительности одновременности рассмотрим сначала статью А. Эйнштейна «К электродинамике движущихся тел» и проанализируем содержащиеся в ней закономерности.
Чтобы предлагаемый анализ был четко структурирован относительно последовательности и содержания вопросов, рассматриваемых в статьях Эйнштейна, в названиях разделов настоящего исследования использованы оригинальные заголовки разделов статей Эйнштейна, с небольшими изменениями, соответствующими содержанию анализа.
1. Об относительности промежутков времени
Когда Эйнштейн впервые объявляет об относительности одновременности, он, во-первых, отмечает, что это наблюдаемый феномен, и не более того, а во-вторых, пользуется для демонстрации этого явления примером с распространением света:
«Представим себе, что к обоим концам стержня (A и B) прикреплены часы, которые синхронны с часами в покоящейся системе, т. е. показания их соответствуют „времени покоящейся системы“ в тех местах, в которых эти часы как раз находятся; следовательно, эти часы „синхронны в покоящейся системе“. Представим себе далее, что у каждых часов находится движущийся с ними наблюдатель и что эти наблюдатели применяют к обоим часам установленный в § 1 критерий синхронности хода двух часов. Пусть в момент времени tA из A выходит луч света, отражается в B в момент времени tB и возвращается назад в A в момент времени t'A. Принимая во внимание принцип постоянства скорости света, находим:

где rAB – длина движущегося стержня, измеренная в покоящейся системе. Итак, наблюдатели, движущиеся вместе со стержнем, найдут, что часы в точках A и B не идут синхронно, в то время как наблюдатели, находящиеся в покоящейся системе, объявили бы эти часы синхронными. Итак, мы видим, что не следует придавать абсолютного значения понятию одновременности. Два события, одновременные при наблюдении из одной координатной системы, уже не воспринимаются как одновременные при рассмотрении из системы, движущейся относительно данной системы». [2]
Из этого примера видно, что ни о каком физическом изменении «хода» времени речи не идет, все изменения длительности промежутка времени суть наблюдаемые, связанные с распространением света. Уже синхронизация часов способом, предложенным Эйнштейном, не может быть выполнена в отсутствие наблюдателя – она полностью есть результат наблюдения или анализа результатов этого наблюдения. Наблюдатель, фиксирующий распространение света, присутствует также и в описании самого мысленного эксперимента. Добавим только, что под наблюдением здесь подразумевается реальное физическое действие, осуществляемое реальным, физически существующим исследователем, использующим собственные органы чувств либо необходимое экспериментальное оборудование.
Анализировать методические ошибки в приведённом отрывке из статьи Эйнштейна нет необходимости. Нам вполне достаточно, что он в явном виде связывает относительность одновременности с распространением света. Более тщательное исследование заявления Эйнштейна находится у С.Н.Мигунова – Миллера в https://www.allbest-0-00901644.
Чтобы и дальше оставаться в пределах логики Эйнштейна, примем для дальнейших рассуждений без критики весь вывод преобразований Лоренца и сами эти преобразования. То есть будем считать, что квадратичная форма преобразований Лоренца относительно скорости света подтверждается на практике. А поскольку их вывод построен на результатах мысленных экспериментов, применим аналогичный прием, в точности соответствующий эйнштейновской логике, для выяснения физического смысла «относительности одновременности», релятивистского радикала и выражения для «местного» времени, присутствующего в преобразованиях.
2. Теория преобразования координат и времени от системы, равномерно и прямолинейно движущейся, к системе, покоящейся относительно первой
Прежде чем проводить дальнейший анализ статьи, необходимо сделать одно существенное разъяснение к способу употребления преобразований Лоренца, вытекающее из природы этих преобразований. Предположим, что у нас уже есть преобразования координат, выраженные в виде математической зависимости, от системы координат равномерно и прямолинейно движущейся, в которой размещено твердое материальное тело, неподвижное относительно этой системы, к системе, покоящейся относительно первой. Предположим также, что размеры этого тела существенно меньше расстояния его от начала координат неподвижной системы. Форма этих преобразований и способ, которым они были получены, на дальнейшие рассуждения пока не влияют. Координаты, использованные при этом, берутся декартовыми, а их система – прямоугольной. Для реального вычисления координат движущегося тела в неподвижной системе с помощью упомянутых преобразований, если начала обеих систем не совмещены, мы, прежде всего, должны иметь координаты тела в движущейся вместе с ним системе (полученные наблюдателем, находящимся рядом с телом, путем прикладывания твердого масштаба по осям относительно начала координат движущейся системы). Но наблюдатель, находящийся в неподвижной системе, не может сам по себе, даже однократно, непосредственно воспользоваться этими координатами из-за движения подвижной системы и расстояния, отделяющего наблюдателя от движущегося тела. Точно так же для вычисления координат тела в подвижной системе нужно сначала получить его координаты в неподвижной системе. Но из-за расстояния, отделяющего тело от начала координат неподвижной системы, а также из-за движения тела получить его конкретные координаты даже однократно в этой системе способом Эйнштейна, т.е. путем прикладывания масштаба измерения по осям, не представляется возможным, так как за время, необходимое для определения расстояния тела от начала координат, оно переместится на некоторое расстояние. Пусть мы даже положим для всех координат в движущейся системе равенство их нулю, т.е. примем само движущееся тело за начало координат этой системы, наше затруднение не исчезнет, так как из-за движения тела мы не сможем прямо и непосредственно определять его координаты в неподвижной системе упомянутым уже способом – путем прикладывания твердых масштабов по осям. Кроме того, скорость движения подвижной системы также должна определяться из условий и во время конкретного эксперимента, а значит, ее необходимо найти либо в подвижной, либо в неподвижной системах, с помощью физических средств наблюдения, определяющих эту скорость. Для устранения описанного затруднения при выполнении реальных вычислений необходимо, кроме математической формы преобразований, иметь еще и действующее дополнительное условие, заключающееся в том, что координаты тела, полученные в одной из систем, должны и могут быть переданы в другую систему тем или иным способом. Что и куда должно быть передано, зависит от места наблюдателя в этих системах, а способ передачи существенно зависит от формы используемых в вычислениях преобразований. Заметим при этом, что указанное дополнительное условие действует не только при вычислении координат, но и при применении преобразований для вычисления изменений любого значимого параметра.
Отметим теперь, что, используя преобразования Лоренца для описания переноса параметров движения материальных тел из подвижной системы отсчета в неподвижную, Эйнштейн, в противоположность использованию преобразований Галилея, ограничивает набор таких параметров исключительно теми из них, которые могут передаваться при помощи распространения электромагнитных волн, принципиально отбрасывая все остальные. Объяснить упомянутую выше особенность преобразований Лоренца (описание передачи параметров движения тел из одной координатной системы в другую при помощи распространения электромагнитного излучения) возможно, если отвлечься от математического формализма преобразований и обратиться к физической сущности описываемых при таких преобразованиях изменений.
Вряд ли кто-то будет возражать против положения, что физическая теория создается не для собственного лишь ее существования, а чтобы объяснять реально существующие явления, использующиеся, в конечном счете, в практической деятельности. Поэтому, когда мы имеем перед собой символьную запись неких преобразований, за ними всегда стоит реальный эксперимент либо столь же реальный природный процесс. И если мы имеем преобразования координат из движущейся системы отсчета в неподвижную и наоборот, то это не просто математические выражения, записанные символами на бумаге, а сохранённая информация о реальном движении и реальном способе передачи параметров. То есть при реальном вычислении координат каждой форме математической записи в этом случае соответствует свой способ движения и свой способ такой передачи. В противном случае мы имеем не элемент физической теории, а математическую конструкцию, не связанную с реальной действительностью.
Каким способом происходит передача параметров, как раз и можно определить, рассмотрев состав преобразований координат.
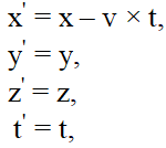
Если, к примеру, взять преобразования Галилея:

то можно увидеть, что параметры движения, присутствующие в символьной записи этого преобразования, включают координаты, полученные в системах отсчета, скорость движения и время движения. Отсюда можно сразу сделать вывод, что, во-первых, преобразования Галилея относятся к движению материальных тел, так как в них используются характеристики, присущие всем без исключения движениям таких тел, и не используются характеристики, относящиеся в совокупности к другим видам движений, например, к перемещению зарядов или полей. Во-вторых, в этих преобразованиях есть параметры, измеренные в подвижной системе отсчета


Физически это означает, что время передачи сообщения из подвижной системы координат в неподвижную и наоборот принимается равным нулю, т. е. скорость передачи информации из одной системы в другую принимается равной бесконечности. А это, в свою очередь, означает, что наблюдатель может находиться в произвольной точке пространства, в том числе и вблизи от движущегося тела, так как информация о движении тела в нашем случае передается в любую точку пространства с бесконечно большой скоростью.
Из всего сказанного становится понятно, почему Галилей не рассматривал в своих преобразованиях необходимость учитывать передачу данных из подвижной системы координат в неподвижную. Так как в его преобразованиях использовалось абсолютное время, а из-за этого параметры движущихся тел считались доступными мгновенно, то вопрос о способе их появления у наблюдателя не возникал. С другой стороны, относительность Галилея была выражена в виде философского принципа и не исследовалась детально с чисто физической точки зрения.
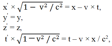
Если теперь с этой точки зрения рассмотреть преобразования Лоренца:

то здесь также непосредственно видно, что в них, кроме характеристик, относящихся к движениям материальных тел, присутствует параметр, не принадлежащий к описанию таких движений, а именно скорость распространения электромагнитных волн, скорость света. Причем этот параметр не определен в конкретном факте движения ни в подвижной, ни в неподвижной системах, а привнесен в преобразования из сторонних условий. А, как известно, дополнительные условия ограничивают область применения описания. Кроме того, величина промежутка времени, измеренная в движущейся системе, отличается от величины его, определённой в неподвижной. Отсюда можно вывести, что преобразования Лоренца описывают перенос информации (параметров) не любых движений, поскольку для такого описания скорость света не является необходимым элементом. Значит, в преобразованиях Лоренца описывается передача информации о каком-то ограниченном наборе движений, в котором, напротив, присутствие скорости света является необходимым и существенным условием. Это можно понять лишь единственным образом, что передача информации из движущейся системы в неподвижную в этом случае, во-первых, происходит только с помощью распространения света, так как кроме скорости света в них нет другого параметра, указывающего на способ передачи сообщения, во-вторых, распространение сигнала к наблюдателю в неподвижной системе происходит за конечное время. Отсюда с необходимостью вытекает сделанное ранее заявление, что использование преобразований Лоренца применительно к движению материальных тел описывает передачу из движущейся системы отсчета в неподвижную лишь тех параметров, которые передаются исключительно с помощью распространения света либо электромагнитных волн другого диапазона.
Опишем эксперимент в духе Эйнштейна, пользуясь его логикой и методикой и при заданных им начальных условиях: рассмотрим распространение света, имея неподвижную систему отсчета, в которой равномерно и прямолинейно движется независимая от нее другая система отсчета, и докажем правильность выдвинутого положения относительно характера преобразований Лоренца. Если описать эксперимент, в котором перенос конкретного параметра из движущейся системы в неподвижную, величины интервала времени, например, осуществляется с помощью одного лишь распространения света, то получившееся описание с необходимостью должно соответствовать преобразованиям Лоренца. То есть решим задачу: описывая распространение света в движущихся друг относительно друга системах отсчета, получить преобразования Лоренца. Относительно самих систем отсчета заметим, что они, по Эйнштейну, определяются «…методами эвклидовой геометрии с помощью твердых масштабов и… в декартовых координатах». [4]
Пусть подвижная система движется вдоль оси X с постоянной скоростью v в сторону больших значений координаты неподвижной системы. Скорость света также примем постоянной

Возьмем любую неподвижную точку в неподвижной системе и примем, что в произвольный момент времени из этой точки выходит сферическая монохроматическая электромагнитная волна пренебрежимо малой длительности (вспышка света). Примем также, что через время t' из этой же точки выходит вторая точно такая же волна. Тогда неподвижный наблюдатель, находящийся на расстоянии

зафиксирует обе вспышки с разницей во времени t по своим часам. Так как при этом вторая вспышка излучается строго в тот момент, когда наблюдатель фиксирует первую вспышку, то расстояние, проходимое светом второй вспышки по часам наблюдателя

а так как

то, приравнивая:

получаем

что соответствует неизменной величине промежутка времени. Таким образом, в нашем случае протяженность временного интервала при передаче ее световыми сигналами из неподвижной точки в любое место неподвижной системы не меняется.
Возьмем теперь любую точку в подвижной системе с определенными и не меняющимися относительно нее значениями координат. Пусть точно так же в произвольный момент времени и из этой точки выйдет монохроматическая сферическая волна пренебрежимо малой длительности, а через время t' по часам, находящимся в этой точке и движущимися вместе с системой, – вторая точно такая же. Тогда неподвижный наблюдатель, находящийся на расстоянии

от первоначального положения точки, точно так же зафиксирует обе вспышки с разницей во времени t по своим часам. Зададимся теперь вопросом: будет ли промежуток времени, заданный в движущейся системе, равен промежутку времени, зафиксированному по часам наблюдателя? Как непосредственно видно, из-за движения самой системы отсчета и условия


откуда получаем


