
Карнавал молекул. Химия необычная и забавная

Михаил Левицкий
Карнавал молекул. Химия необычная и забавная
Научный редактор Михаил Никитин
Редактор Маргарита Савина
Руководитель проекта Д. Петушкова
Корректоры М. Ведюшкина, С. Чупахина
Компьютерная верстка А. Фоминов
Дизайнер обложки Ю. Буга
© Михаил Левицкий, 2019
© ООО «Альпина нон-фикшн», 2019
Издание подготовлено в партнерстве с Фондом некоммерческих инициатив «Траектория» (при финансовой поддержке Н.В. Каторжнова).

Фонд поддержки научных, образовательных и культурных инициатив «Траектория» (www.traektoriafdn.ru) создан в 2015 году. Программы фонда направлены на стимулирование интереса к науке и научным исследованиям, реализацию образовательных программ, повышение интеллектуального уровня и творческого потенциала молодежи, повышение конкурентоспособности отечественных науки и образования, популяризацию науки и культуры, продвижение идей сохранения культурного наследия. Фонд организует образовательные и научно-популярные мероприятия по всей России, способствует созданию успешных практик взаимодействия внутри образовательного и научного сообщества.
В рамках издательского проекта Фонд «Траектория» поддерживает издание лучших образцов российской и зарубежной научно-популярной литературы.
* * *Все права защищены. Данная электронная книга предназначена исключительно для частного использования в личных (некоммерческих) целях. Электронная книга, ее части, фрагменты и элементы, включая текст, изображения и иное, не подлежат копированию и любому другому использованию без разрешения правообладателя. В частности, запрещено такое использование, в результате которого электронная книга, ее часть, фрагмент или элемент станут доступными ограниченному или неопределенному кругу лиц, в том числе посредством сети интернет, независимо от того, будет предоставляться доступ за плату или безвозмездно.
Копирование, воспроизведение и иное использование электронной книги, ее частей, фрагментов и элементов, выходящее за пределы частного использования в личных (некоммерческих) целях, без согласия правообладателя является незаконным и влечет уголовную, административную и гражданскую ответственность.
Предисловие
Если вы хотите узнать о химии немного больше, чем в учебниках, эта книга для вас. Если же химия кажется вам неинтересной, то все равно загляните в книгу – и вы поймете, что эта наука занимательна и вполне заслуживает внимания. Кроме того, в некоторых главах вас ждут забавные задачки, для решения которых нужна лишь сообразительность. Иногда даны подсказки, а в конце каждой задачи в зеркальном отражении приведено ее решение.
Почему книга названа «Карнавал молекул»? Химия – наука красочная и своеобразная. Речь в ней идет не только о ярких вспышках фейерверков, цветных реакциях и изящной огранке кристаллов. Разрыв одних химических связей и образование новых напоминает смену узоров в калейдоскопе, а получение нового соединения – игру с детским конструктором. Об этом речь пойдет в разделе 1 «Химик – архитектор».
Большинство глав разделов 2 «Принуждение к послушанию» и 3 «Вечная забота химика» рассказывает о достижениях современной химии, но не следует думать, что это высоконаучные дебри. Мы сделали все для того, чтобы рассказ о научных исследованиях был понятен каждому читателю.
О некоторых ярких и неожиданных достижениях речь идет в разделе 4 «Корзина пестрых фактов». Получение новых веществ и поиск их полезных свойств всегда результат напряженных исследований, которые сочетаются со счастливым стечением обстоятельств и тесно связаны с судьбой самих исследователей. Об этом вы сможете узнать в разделе 5 «Химики самые, самые…».
Невероятно, но некоторые ученые, добившись блестящих результатов и получив признание, находят силы резко сменить направление исследований и вновь достичь успеха, о чем рассказано в разделе 6 «Не почивать на лаврах». Не обязательно продолжать сложившиеся направления, гораздо интереснее на пышном древе химии вырастить новую ветку, идущую от основания ствола, – этому посвящен раздел 7 «Шаги современной химии».
А еще химия тесно связана с другими областями естествознания, как показано в разделе 8 «Поможем другим наукам».
После вдумчивого чтения перечисленных разделов книги необходимо немного расслабиться, и последний раздел предлагает читателю улыбнуться.
В этой книге нет последовательного изложения основ химии, как в учебниках, поэтому начинать читать можно с любой главы.
1
Химик-архитектор
Архитектура – это музыка в пространстве, как бы застывшая музыка.
ФРИДРИХ ШЕЛЛИНГОт архитектуры наших дней
в ужасе застывает даже музыка.
ВЛАДИМИР КОЛЕЧИЦКИЙАвторы этих эпиграфов как будто ведут диспут, несмотря на то что разделены во времени на полтора столетия. Не будем поддерживать какую-либо точку зрения, а просто отметим, что иногда архитекторы и скульпторы создавали произведения, вдохновленные красотой химических структур (рис. 1.1). Например, выставочный павильон «Атомиум» в Брюсселе представляет собой кристаллическую решетку железа (увеличенную в 165 миллиардов раз). Или купол, построенный по идеям архитектора Бакминстера Фуллера, воспроизводящий структуру фуллерена – молекулы из 60 атомов углерода С60. Перед главным входом в Институт биоорганической химии Российской академии наук поставлена скульптура, изображающая молекулу валиномицина. А на границе Австрии и Словакии построена смотровая башня в виде двойной спирали ДНК, ставшей буквально символом биохимии.

Ну а химики, приступая к получению новых молекул, иногда ориентируются на древние символы, эмблемы, изделия народного творчества или примеры творчества самой природы. Перед современным химиком, задумавшим получить новое соединение, возникает два вопроса: зачем это нужно и как этого достичь. Если ответ на первый вопрос, как правило, в общих чертах известен, то при поисках того, как же получить нужный результат, приходится мобилизовать знания и интуицию. Не менее важно пространственное воображение, поскольку автору будущей молекулы необходимо представить ее в деталях, а также запланировать форму кирпичей и блоков для будущего строительства, кроме того, полезно провести некоторые приблизительные расчеты, иначе «здание» вряд ли будет построено.
Хитросплетения молекул
Да вьется всегда вокруг цепи правил
серебряная нить фантазии!
РОБЕРТ ШУМАННекоторые статьи в научных химических журналах особенно заметны: в них минимальное количество химических формул, основное внимание сосредоточено на замысле, планирующем сборку молекулы, что обычно иллюстрируют различными схемами. Рисунки в таких статьях показывают пространственные варианты взаиморасположения реагентов, изображенных в виде простых объемных тел.
Есть еще одна деталь: химики, работающие с такими соединениями, несмотря на сложность решения задачи, никогда не забывают упомянуть (причем в серьезном научном журнале) об исторических корнях тех или иных символов. В напряженной работе химика-синтетика при желании всегда можно найти элементы эстетики и романтики.
Химические вериги
Из множества нулей получаются отличные цепи.
Е. ЛЕЦВериги – старославянское слово, означающее «цепи». Поскольку речь далее пойдет о них, попробуем решить небольшую задачу, связанную с серебряной цепочкой. Путник прибыл в незнакомый город и решил остановиться в частной гостинице. Хозяину гостиницы он сказал, что хочет прожить у него пять дней, но заплатить сможет только в последний день пребывания, когда получит деньги. Хозяина это не устроило, тогда путник достал серебряную цепочку из пяти звеньев и предложил ее в качестве оплаты. Хозяин согласился, но при этом поставил два условия: каждый день постоялец должен ему отдавать одно колечко, и, кроме того, постоялец имеет право разомкнуть только одно кольцо в цепочке (по-видимому, цепочка была красивой и хозяин не хотел, чтобы она была обезображена разомкнутыми и затем вновь замкнутыми кольцами). На первый взгляд кажется, что выполнить оба условия невозможно, но, вероятно, подсказка поможет вам решить задачу: достаточно разомкнуть, например, третье кольцо – то, что в середине.
Если подсказка не помогла, рассмотрим решение. В первый день постоялец отдает хозяину разомкнутое кольцо, во второй день он отдает два соединенных кольца и забирает разомкнутое, в третий день добавляет к двум замкнутым разомкнутое. Как следует путнику поступать далее, вам уже понятно.
Соединить молекулы механически
Весь путь развития химии – это поиск способов, позволяющих раскрывать химические связи и создавать новые. Накопленный опыт позволил ученым поставить перед собой такую задачу, решение которой ранее казалась совершенно недостижимым: соединить две молекулы не химически, а механически, наподобие колец, продетых одно в другое, как в цепочке. Можно считать, что это одна из самых оригинальных и красивых задач химии. Для ее решения вначале следовало наметить путь, затем разработать план и только после этого приступать к синтезу. Еще до того, как задача была решена, для подобных соединений было выбрано название – катенаны (от лат. catena – цепь).
Идея старинной забавы
Естественно, вначале стояла цель соединить таким образом хотя бы два кольца. Проще всего изобразить такую конструкцию на пальцах, но если собирать ее из металлических колец, то необходимо потрудиться. Берем одно замкнутое кольцо и в него продеваем разомкнутое, затем разомкнутое кольцо замыкаем, звенья оказываются соединенными (рис. 1.2 и 1.3)
Теперь перейдем к аналогичной химической задаче. Размыкать и замыкать циклические молекулы химия умеет хорошо, но не существует такого пинцета, который позволил бы незамкнутую молекулу «просунуть» в замкнутый цикл (второй этап на рис. 1.3). Поэтому для решения проблемы пришлось искать другие пути.
Один из возможных способов получения катенанов был подсказан детскими играми и фокусами со склеенными бумажными лентами. Вспомните игру детства. Возьмите бумажную ленту длиной приблизительно 0,5 м и шириной 4–5 см. Склейте ее концы, у вас получится кольцо (вариант А на рис. 1.4). Теперь разрежьте это кольцо ножницами по средней линии (она обозначена на рисунке пунктиром). У вас в руках окажутся два разъединенных кольца, что достаточно очевидно и без опыта.

Совсем иной результат получится, если при склеивании ленты один из концов вы предварительно повернете на пол-оборота. Возникнет известная лента Мёбиуса. Место спирального скручивания равномерно распределится по ленте и будет не так заметно, как это показано на рисунке. Если вы это кольцо разрежете по средней линии, то результат будет неожиданный – у вас в руках окажется всего одно кольцо, но вдвое большего диаметра (вариант Б).
Теперь проделаем третий опыт, он и приведет нас к решению задачи. Перед склеиванием поверните один из концов ленты на 360° (полный оборот). Если такую ленту разрезать по всей длине точно посередине, то вы получите два независимых кольца, продетых одно в другое (вариант В), – это и есть катенан.

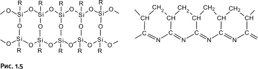
Таким образом, мы нашли один из способов решения задачи. Необходимо взять длинную молекулу, состоящую из двух цепей, соединенных поперечными сшивками. Внешне она будет напоминать ленту; такие молекулы существуют, они называются лестничными и получаются в определенных условиях из некоторых мономеров, например лестничный полисилоксан (А) и лестничный полиакрилонитрил (Б) (рис. 1.5).
К сожалению, показанная структура для решения задачи не годится. По аналогии с бумажной лентой необходимо будет химически соединить два конца молекулы, предварительно повернув один из концов на 360°. Следующий этап – расщепление всех поперечных связей, в результате получим «разрезанную» по всей длине ленту. При этом необходимо, чтобы поперечные связи химически отличались от связей в основной цепи, тогда при расщеплении перемычек сами цепи сохранятся. Показанные на рисунке 1.5 полимеры не соответствуют этому требованию.

Мы рассмотрели только один из возможных способов решения задачи. До настоящего времени не было сведений о том, чтобы кто-то получил катенаны подобным способом. Впрочем, существуют предположения, что иногда катенаны образуются в небольших количествах случайно при получении некоторых полимеров.
Неудачные попытки
Сама идея получить катенаны давно привлекала химиков. Известный немецкий химик Р. Вильштеттер, получивший Нобелевскую премию в 1915 г. за исследование строения растительных пигментов (например, хлорофилла), обсуждал возможность решения этой задачи на семинарах в 1900–1912 гг. Российский химик академик И.Л. Кнунянц в 1929–1930 гг. предпринимал попытки получения катенанов, но размеры замыкаемых циклов были слишком малы (8–10 атомов углерода), что, как теперь понятно, не могло привести к успеху.
В феврале 1957 г. появилось сенсационное сообщение двух немецких химиков А. Колера и Г. Дитриха из г. Тюбингена, которые запатентовали получение катенана, содержащего циклы из 20 атомов углерода. Это сообщение вызвало очень большой интерес, но оказалось, что синтезированный катенан существовал только в воображении авторов работы. Синтез подтвердить не удалось, и патент был признан недействительным.
В 1960–1962 гг. попытку получить катенан предприняли американские химики Э. Вассерман и Г. Фриш. Они использовали длинные углеводородные молекулы (34 атома С), содержащие на концах реакционные группы. Их расчет строился на том, что в процессе циклизации молекулы с определенной вероятностью могут перехлестнуться, образуя катенан. Таким образом, это был синтез не целенаправленный, а вероятностный, т. е. в расчете на то, что возникнет случайный удачный вариант. В результате после многократной очистки авторы получили 5,66 мг маслообразного продукта, но подтвердить его строение им не удалось. Постепенно исследователи пришли к мысли, что получить катенан можно только в результате тщательно спланированного синтеза.
Ювелирное мастерство
Вероятно, вам доводилось видеть или держать в руках такие интересные изделия народного промысла, как цепочки из дерева или кости. Каждое звено такой цепочки сплошное, оно не размыкается. Как же их делают? Мастер вначале вырезает общие очертания звеньев, а затем аккуратно удаляет материал в том месте, где по замыслу звенья сплетаются. Когда удаляются последние остатки перемычки, связывающей звенья, кольца получают возможность свободно перемещаться одно в другом. Работа поистине ювелирная!
Именно этот принцип выбрали немецкие химики Г. Шилл и А. Люттрингхаус из г. Фрайбурга, приступая к созданию катенанов.
Поскольку нас прежде всего интересует пространственное решение, на химической стороне вопроса временно сосредотачиваться не будем.
Авторы решили сформировать кольца на основе общего центра, а затем удалить перемычки. Вначале нужно было оценить минимальный размер циклов, для которых возможно такое взаимное замыкание. Расчет показал, что циклы должны содержать не менее 20 углеродных атомов, иначе будет «очень тесно» и кольца не смогут свободно перемещаться.
Сборка катенана происходила по следующей схеме. На первом этапе был создан узел, вокруг которого началось «строительство» катенана – это бензольный цикл с двумя реакционными группами a и c. Кроме того, к циклу присоединены два длинных углеводородных «хвоста» с другими реакционными группами – e (светло-серые волнистые линии). Второй реагент – протяженная углеводородная молекула с реакционной группой b в середине цепи и двумя группами d по концам (сдвоенная волнистая полоса). Химическая природа всех реакционных групп a, b, c и d была заранее тщательно продумана, и весь синтез был очень четко спланирован. Вначале реагируют только группы a и b. Вертикальная протяженная молекула присоединяется к бензольному ядру. При этом предусмотрено, чтобы она была расположена перпендикулярно плоскости бензольного кольца (рис. 1.6).

В полученном соединении группа c была заранее выбрана таким образом, чтобы на следующем этапе она могла реагировать одновременно с двумя группами d. Благодаря этому оба конца d стягиваются в одну точку, образуя первый цикл будущего катенана (рис. 1.7).

На следующем этапе происходит взаимодействие двух групп e, которые находятся на концах двух удлиненных цепей, присоединенных к бензольному кольцу (волнистые линии серого цвета). Ветви, на концах которых находятся группы е, имеют такую длину, чтобы реагирующие группы могли «дотянуться» друг до друга. В итоге образуется второе кольцо катенана (рис. 1.8).

Однако полученные кольца не свободны, они соединены двумя перемычками (черные прямые линии с утолщением), которые следует удалить. Процесс удаления этих связей ниже показан условно с помощью двух рубящих топориков. В итоге получается катенан – два сплетенных кольца, химически не связанных друг с другом. В структуру одного из колец входит бензольное ядро как напоминание о «технологии строительства» этой необычной молекулы (рис. 1.9).

Мы рассмотрели лишь общую стратегию. Для того чтобы все получилось в реальности, необходимо было умело выбрать участвующие реагирующие группы. При этом потребовалось хорошее знание органической химии. Весь процесс синтеза, включая получение исходных веществ, состоит более чем из 20 стадий. По описанной схеме получено несколько катенанов. Ниже показана структура соединения, которое стало родоначальником этого класса, оно было синтезировано первым. Этот синтез Г. Шиллу и А. Люттрингхаусу удалось осуществить в 1964 г.
Основная часть колец набрана из 24 углеродных атомов (группы – СН2–), на котором постепенно собиралась вся эта необычная молекула (рис. 1.10).

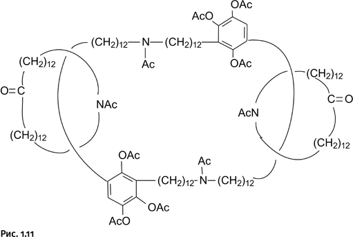
Ученые не остановились на достигнутом и по разработанной схеме получили более сложное соединение – три кольцевые молекулы, связанные по типу катенанов (рис. 1.11).

Ближайший родственник катенана
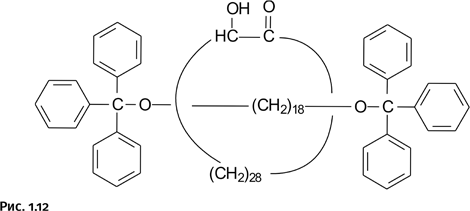
Практически одновременно с синтезом катенана Шиллу удалось осуществить получение еще одного соединения, названного ротаксаном (от лат. rotare – вращать). Это кольцевая молекула, насаженная на ось, снабженную на концах объемистыми заглушками. В результате кольцо может перемещаться по оси, вращаться, но не может «соскочить». Фактически это тоже соединение двух молекул не химическим, а чисто механическим способом.
Сквозь кольцевую молекулу, составленную из 30 атомов углерода, продета линейная молекула гантелеобразной формы, роль концевых заглушек исполняют фенильные группы. Получение этого ротаксана проводили приблизительно по той же схеме, что и катенана (рис. 1.12).

Химию катенанов и ротаксанов принято рассматривать совместно, так как логика синтеза этих соединений почти одинакова. Итак, удалось показать, что такие молекулы получить можно. Далее большая армия химиков стала искать более совершенные способы синтеза, и они, разумеется, были найдены, причем такие, которые позволяли решать совершенно фантастические задачи. Сегодня исследование катенаноподобных молекул представляет собой самостоятельный, интенсивно развивающийся раздел химической науки.
Иной подход к решению задачи
Самое главное при синтезе катенанов – расположить замыкающиеся кольца так, чтобы их плоскости были перпендикулярны: это облегчит замыкание одного цикла внутри другого. Но что может заставить их разместиться именно таким образом? В качестве «направляющего диспетчера» был использован катион меди Cu+, который легко образует комплекс с атомами азота двух молекул фенантролина. Связи, идущие от катиона меди (штриховые линии на рис. 1.13), направлены к вершинам мысленного тетраэдра (выделен точечными линиями), образуя две взаимоперпендикулярные плоскости (серые треугольники). Именно так располагаются около иона меди плоскости молекул фенантролина, играющих роль лигандов. Кстати, у катиона Cu+ обязательно имеется противоанион А– (например, Cl–), но при решении задачи мы не будем принимать его во внимание.

Далее, как показано на рисунке, следует две взаимоперпендикулярные молекулы фенантролина включить в состав циклов. Именно это и было проделано, только стратегия синтеза была несколько иной.
В качестве исходных соединений взяты две похожие молекулы, содержащие фрагмент фенантролина, но одна молекула – кольцевая, а вторая – незамкнутая (рис. 1.14).

Далее к кольцевой молекуле добавили соединение, содержащее катион Cu+. Естественно, этот катион сразу образовал координационные связи с двумя атомами N (рис. 1.15).

Однако катиону требуется в координационной сфере не два, а четыре атома N. Притянуть соседнюю такую же молекулу он не может, она громоздкая и не влезает внутрь первого кольца. Поэтому, когда введем в систему второй реагент, молекула которого не замкнута, катион Cu+, желая заполнить координационную сферу, втягивает второй реагент в кольцевую молекулу, как нитку в игольное ушко (для наглядности молекулы реагентов изображены линиями различной толщины). Именно этот хитроумный прием отсутствовал в методике, рассмотренной нами ранее. Катион Cu+, как уже было сказано, располагает фрагменты фенантролина взаимоперпендикулярно, что облегчает последующее замыкание второго кольца (рис. 1.16).

Осталось замкнуть второй цикл с помощью углеводородной цепочки, содержащей на концах атомы Cl, а затем удалить катион Cu+ (рис. 1.17).
Обратите внимание, синтез заранее продуман таким образом, чтобы состав переплетающихся колец был одинаков. Это не обязательное условие, но именно такой вариант придает дополнительное изящество полученному результату. Такой катенан сумел синтезировать в 1992 г. Ж. Саваж.

Использование катиона металла в качестве организующего центра открыло широкие возможности в синтезе катенаноподобных молекул. Вскоре Саваж получил по такой же схеме ротаксан – гантель, продетую сквозь кольцо. В качестве объемистых заглушек на концах гантели были использованы крупные фрагменты порфирина – это циклические молекулы, содержащие четыре атома N (рис. 1.18, верхняя структура). В 1997 г. Саваж, используя ту же стратегию, синтезировал совершенно удивительное соединение – кольцевую молекулу, завязанную в узел (рис. 1.18, нижняя структура). Поскольку в состав молекулы входит четыре фрагмента фенантролина, то можно утверждать, что для получения такой молекулы необходимо задействовать два катиона меди Cu+.

Кольцевую молекулу, завязанную в узел, чаще называют трилистником или клеверным листом. Строго говоря, ее нельзя назвать катенаном, поскольку присутствует только одна кольцевая молекула, но общие идеи синтеза и особенности строения позволяют ее считать катенаноподобной структурой. Таким образом, Ж. Саваж открыл новый путь к получению катенанов. В 2016 г. он был удостоен Нобелевской премии по химии.

