
Instead, Pascal reasoned that there is a 5⁄6 chance that you won’t see a 6 with one throw. Since each throw is independent, that means there is a 5⁄6 × 5⁄6 × 5⁄6 × 5⁄6 = 625⁄1296 = 48.2% chance that you won’t get a 6 in four throws. Which means there is a 51.8% chance that you will see a 6. Just above an evens chance, so worth betting on.
The problem of ‘points’ was even more challenging. Suppose two players – let’s call them Fermat and Pascal – are rolling a dice. Fermat scores a point if the dice lands on 4 or higher; Pascal scores a point otherwise. Each, therefore, has a 50:50 chance of winning a point on any roll of the dice. They’ve wagered £64, which will go to the first to score 3 points. The game is interrupted, however, and can’t be continued, when Fermat is on 2 points and Pascal is on 1 point. How should they divide the £64?
Traditional attempts to solve the problem focused on what had happened in the past. Maybe, having won twice as many rounds as Pascal, Fermat should get twice the winnings. This makes no sense if, say, Fermat had won only one round before the game was interrupted. Pascal would get nothing but still has a chance of winning. Niccolò Fontana Tartaglia, a contemporary of Cardano, believed after much thought that it had no solution: ‘The resolution of the question is judicial rather than mathematical, so that in whatever way the division is made there will be cause for litigation.’
Others weren’t so defeated. Attention turned not to the past, but to what could happen in the future. In contrast to the other problems, they are not trying to predict the roll of the dice but instead need to imagine all the different future scenarios and to divide the spoils according to which version of the future favours which player.
It is easy to get fooled here. There seem to be three scenarios. Fermat wins the next round and pockets £64. Pascal wins the next round, resulting in a final round which either Pascal wins or Fermat wins. Fermat wins in two out of these three scenarios so perhaps he should get two-thirds of the winnings. It was the trap that de Méré fell into. Pascal argues that this isn’t correct. ‘The Chevalier de Méré is very talented but he is not a mathematician; this is, as you know, a great fault.’ A great fault, indeed!
Pascal, in contrast, was great on the mathematical front and argued that the spoils should be divided differently. There is a 50:50 chance that Fermat wins in one round, in which case he gets £64. But if Pascal wins the next round then they are equally likely to win the final round, so could divide the spoils £32 each. In either case Fermat is guaranteed £32. So the other £32 should be split equally, giving Fermat £48 in total.
Fermat, writing from his home near Toulouse, concurred with Pascal’s analysis: ‘You can now see that the truth is the same in Toulouse as in Paris.’
PASCAL’S WAGER
Pascal and Fermat’s analysis of the game of points could be applied to much more complex scenarios. Pascal discovered that the secret to deciding the division of the spoils is hidden inside something now known as Pascal’s triangle.

The triangle is constructed in such a way that each number is the sum of the two numbers immediately above it. The numbers you get are key to dividing the spoils in any interrupted game of points. For example, if Fermat needs 2 points for a win while Pascal needs 4, then you consult the 2 + 4 = 6th row of the triangle and add the first four numbers together and the last two. This is the proportion in which you should divide the spoils. In this case it’s a 1 + 5 + 10 + 10 = 26 to 1 + 5 = 6 division. So Fermat gets 26⁄32 × 64 = £52 and Pascal gets 6⁄32 × 64 = £12. In general, a game where Fermat needs n points to Pascal’s m points can be decided by consulting the (n + m)th row of Pascal’s triangle.
There is evidence that the French were beaten by several millennia to the discovery that this triangle is connected to the outcome of games of chance. The Chinese were inveterate users of dice and other random methods like the I Ching to try to predict the future. The text of the I Ching dates back some 3000 years and contains precisely the same table that Pascal produced to analyse the outcomes of tossing coins to determine the random selection of a hexagram that would then be analysed for its meaning. But today the triangle is attributed to Pascal rather than the Chinese.
Pascal wasn’t interested only in dice. He famously applied his new mathematics of probability to one of the great unknowns: the existence of God.
‘God is, or He is not.’ But to which side shall we incline? Reason can decide nothing here. There is an infinite chaos which separated us. A game is being played at the extremity of this infinite distance where heads or tails will turn up … Which will you choose then? Let us see. Since you must choose, let us see which interests you least. You have two things to lose, the true and the good; and two things to stake, your reason and your will, your knowledge and your happiness; and your nature has two things to shun, error and misery. Your reason is no more shocked in choosing one rather than the other, since you must of necessity choose … But your happiness? Let us weigh the gain and the loss in wagering that God is … If you gain, you gain all; if you lose, you lose nothing. Wager, then, without hesitation that He is.
Called Pascal’s wager, he argued that the payout would be much greater if one opted for a belief in God. You lose little if you are wrong and win eternal life if correct. On the other hand, wager against the existence of God and losing results in eternal damnation, while winning gains you nothing beyond the knowledge that there is no God. The argument falls to pieces if the probability of God existing is actually 0, and even if it isn’t, perhaps the cost of belief might be too high when set against the probability of God’s existence.
The probabilistic techniques developed by mathematicians like Fermat and Pascal to deal with uncertainty were incredibly powerful. Phenomena that were regarded as beyond knowledge, the expression of the gods, were beginning to be within reach of the minds of men. Today these probabilistic methods are our best weapon in trying to navigate everything from the behaviour of particles in a gas to the ups and downs of the stock market. Indeed, the very nature of matter itself seems to be at the mercy of the mathematics of probability, as we shall discover in the Third Edge, when we apply quantum physics to predict what fundamental particles are going to do when we observe them. But for someone on the search for certainty, these probabilistic methods represent a frustrating compromise.
I certainly appreciate the great intellectual breakthrough that Fermat, Pascal and others made, but it doesn’t help me to know how many pips are going to be showing when I throw my dice. As much as I’ve studied the mathematics of probability, it has always left me with a feeling of dissatisfaction. The one thing any course on probability drums into you is that it doesn’t matter how many times in a row you get a 6: this has no influence on what the dice is going to do on the next throw.
So is there some way of knowing how my dice is going to land? Or is that knowledge always going to be out of reach? Not according to the revelations of a scientist across the waters in England.
THE MATHEMATICS OF NATURE
Isaac Newton is my all-time hero in my fight against the unknowable. The idea that I could possibly know everything about the universe has its origins in Newton’s revolutionary work Philosophiae Naturalis Principia Mathematica. First published in 1687, the book is dedicated to developing a new mathematical language that promised the tools to unlock how the universe behaves. It was a dramatically new model of how to do science. The work ‘spread the light of mathematics on a science which up to then had remained in the darkness of conjectures and hypotheses’, declared the French physicist Alexis Clairaut in 1747.
It is also an attempt to unify, to create a theory that describes the celestial and the earthly, the big and the small. Kepler had come up with laws that described the motions of the planets, laws he’d developed empirically by looking at data and trying to fit equations to create the past. Galileo had described the trajectory of a ball flying through the air. It was Newton’s genius to understand that these were examples of a single phenomenon: gravity.
Born on Christmas Day in 1643 in the Lincolnshire town of Woolsthorpe, Newton was always trying to tame the physical world. He made clocks and sundials, constructed miniature mills powered by mice, sketched countless plans for buildings and ships, and drew elaborate illustrations of animals. The family cat apparently disappeared one day, carried away by a hot-air balloon that Newton had made. His school reports, however, did not anticipate a great future, describing him as ‘inattentive and idle’.
Idleness is not necessarily such a bad trait in a mathematician. It can be a powerful incentive to look for some clever shortcut to solve a problem rather than relying on hard graft. But it’s not generally a quality that teachers appreciate.
Indeed, Newton was doing so badly at school that his mother decided the whole thing was a waste of time and that he’d be better off learning how to manage the family farm in Woolsthorpe. Unfortunately, Newton was equally hopeless at managing the family estate, so he was sent back to school. Although probably apocryphal, it is said that Newton’s sudden academic transformation coincided with a blow to the head that he received from the school bully. Whether true or not, Newton’s academic transformation saw him suddenly excelling at school, culminating in a move to study at the University of Cambridge.
When bubonic plague swept through England in 1665, Cambridge University was closed as a precaution. Newton retreated to the house in Woolsthorpe. Isolation is often an important ingredient in coming up with new ideas. Newton hid himself away in his room and thought.
Truth is the offspring of silence and meditation. I keep the subject constantly before me and wait ’til the first dawnings open slowly, by little and little, into a full and clear light.
In the isolation of Lincolnshire, Newton created a new language that could capture the problem of a world in flux: the calculus. This mathematical tool would be key to our knowing how the universe would behave ahead of time. It is this language that gives me any hope of gleaning how my casino dice might land.
MATHEMATICAL SNAPSHOTS
The calculus tries to make sense of what at first sight looks like a meaningless sum: zero divided by zero. As I let my dice fall from my hand, it is such a sum that I must calculate if I want to try to understand the instantaneous speed of my dice as it falls through the air.
The speed of the dice is constantly increasing as gravity pulls it to the ground. So how can I calculate what the speed is at any given instance of time? For example, how fast is the dice falling after one second? Speed is distance travelled divided by time elapsed. So I could record the distance it drops in the next second and that would give me an average speed over that period. But I want the precise speed. I could record the distance travelled over a shorter period of time, say half a second or a quarter of a second. The smaller the interval of time, the more accurately I will be calculating the speed. Ultimately, to get the precise speed I want to take an interval of time that is infinitesimally small. But then I am faced with calculating 0 divided by 0.
Calculus: making sense of zero divided by zero
Suppose that a car starts from a stationary position. When the stopwatch starts, the driver slams his foot on the accelerator. Suppose that we record that after t seconds the driver has covered t × t metres. How fast is the car going after 10 seconds? We get an approximation of the speed by looking at how far the car has travelled in the period from 10 to 11 seconds. The average speed during this second is (11 × 11 – 10 × 10)/1 = 21 metres per second.
But if we look at a smaller window of time, say the average speed over 0.5 seconds, we get:
(10.5 × 10.5 – 10 × 10)/0.5 = 20.5 metres per second.
Slightly slower, of course, because the car is accelerating, so on average it is going faster in the second half second from 10 seconds to 11 seconds. But now we take an even smaller snapshot. What about halving the window of time again:
(10.25 × 10.25 – 10 × 10)/0.25 = 20.25 metres per second.
Hopefully the mathematician in you has spotted the pattern. If I take a window of time which is x seconds, the average speed over this time will be 20 + x metres per second. The speed as I take smaller and smaller windows of time is getting closer and closer to 20 metres per second. So, although to calculate the speed at 10 seconds looks like I have to figure out the calculation 0⁄0, the calculus makes sense of what this should mean.
Newton’s calculus made sense of this calculation. He understood how to calculate what the speed was tending towards as I make the time interval smaller and smaller. It was a revolutionary new language that managed to capture a changing dynamic world. The geometry of the ancient Greeks was perfect for a static, frozen picture of the world. Newton’s mathematical breakthrough was the language that could describe a moving world. Mathematics had gone from describing a still life to capturing a moving image. It was the scientific equivalent of how the dynamic art of the Baroque burst forth during this period from the static art of the Renaissance.
Newton looked back at this time as one of the most productive of his life, calling it his annus mirabilis. ‘I was in the prime of my age for invention and minded Mathematicks and Philosophy more than at any time since.’
Everything around us is in a state of flux, so it was no wonder that this mathematics would be so influential. But for Newton the calculus was a personal tool that helped him reach the scientific conclusions that he documents in the Principia, the great treatise published in 1687 that describes his ideas on gravity and the laws of motion.
Writing in the third person, he explains that his calculus was key to the scientific discoveries contained inside: ‘By the help of this new Analysis Mr Newton found out most of the propositions in the Principia.’ But no account of the ‘new analysis’ is published. Instead, he privately circulated the ideas among friends, but they were not ideas that he felt any urge to publish for others to appreciate.
Fortunately this language is now widely available and it is one that I spent years learning as a mathematical apprentice. But in order to attempt to know my dice I am going to need to mix Newton’s mathematical breakthrough with his great contribution to physics: the famous laws of motion with which he opens his Principia.
THE RULES OF THE GAME
Newton explains in the Principia three simple laws from which so much of the dynamics of the universe evolve.
Newton’s First Law of Motion: A body will continue in a state of rest or uniform motion in a straight line unless it is compelled to change that state by forces acting on it.
This was not so obvious to the likes of Aristotle. If you roll a ball along a flat surface it comes to rest. It looks like you need a force to keep it moving. There is, however, a hidden force that is changing the speed: friction. If I throw my dice in outer space away from any gravitational fields then the dice will indeed just carry on flying in a straight line at constant speed.
In order to change an object’s speed or direction you needed a force. Newton’s second law explained how that force would change the motion, and it entailed the new tool he’d developed to articulate change. The calculus has already allowed me to articulate what speed my dice is going at as it accelerates down towards the table. The rate of change of that speed is got by applying calculus again. The second law of Newton says that there is a direct relationship between the force being applied and the rate of change of the speed.
Newton’s Second Law of Motion: The rate of change of motion, or acceleration, is proportional to the force that is acting on it and inversely proportional to its mass.
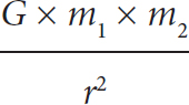
To understand the motion of bodies like my cascading dice I need to understand the possible forces acting on them. Newton’s universal law of gravitation identified one of the principal forces that had an effect on, say, his apple falling or the planets moving through the solar system. The law states that the force acting on a body of mass m1 by another body of mass m2 which is a distance of r away is equal to

where G is an empirical physical constant that controls how strong gravity is in our universe.
With these laws I can now describe the trajectory of a ball flying through the air, or a planet through the solar system, or my dice falling from my hand. But the next problem occurs when the dice hits the table. What happens then? Newton has a third law which provides a clue:
Newton’s Third Law of Motion: When one body exerts a force on a second body, the second body simultaneously exerts a force equal in magnitude and opposite in direction to that of the first body.
Newton himself used these laws to deduce an extraordinary string of results about the solar system. As he wrote: ‘I now demonstrate the system of the World.’ To apply his ideas to the trajectory of the planets he began by reducing each planet to a point located at the centre of mass and assumed that all the planet’s mass was concentrated at this point. Then by applying his laws of motion and his new mathematics he successfully deduced Kepler’s laws of planetary motion.
He was also able to calculate the relative masses for the large planets, the Earth and the Sun. He explained a number of the curious irregularities in the motion of the Moon due to the pull of the Sun. He also deduced that the Earth isn’t a perfect sphere but should be squashed between the poles due to the Earth’s rotation causing a centrifugal force. The French thought the opposite would happen: that the Earth should be pointy in the direction of the poles. An expedition set out in 1733 which proved Newton – and the power of mathematics – correct.
NEWTON’S THEORY OF EVERYTHING
It was an extraordinary feat. The three laws were the seeds from which all motion of particles in the universe could potentially be deduced. It deserved to be called a Theory of Everything. I say ‘seeds’ because it required other scientists to grow these seeds and apply them to more complex settings than Newton’s solar system made up of point particles of mass. For example, in their original form the laws are not suited to describing the motion of less rigid bodies or bodies that deform. It was the great eighteenth-century Swiss mathematician Leonhard Euler who would provide equations that generalized Newton’s laws. Euler’s equations could be applied more generally to something like a vibrating string or a swinging pendulum.
More and more equations appeared that controlled various natural phenomena. Euler produced equations for non-viscous fluids. At the beginning of the nineteenth century French mathematician Joseph Fourier found equations to describe heat flow. Fellow compatriots Pierre-Simon Laplace and Siméon-Denis Poisson took Newton’s equations to produce more generalized equations for gravitation, which were then seen to control other phenomena like hydrodynamics and electrostatics. The behaviours of viscous fluids were described by the Navier–Stokes equations, and electromagnetism by Maxwell’s equations.
With the discovery of the calculus and the laws of motion, it seemed that Newton had turned the universe into a deterministic clockwork machine controlled by mathematical equations. Scientists believed they had indeed discovered the Theory of Everything. In his Philosophical Essay on Probabilities published in 1812, the mathematician Pierre-Simon Laplace summed up most scientists’ belief in the extraordinary power of mathematics to tell you everything about the physical universe.
We may regard the present state of the universe as the effect of its past and the cause of its future. An intellect which at a certain moment would know all forces that set nature in motion, and all positions of all items of which nature is composed, if this intellect were also vast enough to submit these data to analysis, it would embrace in a single formula the movements of the greatest bodies of the universe and those of the tiniest atom; for such an intellect nothing would be uncertain and the future just like the past would be present before its eyes.
This view that, in theory, the universe was knowable, both past and present, became dominant among scientists in the centuries following Newton’s great opus. It seemed as if any idea of God acting in the world had been completely removed. A God might be responsible for getting things up and running, but from that point on the equations of mathematics and physics took over.
So what of my lowly dice? Surely with the laws of motion at hand I can simply combine the geometry of the cube with the initial direction of motion and the subsequent interactions with the table to predict the outcome? I’ve written out the equations on my notepad and they look pretty daunting.
Newton too contemplated the problem of trying to predict the dice. Newton’s interest was prompted by a letter he received from Samuel Pepys. Pepys wanted Newton’s advice on which option he should back in a wager he was about to make with a friend:
(1) Throwing six dice and getting at least one 6
(2) Throwing twelve dice and getting at least two 6s
(3) Throwing eighteen dice and getting at least three 6s
Pepys was about to stake £10, the equivalent of £1000 in today’s money, and he was quite keen to get some good advice. Pepys’s intuition was that (3) was the more likely option, but Newton replied that the mathematics implied the opposite was true. He should put his money on the first option. However, it wasn’t his laws of motion and the calculus to which Newton resorted to solve the problem but the ideas developed by Fermat and Pascal.
But even if Newton could have solved the equations I’ve written out to describe the trajectory of the dice, there turned out to be another problem that could scupper any chance of knowing the future of my dice. Although Pascal was talking about his wager with God, there is an interesting line in his analysis which throws a spanner in the works when it comes to knowing the future: ‘Reason can decide nothing here. There is an infinite chaos which separated us.’
THE FATE OF THE SOLAR SYSTEM
If Newton is my hero, then French mathematician Henri Poincaré should be the villain in my drive to predict the future. And yet I can hardly blame him for uncovering one of the most devastating blows for anyone wanting to know what’s going to happen next. He was hardly very thrilled himself with the discovery, given that it cost him rather a lot of money.

