
Leibnizovo Kritérium
Novaková pomaly prikývla.
„Ale ak by sme náš vesmír nepovažovali za izolovaný systém, ale za uzavretý systém20, umiestnený vo vnútri väčšieho systému, nemyslíte, že by sme mohli lepšie preštudovať jeho správanie?“
Novaková hľadela na Maoko s úžasom a s vytreštenými očami.
Voči tejto hypotéze sa nikto neodvážil povedať slovka.
Po chvíli však Schultz zdvihol zvraštené čelo a odišiel k tabuli s perom a papierom. Prepísal na papier všetky podstatné rovnice, potom úplne zmazal bridlicovú tabuľu.
Horlivo začal písať kriedou, začal od základných rovníc termodynamiky a nahrádzal ich koeficientmi, ktoré tvorili časti z dosiahnutých výsledkov ich teórie.
Drew a Marron v okamihu stáli pri ňom, aby mu pomohli, kým Kamaranda za ich chrbtom dával pozor, či sú matematické postupy formálne správne, zadumaný Kobayashi pozoroval tabuľu, ktorá práve nadobúdala novú formu šokujúcej koncepcie vesmíru.
Nikto nezbadal, že niekoľko metrov za nimi sedela na pracovnom stole Maoko a svojou malou rukou jemne prechádzala a hladila Novakovej plavé vlasy.
14. kapitola
O druhej popoludní profesorka Bryceová vstúpila do laboratória a priniesla škatuľu, z ktorej sa občas ozývali nečakané zvuky.
Okamžite si uvedomila, že sa doteraz nikto z nich odtiaľ nepohol, nikto sa nebol najesť. Niektorí sa pri tabuli dotýkali rovníc a opravovali grafy, iní pri pracovných stoloch fanaticky písali na papier a robili výpočty za pomoci kalkulačky. Občas sa niekto pozrel do zošita od stroja, pohľadal nejaké číslo a vložil ho do svojej rovnice, potom rozvíjal následné kroky.
Bryceová položila škatuľu na skrinku, sadla si do rohu a čakala. Muselo ísť o veľmi dôležitú fázu, pochopila to z posadnutosti, s akou pracovali jej kolegovia a z ich tvárí vycivených v dôsledku sústredenia a úsilia.
Kamaranda bol pri stole zohnutý nad svojim papierom. Dokončil poslednú pasáž a za znakom rovná sa napísal svoj výsledok. Ešte krátko prešiel postup, prikývol a potom vstal a vybral sa s papierom k Schultzovi.
„Entropia je 415J/K21.“
Schultz vložil hodnotu do jednej funkcie na tabuli.
„Kobayashi, máš energiu?“
Japonec končil výpočet komplexného integrálu. Zdvihol ruku a naznačil, aby chvíľu počkali, zatiaľ čo vkladal hodnoty do kalkulačky. Ešte vykonal posledné výpočty a výsledok zapísal na papier. Chvíľu to prechádzal a zdalo sa mu všetko správne.
„163000 J22.“ vyhlásil.
Schultz vložil aj túto hodnotu a medzitým mu Drew priniesol výsledok svojej a Marronovej práce.
„Vezmi do úvahy hrúbku obalu dve miliardy svetelných rokov. Je to najlepšia približná hodnota, akú ti teraz môžeme poskytnúť.“
Nemec napísal číslo do rovnice vedľa obrázka, znázorňujúceho guľu, obalenú do koncentrickej škrupiny.
Novaková stála pri tabuli so Schultzom a začala rozvíjať rovnice s práve dodanými údajmi.
Rozžiarená Maoko vstala od stola a podišla k tabuli so zošitom v jednej ruke a v druhej mala svoje poznámky. Prstom ukázala na tabuľku v zošite.
„Tu je! Parameter R6!“ triumfálne vyhlásila. „Musí sa udržať do 190 mikrovoltov.“
Schultz napísla190*10-6 na miesto x vo vzorci a dokončil výpočty. Počkal na Novakovú, ktorá o chvíľu prišla na koniec svojich a dostala niekoľko výsledkov. Schultz ich okamžite použil so svojimi v novej rovnici.
Pracoval horúčkovito niekoľko minút pozorovaný kolegami.
Prišiel k poslednému kroku a zaváhal.
Rovnica už sa zúžila na niekoľko koeficientov a on sa takmer obával urobiť posledný krok a spoznať výsledok. Pošúchal si červené oči s čiernymi kruhmi naokolo, zhlboka sa nadýchol a vyriešil postup. Ostal pozorovať posledné číslo, ktoré napísal na pravo od znamienka rovná sa, akoby ho naozaj nevidel.
Nemohol tomu uveriť.
Ale bolo to tak.
Novaková prikyvovala a Kamaranda s Drewom tiež. Maoko a Kobayashi sa na seba navzájom usmievali a potom sa spolu s kolegami dívali na tabuľu. Marron sa vyčerpaný oprel o pracovný stôl.
„Termodynamický systém sa zdá byť vyrovnaný,“ vyhlásil Schultz čisto formálne. „Ak budeme považovať vesmír za uzavretý termodynamický systém v obale s hrúbkou dve miliardy svetelných rokov a vhodne nastavíme parameter R6, ktorý identifikovala slečna Yamazaki, môžeme kalibrovať triádu presunu tak, že dokážeme vymeniť previazané priestory tu a v ktoromkoľvek bode známeho vesmíru s rozlíšením vyvodeným z Plankovej dĺžky. Vymenený priestor tak vstúpi do rovnice inak ako predtým, ale teraz maximálny potrebný výkon na výmenu priestoru s objemom jedného metra kubického na vzdialenosť 10 miliárd svetelných rokov je 5 gigawattov. Značný výkon, jasne, a vyžaduje si samostatnú elektráreň, ale nie nemožný.“
Profesorka Bryceová prišla bližšie.
„Môžem vedieť čo sa stalo?“
„Prekonfigurovali sme predstavu vesmíru,“ povedal Drew hlasom plným emócií. „Osobitná funkcia prístroja výmeny nás priviedla k rozvinutiu modelu, na ktorom bola doteraz založená veda. Odteraz sa bude termodynamický systém považovať za zložený z hrubého obalu, vo vnútri ktorého sa nachádza náš vesmír, náš známy vesmír. Obal a náš vesmír môžu vymieňať energiu všetkými smermi a udržiavať konštantnú energetickú bilanciu. Zákon zachovania energie sa s takýmto modelom dodrží. V tomto modeli je obal iba jednoduchá metafora, ktorá umožňuje funkčne manipulovať s termodynamikou v rámci systému. Avšak z hľadiska časopriestoru sa nepovažuje za fyzikálnu veličinu, mám na mysli obal, pretože v skutočnosti na rozmerovej úrovní susedí s časopriestorovou hmotou známeho vesmíru. Toto prístroju umožňuje, aby fungoval, pretože každý bod nášho vesmíru susedí s bodom obalu. Keď sa prístroj aktivuje, platnička A prejde do bodu obalu, s ktorým susedí akoby sa otvorili dvere a vytvorí kanál presunu, ktorý sme nazvali konektor, a ktorý má druhý koniec napojený na druhý bod v našom vesmíre podľa parametrov, ktoré nastavíme. Zásadný parameter R6 spôsobuje, že výmena previazaných priestorov A a B sa môže uskutočniť s použitím dosiahnuteľného množstva energie.“
Biologička pochopila iba základnú líniu Drewovho vysvetlenia, ale to jej stačilo. Dôležité bolo, že to funguje.
„Nový model musíme pomenovať,“ podotkol Marron.
„Správne!“ odsúhlasil Kamaranda, guru matematických modelov, „ja navrhujem, aby sme ho nazvali jednoducho Systém. Ľahko sa zapamätá a jednoducho sa vyslovuje.“
„Súhlasím,“ pripustil Drew, „čo vy na to?“ obrátil sa s otázkou na ostatných.
„Za mňa v poriadku,“ povedal Schultz a ostatní sa spokojne pridali prikyvovaním.
„Výborne,“ povedal Drew, „teraz všetci odchod na obed!“ nariadil dobrosrdečne.
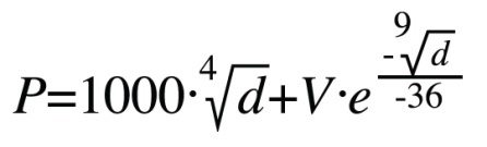
Posledný odchádzal Marron. Na prahu dverí sa obrátil a pozrel na tabuľu, na ktorej sa vynímala finálna rovnica výpočtu výkonu. Bola neuveriteľne jednoduchá oproti hroznej drine, ktorá jej predchádzala a vo svojej zjednodušenej forme vyzerala takto 23:


Kde:
P = výkon vyjadrený vo Wattoch
d = vzdialenosť výmeny vyjadrená v metroch
V = vymenený objem v metroch kubických
Bryceová už bola samozrejme po obede a tak ostala v laboratóriu, aby opravila práce svojich študentov, ktoré mala so sebou v taške.
Všetci ostatní vyčerpaní a hladní náhlivo odkráčali do univerzitnej jedálne.
Marron vošiel do takmer prázdnej miestnosti a spomenul si, že neprišiel obedovať načas a preto sa minul s Charlene. Asi sa nahnevala, ale dúfal, že ak jej vysvetlí zaneprázdnenosť na svojom „delikátnom pokuse“, prejde ju to.
V jedálni bol ešte stále slušný výber a všetci si štedro nabrali. Rozdelili sa k niekoľkým stolom, aby nechali odtekať napätie z úplného ponorenia sa do práce, bok po boku počas dlhých hodín. Najedli sa v tichosti a zopár viet, ktoré prehodili sa týkalo počasia, klasickej nezáväznej a uvoľňujúcej témy.
Dávali si načas a až okolo štvrtej sa lenivo vrátili do laboratória. Toho dňa urobili revolúciu vo vede a tak nebol dôvod niekam sa ponáhľať.
Našli Bryceovú ako v depresii krúti hlavou a robí červené čiary v úlohe nejakého žiaka. Obrátila sa k prichádzajúcej skupine a zamávala vo vzduchu písomkou.
„Podľa tohto študenta 15% roztok vody a chloridu sodného je pri 38 stupňoch a pri atmosférickom tlaku výbušná zmes. Reakčné produkty, ktoré vypočíta sú natoľko chybné, že sa nemôžem spoľahnúť a nechať ho robiť zvyšné pokusy, ktoré si vyžadujú na kurze. Obávam sa, že by mohol konkurovať jednému môjmu známemu špecialistovi na neočakávané výbuchy,“ žmurkla na Drewa.
Fyzik sa vľúdne usmial a rozvalil sa na stoličke, skrížil si prsty na bruchu a pozrel na Bryceovú s výrazom vnútorného pokoja.
„Profesorka Bryceová, váš študent môže byť nepochopený génius, ktorý možno iba potrebuje objaviť svoju cestu,“ povedal duchovne.
„Áno, cestu... na farme!“ žartovala biologička, „trpezlivosť znamená to, že strávi ďalší mesiac navyše študovaním na túto skúšku, držím palce!“
„Takže, čo ste nám priniesli, pani profesorka?“ opýtal sa Drew.
„Črievičku,“ odpovedala a vzala škatuľu zo stolíka.
„Ako viete, je to jednobunkový živočích a živí sa baktériami. Exemplár, ktorý som priniesla, má dĺžku približne 300 mikrónov, takže sa dá ľahko pozorovať pod prenosným mikroskopom, ktorý som zabezpečila.“
Z veľkej škatule vybrala malú priesvitnú škatuľku. Vo vnútri sa nachádzal priestor s vodným roztokom.
„Je to jeden exemplár ponorený do výživného roztoku. Ak ho výmena nepoškodí, ďalej sa bude kŕmiť ako to robí bežne.“
Podala Drewovi škatuľu a ten pozrel na Kobayashiho.
Japonec ukázal na prístroj číslo dva, takže Drew položil vzorku na jeho platničku.
Uvoľnili priestor bodu B a položili tak stoličku a prikryli ju uterákom, aby zachytili prichádzajúcu vzorku a zabránili tomu, že odskočí a spadne na zem.
Bez úpravy parametrov Maoko aktivovala výmenu.
Priesvitná škatuľka sa materializovala tam, kde ju čakali. Marron ju vzal a podal Bryceovej, ktorá ju okamžite dala pod mikroskop.
Prižmúrila oči nad okulárom a niekoľko sekúnd pozorovala objekt, potom zajasala.
„Kŕmi sa! Má sa dobre!“ znova sa pozrela celá rozrušená, „to je fantastické, a... okamih... pozrime sa na to, aká zhoda okolností!“
Chvíľu počkala so zatajeným dychom a potom zvolala: „Reprodukuje sa! Excelentné. Toto je žiarivý príklad, že výmena ho ani najmenej neovplyvnila. Pozrite sa sám,“ s úsmevom oslovila Drewa.
Fyzik pozrel do mikroskopu, napravil zaostrenie a napokon zbadal malé črievičky ako sa silno brodia vo výživnom roztoku
Nechal mikroskop ostatným, aby si znepokojení obdivovali prvú živočíšnu formu života, ktorú prístroj preniesol.
Bol to historický výsledok.
Všetci sa nadšene usmievali a navzájom si gratulovali.
Tento deň znamenal významný medzník v ľudskej histórii.
„Čo tam vo vnútri ešte máte?“ opýtal sa Drew a ukázal na škatuľu.
Bryceová vybrala škatuľku s červíkom, ďalšiu s malou žabou a nakoniec klietku so škrečkom, ktorý pobehoval sem a tam po slamenej rohoži.
„Červík!“ vyhlásila Bryceová a podala Drewovi príslušnú škatuľku, ten ju vzal a chvíľu pozoroval pomalku, ktorá sa veselo skrúcala.
„Šťastnú cestu!“ zaželal Drew plný dôvery červíčkovi.
Výmena.
Výborne.
Červík sa na veľkú radosť vedátorov dostavil do cieľa veselý ako bol predtým.
Teraz už panovala úplná dôvera v prístroj a teóriu, ktorá ho riadila, takže prešli okamžite k žabke.
Žabka bola pokojná vo svojej dierkovanej škatuli a po tom, čo sa šťastne dostavila do bodu B si podskočila, aby sa upravila po dopade na stoličku. Bryceová jej cez otvor v škatuli ponúkla mušku, žaba šľahla jazykom, zachytila ju a prehltla.
„Je hladne, zvieratko, ha?“ pozoroval pobavene Drew.
„Tak, a dostali sme sa k cicavcom,“ vyhlásila slávnostne Bryceová kým vo vzduchu držala zdvihnutú klietku so škrečkom.
„Ideme?“ opýtala sa formálne Drewa.
Naznačil jej plošinu A, a Bryceová na ňu osobne pompézne uložila klietku.
Maoko stlačila kláves aktivácie.
Klietka ostala tam, kde bola, kým škrečok sa slobodný objavil v bode B a spadol na uterák, zoskočil dole zo stoličky a prudko vyskočil smerom do rohu na druhej strane laboratória.
„Hiiiiiiiii!“ ostrý výkrik rozčesol vzduch, spoza skrine sa vyrútila dievčina a vyskočila na najbližšiu stoličku. Vložila si prsty do úst a neprestávala jačať. „Aaaaaaaa!“
Všetci prítomní sa k nej vydesene obrátili.
Po chvíli zareagoval Drew.
„Čo je táto zač?“ opýtal sa s otvorenými ústami.
Škrečok sa schoval pod skriňu a nebolo ho vidieť, takže dievčina prestala kričať.
„Charlene!“ zakričal Marron úplne ohúrený.
„Kto?“ opýtal sa Drew.
„Hm... to je Charlene. Hm... moja priateľka“ odpovedal Marron a od rozpakov celý očervenel.
„Čože?“ opýtal sa Drew a výhražne prižmúril oči. „Tvoja priateľka?“ a zdôraznil prívlastok.
„No, áno. Moja priateľka,“ podišiel k Charlene a pomohol jej zísť zo stoličky.
Dievčina s pochybami pozrela na miesto, kde sa schoval škrečok a rýchlo sa pohla k dverám.
„Kam si myslíte, že idete, slečna?“oslovil ju Drew hromovým hlasom.
„Chcem odtiaľ okamžite preč!“ odpovedala provokatívnym tónom.
„Ešte nie!“ zastavil ju Drew tak, že si stal pred dvere.
Marron bol besný. Položil si ruku na čelo a neprestával kývať hlavou. Silno sa potil a nevedel na koho stranu sa má postaviť. Cítil, že za ten zmätok je zodpovedný on.
„Profesor Drew, prosím vás. Nechajte ma s ňou porozprávať.“
Drew ho ignoroval.
„Čo tu robíte?“ opýtal sa Charlene drsne.
„Ja...“ začalo dievča, ale hneď prestala a celá očervenela. Uvedomovala si, že jej správanie nebolo správne.
„Iba som chcela vedieť, na čom pracuje môj priateľ,“ pokračovala úprimne a zároveň s dávkou horkosti.
„Už niekoľko dní sledujem, že chodí ako s hlavou v oblakoch, je vzrušený, ale zamyslený, prišla som na to, že predo mnou niečo skrýva a hovorí mi klamstvá!“ dokončila a pozrela mu rovno do očí.
Marron svoje obrátil k oblohe a rozhodil porazenecky rukami.
„Čo som ti mal povedať?“ snažil sa jej vysvetliť. „Robíme pokusy a...“
„Čo ste videli, slečna?“ prerušil ho náhle Drew a obrátil sa na Charlene.
„Ja...“ váhavo sa ozvala, „videla som. Videla som to, čo sa dalo vidieť.“
Všetci v laboratóriu urobili okolo nej kruh a nepriateľsky na ňu pozerali okrem Marrona, ktorý stál nečinne a zdrvený bokom.
„Dobre,“ skonštatoval Drew, „škody už boli napáchané. Odteraz ste súčasťou tejto vedeckej skupiny. Predpokladám, že ste študentka. Študentka čoho...?“
„Psychológie,“ odpovedala Charlene obozretne.
„Dobre, slečna Charlene, študentka psychológie,“ Drew pozrel na dvere za svojim chrbtom, aby sa ubezpečil, že sú dobre zatvorené.
„Dnes ste boli svedkom experimentovania so systémom prenosu hmoty z jedného miesta na druhé, okamžitého a úplne prevratného. Vzhľadom na humánny smer vášho štúdia predpokladám, že vás nezaujímajú vedecké aspekty, ale nechám na Marrona, aby vám ich po zvážení vysvetlil ak to bude potrebné. Tento jav objavil náhodné váš priateľ tak, že nechcene spustil prístroj, ktorý som zostrojil. Osoby, ktoré tu vidíte,“ ukázal na prítomných, „som povolal, aby sme prišli na mechanizmus fungovania prístroja a základnú teóriu. A toto by sme mali. Dnes sme experimentovali s rastlinnými formami života a zvieratami,“ pri slove zviera Charlene hodila nervózne pohľad smerom ku skrini, kde sa schovával škrečok, „a potvrdili sme teóriu. Nachádzate sa v spoločnosti najväčších osobností, aké existujú. Predstavujem vám profesora Schultza, fyzika z univerzity v Heidelbergu.“
Charlene stisla profesorovi ruku a on jej oplatil svojim mocným stiskom.
„Profesor Kamaranda, matematik z Raipuru. Profesor Kobayashi, fyzika častíc z Osaky.“ Pri každom potrasení ruky Charlene cítila, ako v nej narastajú emócie ako rozvodnená rieka. Pripadala si akoby sa pozerala do tváre bohov.
„Profesorka Novaková, fyzička z univerzity v Osle. Slečna Yamazaki, doktorandka profesora Kobayashiho.“
Maoko si premerala Charlene kritickým pohľadom, potom jej srdečne potriasla rukou.
„Profesorka Bryceová, biologička na našej univerzite,“ pokračoval Drew, „a ja som profesor Lester Drew, fyzik a vedúci diplomovej práce vášho priateľa.“
„Som poctená, že som vás mohla poznať,“ vyhlásila dojatá Charlene. „Prepáčte mi, prosím, že som sa votrela do laboratória a spôsobila vám problémy. Snažte sa ma pochopiť, netušila som, čo stvára Joshua a... vrhla som sa po hlave. Ešte raz sa ospravedlňujem.“
„Stalo sa,“ uzavrel Drew,. „teraz si však musíte uvedomiť, že všetko, čo ste videli a čo sa tu dozviete odteraz musíte držať v úplnej tajnosti. V úplnej tajnosti, rozumiete? Rektor McKintock osobne je v čele tohto projektu a nariadil najvyššie utajenie. Nesmiete nikdy, opakujem, nikdy s nikým o tom rozprávať. Je to jasné?“
„Áno. Jasné. Rozumiem,“ odpovedala Charlene trocha kajúco, ale hrdá, že sa stala súčasťou tejto skupiny.
„Napokon,“ dodal Drew a žmurkol, „psychologička sa nám tu vždy môže hodiť!“
Charlene sa usmiala a zároveň ju Bryceová chytila za lakeť odvádzala ju so sebou k škrečkovej skrýši.
„Dobre, slečna budúca psychologička Charlene, priateľka študenta Marrona, ako iniciačný rituál v tomto tajnom bratstve Univerzity v Manchesteri mi musíte pomôcť zaistiť pokusné zviera, ktoré ušlo,“ a podala jej kartónovú škatuľu.
Charlene zbledla.
„Och, nie! Nie, nemôžem!“
„Čo ste to povedali, prosím?“ pozrela jej do oči výhražným pohľadom.
„Och, nuž,“ Charlene si uvedomila, že to bola cena, ktorú musela zaplatiť za svoju bezočivosť, „veď je to vlastne len malá... malá myš,“ zachvela sa.
„Je to škrečok a nie myš!“ opravila ju Bryceová kyslo, „mnoho rodín ich chová ako domácich maznáčikov, takže sa nemáte čoho obávať. Zohnite kartón z prednej strany, áno, tak a oprite ho o dve voľné strany skrine,“ ukázala jej, kam ho má položiť, potom sa sklonila až k zemi a natiahla ruku k jedinej otvorenej strane pod skriňou, opretou o stenu tak, že nechala iba malý otvor. Druhú ruku vložila pod ňu a šmátrala vo vymedzenom priestore. Krátko zalovila a zrazu zvolala: „Ach, mám ho!“ Pomaly vytiahla ruku a postavila sa na nohy, aby predstavila prvého cicavca, premiestneného prístrojom.
Podľa zanovitého správania škrečka vyzeralo, že sa má veľmi dobre.
Napriek tomu Charlene odstúpila od zvieratka na niekoľko krokov.
Bryceová vložila pokusné zviera do škatule so vzorkami, ktorá bola vybavená otvormi pre zabezpečenie vzduchu pre prenášané exempláre.
„Tak, a teraz mi vysvetlite čo sa stalo počas poslednej výmeny,“ obrátila sa na kolegov okolo seba.
„Je to jednoduché, profesorka,“ odpovedal Kobayashi, „v rozrušení z úspešných experimentov sme si neuvedomili, že klietka má väčšie rozmery ako prístroj, ktorý vykonáva výmenu. Klietka je kocka so stenami o dĺžke osem centimetrov, zatiaľ čo naša kalibrácia má štyri centimetre. Výsledkom je, že prenesené bolo iba pokusné zviera s kúskom podložky z klietky. Zvyšok obalu ostal na platničke A.“
„Chcete povedať, že...“ naznačila napätá Bryceová, „... že ak by sa škrečok nenachádzal v strede priestoru, kde smeroval prenos, tak by sme premiestnili iba časť zvieraťa? Jeden kus by ostal v klietke?“
„Áno, je to tak,“ potvrdil Kobayashi, ktorého myšlienka vôbec nerozrušila.
Bryceová si vydýchla.
„Takže sme mali šťastie,“ bola zamyslená a opakovane prikyvovala.
„V každom prípade, je to riziko, ktoré sme museli podstúpiť. Pochopte však, že z etického hľadiska by sa malo na zvieratách experimentovať iba vtedy, ak neexistujú iné možnosti. Pri vzrušujúcich výsledkoch predchádzajúcich pokusov som nemal ani potuchy, že sa niečo mohlo pokaziť. Preto som položil klietku na platničku s úplnou dôverou. Ten škrečok mal naozaj šťastie. Pri rýchlosti akou sa pohybuje mohol byť v okamihu výmeny kdekoľvek. Som šťastný, že sa všetko dobre skončilo,“ dokončil a prstom klopkal po škatuli, v ktorej zvieratko robilo veľký hurhaj pri behaní na všetky strany.
Medzitým Marron pristúpil k Charlene. Vzal si ju nabok a priškrteným hlasom sa jej opýtal: „Vysvetli mi jednu vec. Ako si sa dostala do laboratória tak, že ťa nikto nespozoroval?“
„Nevidela som ťa pri obede,“ odpovedala, „mala som starosti. Popoludní som išla do knižnice a videla som ťa odchádzať spolu so skupinou týchto ľudí z jedálne. Sledovala som vás z diaľky a videla som, že vchádzate sem. Obišla som budovu a našla som otvorené okno do záchodu. Tam som vošla a schovala som sa za túto skriňu bez toho, aby si ma niekto všimol. Videla som pokusy. Zvyšok už poznáš.“
„Dostala si sa sem cez záchod?“ usmieval sa zamilovaný Marron. Pohľadom ju pohladil,. „ako z béčkového kriminálneho filmu,“ pobavene sa zasmial.
„Presne tak, ty lišiak,“ odsekla šibalsky Charlene a kopla ho do nohy.
„Dámy a páni, na dnes sme skončili!“ vyhlásil nahlas Drew, „myslím, že lepšie to nemohlo ísť. Ďakujem všetkým. Stretneme sa zajtra!“
Skupina sa rozišla a každý sa pobral do svojich ubytovacích priestorov.
Ďalší historický deň sa chýlil ku koncu.
15. kapitola
Midori pozerala z okna a zrak mala uprený na vzdialený, neviditeľný bod.
Tam, kde bola záhrada s čerešňovými stromami, park, v ktorom stretla svojho milovaného Noboru.
Slnko zapadalo a dievčina sa pustila do písania pre svojho milého.
„Dnes som naozaj unavená. Hodina histórie stredovekého Japonska je naozaj neznesiteľná. Čo záleží na tom období? Žijem tu a teraz. Je to teraz, kedy ťa nemôžem vidieť a z toho, ako mi chýbaš ma bolí srdce.
O dva týždne ma čaká skúška z histórie a ja sa nemôžem sústrediť na základné znalosti. Nedopadne to dobre, cítim to. Moji rodičia sa budú pýtať prečo sa môj prospech po tak úspešnom absolvovaní univerzity viditeľne zhoršil.
Nie, nie je to voči nim správne, napriek všetkému ma majú radi a dúfajú, že si vybudujem slušné postavenie, nie pre mňa, pretože ak nedokončím školu, budem nútená robiť iba podradné, neisté a zle platené práce. Prečo musí byť japonská žena tak izolovaná? Sme prehnitá spoločnosť, ktorej dominujú autoritatívni muži s rozhodovacím právom a ženy nechávajú pozerať do priehľadného stropu, nad ktorým oni riadia naše životy.
Ja nechcem ostať v tieni.
Budem sa učiť, áno, budem sa učiť ako nikdy, aj históriu, áno, takto sa dostanem k promócii a budem učiteľkou, budem dobre zarábať a budeme sa môcť zosobášiť, ty vystúpiš z člna a už nebudeš chudobný. Budeš môcť študovať literatúru ako ja a stane sa z teba básnik, máš talent, Noboru a musíš si ho doplniť štúdiom.
Midori zdvihla pero z papiera a položila si ruky na oči, aby si osušila slzy, ktoré jej hojne stekali po tvári. Hrozne trpela. Bola však ešte stále silná a rozumná. Dokázala bojovať.
Maoko vzala vreckovku a utrela si oči. Midorino utrpenie ju dojalo. Sužovaná láska sa šírila zo stránok románu, vchádzala jej do srdca a občas ju rozplakala.
Obracala stránku vzdychajúc a vtedy začula búchanie na dvere.
Ľahký dotyk, dalo by sa povedať, že takmer hanblivý.
Rozpačitá pozrela na hodinky pod svetlom abat-jour: bolo desať hodín večer, kto by to mohol byť v takú neskorú hodinu?
Vstala z postele, položila knihu a vybrala sa k dverám. Nebol tam náhľadový otvor, takže sa opatrne približovala.
„Áno?“ ozvala sa a neotvárala.
„Novaková,“ počula jednoduchú odpoveď.
Maoko zdvihla oči k oblohe a vzdychla si, potom zapla hlavné svetlo, otvorila dvere a nechala Nórku vstúpiť dnu. Potom zamkla na kľúč, lebo predpokladala čo bude nasledovať.
Mala pravdu.
Jasmine Novaková mala na sebe veľmi kvalitný svetlohnedý kabát so škótskym vzorom. Hnedé topánky na nízkom opätku a vlasy mala stiahnuté do vrkoča. Nemala so sebou kabelku.
Len čo vstúpila dnu, zastala. Čakala, že Maoko je vyjde naproti, potom si odmeraným pohybom rozopínala kabát zhora nadol, jeden gombík za druhým, v pravidelnom rytme. Keď prišla k poslednému, oboma rukami chytila fazóny kabáta vo výške hrude a pomaly, dokonale symetricky ho otvárala.

