
Технология склеивания изделий из композиционных материалов

Алексеева Н. А., Богатеев Г. Г., Ерова Д. Р., Казанская Л. И., Сафина З. И., Богатеев Д. Г.
Технология склеивания изделий из композиционных материалов
ВВЕДЕНИЕ
Техникой склеивания человек стал пользоваться еще с первобытных времен. Наблюдения и навыки древних позволяли им выделять клеящие составы из растительного и животного материала, которые до сих пор широко используются при работе с пористыми материалами, например, бумагой. В XVII веке производство клеев было поставлено на промышленную основу. Были построены первые заводы, вырабатывающие клей из костей, мездры и отходов рыбного промысла. В начале XX века начали производство казеинового (на основе молочного белка) клея. Недостатки клеев животного происхождения заключались в ограниченной стойкости к действию влаги и в достаточно быстром грибковом заражении. Это стало важным стимулом для создания новых клеев, основой которых являлись синтетические смолы и другие искусственные материалы.
Быстрое развитие этой отрасли началось в 30-е годы. Фенолоформальдегидные смолы явились первыми синтетическими смолами, сыгравшими важную роль в технике склеивания. Первоначально их использовали для дерева и фанеры. Затем требования, связанные с необходимостью создания клеев для соединения металлов, привели к разработке модифицированных композиций на основе фенольных смол, содержащих в своем составе синтетический каучук, позволяющий снизить угрозу расслоения клеевых соединений. В 50-е годы в качестве основы клея были предложены эпоксидные смолы, что дало возможность исключить растворитель из состава клея. Затем начали применяться клеи на основе полиуретановых, акрилатных (в том числе цианакрилатных) смол, появились мономерные, водорастворимые и другие клеи [1].
В настоящее время сфера применения клеев обширна и разнообразна. Они находят применение в промышленных процессах, где используются в больших количествах, и в таких сборочных процессах, где требуется лишь небольшое количество клея. Переработка бумаги, упаковка, деревообрабатывающая промышленность все еще являются главными потребителями клеев, но в то же время возросло их применение в строительстве, на транспорте, в наружной рекламе. В последние десятилетия было разработано много новых синтетических смол, послуживших основой для создания более простых, эластичных и долговечных клеев, соединяющих самые разнообразные материалы. Разработка новых клеев сопровождается и совершенствованием оборудования и технологии склеивания.
1. Факторы, определяющие целесообразность склеивания
Основная функция клея – скрепление деталей или элементов конструкции между собой и сохранение соединенных частей в эксплуатационных условиях в соответствии с конструктивными требованиями. Выполняя эту роль, адгезивные материалы позволяют решать многие проблемы, связанные с формированием соединения, упрощают и ускоряют процессы сборки, создают возможности для самого разнообразного конструирования. Несомненно, процесс склеивания во многих случаях является более рациональным и экономичным, чем традиционные методы неразъемного соединения деталей.
Склеивание материалов имеет ряд преимуществ перед другими видами соединения. Склеивание заменяет пайку, сварку и клепку, обеспечивая достаточную прочность шва. Клеями называются вязкие вещества, способные при определенных условиях скреплять между собой поверхности различных деталей. Клей обладает связывающими свойствами, которые основаны на его способности смачивать склеиваемый материал и прочно соединяться с ним. Жидкий раствор клея, нанесенный на склеиваемые поверхности, при высушивании или в результате химических реакций густеет и превращается в твердую пленку – клеевой шов.
Применение клеев непрерывно расширяется. Склеивают теперь не только отдельные мелкие детали, но и целые конструкции. Соединением деталей при помощи клея обеспечивается:
– высокая прочность и герметичность швов;
– возможность соединения между собой самых разнородных материалов (металл – резина, металл – пластмассы и т. п.);
– ликвидация технологических операций, ослабляющих скрепляемые детали и элементы конструкций (пробивка и сверление отверстий под заклепки, винты и т. п.);
– большая равномерность распределения напряжений в клеевых конструкциях по сравнению с клепаными, болтовыми, сварными конструкциями;
– получение соединений, гладких по наружной и внутренней поверхностям;
– возможность изготовления конструкций из элементов любой толщины и формы, включая тонкие пленки, пластины, листы, трубы и др.
Выбор клея зависит от конструкции и назначения изделия, а также от условий, в которых оно работает. При рассмотрении клеев с точки зрения их применения необходимо обращать внимание на следующие аспекты [1].
1. Склеивание может оказаться единственным возможным способом образования соединения. Применение механических методов соединения (например, клепка, пайка, сварка, крепление винтами или гвоздями) часто приводит к короблению, изменению цвета, коррозии или ухудшению качества материалов, вследствие проявления других отрицательных факторов или дефектов.
2. Склеивание может быть предпочтительным перед другими способами с точки зрения сокращения затрат и улучшения качества изделия за счет снижения объема механической обработки.
3. В некоторых случаях при изготовлении клееных конструкций может потребоваться дополнительное крепление с помощью других методов сборки.
Области применения, в которых клеи рациональны, следующие:
– соединение разнородных материалов (сочетание металлов, резин, пластиков, вспененных материалов, древесины, стекла и т. д.);
– соединение разнородных металлов, образующих коррозионно-опасные пары (железо с медью, например);
– склеивание многослойных конструкций, в частности трехслойных с заполнителем (сотовым или пенным), изготовление листовых слоистых материалов (пластиков, сочетания древесины с металлом);
– приклеивание усиливающих элементов конструкции – элементов жесткости;
– конструкционное склеивание – создание элементов, испытывающих напряжения на сдвиг и сжатие, полностью исключая механические способы крепления;
– герметизация соединений – стыков, швов, технических отверстий, образующихся при клепании, винтовых и болтовых соединений;
– крепление малопрочных хрупких элементов (тонких пленок, фольги и т. д.)
– склеивание элементов конструкций специальной формы, если площадь склеивания велика или соединение осуществляется во многих точках одновременно, либо требуется точная подгонка между сопрягаемыми элементами конструкции;
– временное крепление элементов конструкции, целью которого является использование клеевого соединения по истечении некоторого времени. Оно осуществляется с помощью клеящих лент, а также клеями для закрепления и фиксации различных деталей (вместо механических устройств перед использованием других средств сборки.
2. Физико-химические основы склеивания
Склеивание – это соединение двух тел при помощи клея. В основе процессов склеивания материалов – явления когезии и адгезии.
Адгезия – прилипание двух разнородных жидких или твердых тел, обусловленное молекулярной связью, проявляющейся при соприкосновении этих тел. Притяжение частиц (атомов, ионов, молекул) внутри данного тела называют когезией. Прочность клеевой прослойки определяется силами когезии. Сцепление же ее со склеиваемым материалом (или материалами) обусловлено силами адгезии.
Процесс образования адгезионного соединения начинается со сближения разнородных фаз и осуществляется различными методами. Основой адгезии является молекулярное взаимодействие на поверхности раздела адгезив – склеиваемый элемент. Наиболее распространенный метод – смачивание жидким адгезивом твердой поверхности, при котором достигается необходимый молекулярный контакт различных фаз. Это означает, что адгезив должен растекаться по твердой поверхности материала, вытесняя воздух и присутствующие на ней загрязнения.
Адгезив, идеально отвечающий этим требованиям, в жидком состоянии должен иметь нулевой или близкий к нулю контактный угол, на определенном этапе формирования адгезионного соединения обладать относительно низкой вязкостью, при контакте с твердой поверхностью содействовать удалению захваченного воздуха.
Химическая и физическая природа явлений адгезии и когезии едина. Она обусловлена межмолекулярным взаимодействием, т. е. отношением сил притяжения между молекулами, которое в свою очередь зависит от электрической природы веществ и определяется движением электронов и взаимодействием создаваемых ими электрических полей. Распределение электрических зарядов в веществе определяет его полярность. Полярные молекулы ориентируются в массе вещества так, что противоположные по знаку заряда участки притягиваются, создавая устойчивую систему, в которой действуют электростатические силы. Чем более полярны вещества, тем больше величина электростатических сил. Поэтому адгезия полярных веществ к полярным обычно высокая. Как правило, полимеры, содержащие гидроксильные (ОН), карбоксильные (СООН), амидные (NHCO), аминные (NH2) и другие полярные группы, являются хорошими клеями [2].
Различают несколько видов межмолекулярного взаимодействия (или межмолекулярных сил): электростатическое, индукционное, дисперсионное, водородная связь. Кроме того, для склеивания имеют значение и химические связи (ионные, ковалентные, координационные).
Согласно теории, разработанной Дебаем, энергия электростатического взаимодействия полярных молекул зависит от температуры, повышение которой нарушает ориентацию заряженных молекул в результате их теплового движения и снижает величину электростатического взаимодействия. Под влиянием электрического поля полярных молекул может произойти поляризация неполярных веществ, находящихся в контакте с полярными. Результатом взаимодействия между молекулами этих веществ является притяжение, подобное притяжению полярных молекул, но более слабое. Возникающие при этом силы называются индукционными. В отличие от электростатических сил они не зависят от температуры, но быстро убывают с расстоянием между частицами.
Наконец, независимо от наличия или отсутствия в молекулах электрических зарядов между ними действуют силы, называемые дисперсионными. Они являются результатом взаимной поляризации молекул, вызываемой непрерывным движением электронов рядом расположенных атомов. Дисперсионное взаимодействие проявляется при расстояниях между частицами до 3–4 А. Так как нагревание тел не оказывает заметного влияния на движение электронов, то величина дисперсионных сил не зависит от температуры.
Согласно современным представлениям максимальное действие этих сил проявляется в микроуглублениях, имеющихся на поверхности твердого тела, так как силовые поля, образуемые противоположными стенками этих углублений, будут накладываться друг на друга и таким образом усиливаться [3].
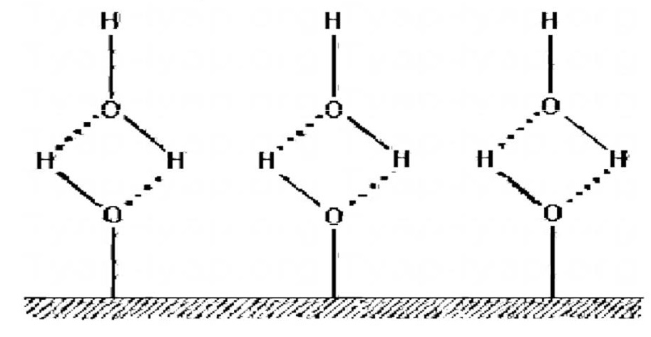
При склеивании большое значение имеет еще одна разновидность межмолекулярного взаимодействия – водородная связь. По характеру и величине действующих сил она близка к электростатическому взаимодействию и может возникать между непосредственно не связанными группами внутри одной и той же молекулы, между молекулами одного и того же соединения и между молекулами различных соединений, содержащих водород, кислород, азот, хлор. Ее действие проявляется на расстоянии до 2,5–2,8 А. Гидрофильность (способность хорошо смачиваться водой) поверхности древесины, имеющая важное значение для склеивания, частично обусловлена образованием водородных связей между молекулами воды и гидроксильными группами молекул целлюлозы. Эту связь можно представить общей для многих веществ схемой (рис. 1).
При склеивании металлов синтетическими клеями образуется так называемая ионно-дипольная связь. Возникает она между ионами металлов и полярными молекулами полимеров, например, содержащих группы CN в феноло-акрилонитрильных клеях или сложно-эфирные группировки в поливинилацетатном и полиметилмета-крилатном клеях. Эта связь образуется как при взаимодействии клея с поверхностными окисными пленками, так и на границе с чистыми неокисленными поверхностями металлов. Силы ионно-дипольного взаимодействия убывают с увеличением расстояния между частицами слабее, чем водородные связи, и поэтому обеспечивают высокую адгезию.

Рис. 1. Схема гидратации поверхности вещества, имеющего гидроксильные группы ОН. Пунктиром обозначена водородная связь.
Иногда при склеивании проявляется действие сил химической связи – ковалентной и координационной. Они действуют на значительно меньших расстояниях, чем дисперсионные, индукционные и электростатические. Их энергия в десятки раз превосходит энергию межмолекулярных связей [3].
Из приведенного обзора сил адгезии следует, что их действие проявляется лишь при максимальном сближении двух тел. При соприкосновении твердого и жидкого тел взаимодействие становится более полным, так как жидкость, растекаясь, заполняет неровности, благодаря чему лучше осуществляются различные межмолекулярные связи.
Следовательно, необходимыми условиями склеивания являются, во-первых, жидкое состояние клея и, во-вторых, способность его к хорошему смачиванию, т. е. растеканию, заполнению неровностей.
Полнота смачивания зависит как от вязкости клея, так и от состояния поверхности и прилагаемого давления. Для улучшения смачивания поверхности вязкость многих клеев уменьшают при помощи растворителей или нагреванием.
При взаимодействии клея и твердого тела происходит одновременная переориентировка молекул этих тел и начинают действовать силы, обеспечивающие все более прочные межмолекулярные связи. Давление при склеивании способствует быстрому заполнению клеем всех неровностей и более полному контакту поверхности твердого материала с клеем. Заключительной стадией склеивания является переход клея в твердое состояние, т е. его когезионное упрочнение.
На полноту смачивания поверхности и величину сцепления с ней клея влияют форма и размеры микроуглублений на поверхности. Любая поверхность твердого тела представляет собой систему выступов и впадин, т. е. имеет неровности, зависящие от способа обработки. Наиболее распространенные формы углублений схематически изображены на рисунке 2.

Рис. 2. Формы углублений на поверхности твердого тела: а, б – коническая; в – цилиндрическая; г – призматическая; д – сферическая
С точки зрения полноты смачивания более благоприятны коническая (рис. 2, а) и призматическая (рис. 2, г) формы. Следует различать склеивание плотных и пористых тел. Углубления на поверхности плотных тел представляют собой капилляры, которые клей заполняет под влиянием капиллярного давления. При этом находящийся в капиллярах воздух сжимается и препятствует прониканию в них клея.
Практически клей не заполняет капилляров полностью, поэтому смачиваемая поверхность всегда меньше свободной поверхности, взятой с учетом всех ее неровностей. При склеивании непористых материалов сжимаемый в капиллярах воздух частично поглощается жидким клеем. В пористых телах воздух, содержащийся в капиллярах, отжимается под влиянием прилагаемого давления и диффундирует в глубь тела, поэтому сцепление клея с поверхностью пористых тел происходит в более благоприятных условиях. Учитывая смачивающую способность клея и прилагаемое давление, глубину заполнения клеем неровностей поверхности непористых тел с углублениями конической формы выражают формулой:

где h – средняя глубина заполнения капилляра, см; Н – средняя высота микронеровностей, см; р – прилагаемое давление, г/см²; рн – начальное давление воздуха в углублениях, г/см²; α – поверхностное натяжение жидкого клея, г/см².
Согласно приведенной формуле, глубина заполнения капилляра зависит в основном от давления (без учета поглощения воздуха жидким клеем, также зависящего от давления).
Существует несколько теорий склеивания: механическая, адсорбционная, электронная, диффузионная, химическая.
Механическая теория склеивания выдвинута в 30-х годах XX в. Мак-Беном. По этой теории при склеивании образуется механическая связь между клеем и поверхностью склеиваемого материала наподобие шипового или заклепочного соединения. Более поздние исследования показали недостаточность общих представлений механической теории и ограничили применимость ее лишь для частных случаев склеивания, например пористых материалов [4].
Образование клеевого соединения в несколько стадий и преимущественное значение поверхностных явлений в процессе склеивания лежат в основе адсорбционной теории адгезии, выдвинутой Мак-Лареном, Дебройном, Ставерманом. Многие представления этой теории основаны на анализе энергетических состояний при смачивании клеем поверхности твердого тела. Однако попытки оценить адгезию энергией смачивания и связать ее с физикомеханическими свойствами соединения осложняются тем, что с момента нанесения клея на твердую поверхность энергия смачивания непрерывно изменяется в результате испарения растворителя, затвердевания расплавленного клея или химической реакции, протекающей при отверждении. Поэтому конечная энергия системы после отверждения не равна энергии в момент смачивания и по величине энергии (или работы) смачивания нельзя судить о прочности адгезионной связи затвердевшего клея к поверхности. Адгезия затвердевшего клея определяется по механическому отрывающему усилию или по работе, затрачиваемой на разъединение твердых поверхностей. Если величина адгезии при смачивании измеряется в момент равновесного состояния системы, то механическое отделение пленки клея является процессом неравновесным. Сопротивление пленки отрыву зависит от скорости разъединения: чем она больше, тем большая затрачивается работа. Только в том случае, если пленка отрывается очень медленно, так что процесс проходит ряд равновесных и обратимых состояний, полученные данные можно сравнивать с работой смачивания.
Адсорбционная теория объясняет связь между микрогеометрией поверхности и прочностью склеивания следующим образом. При нанесении клей взаимодействует с поверхностью лишь в отдельных точках, которые представляют собой активные адгезионные центры. Остальная часть поверхности не может войти в контакт с клеем из-за наличия на поверхности адсорбированных веществ, сопротивления воздуха в капиллярах и других причин, препятствующих полному смачиванию. Чем более шероховата поверхность, тем больше ее активных центров вступает в контакт с клеем и тем сильнее проявляются силы адгезии. Несмотря на то, что не вся склеиваемая поверхность смачивается клеем, концентрация молекул около активных центров уравнивает неполноту смачивания, так что в целом на единицу площади клеевого шва число молекул, участвующих в сцеплении, достаточно велико. Однако плотность молекулярных цепей с удалением от точек сцепления уменьшается. На основе этого существует представление о трехслойной структуре клеевой прослойки вблизи границы раздела ее со склеиваемым материалом. Согласно этому представлению в клее последовательно образуются три слоя:
1) слой ориентированных молекул, удерживаемых у поверхности твердого тела силами межмолекулярного или химического взаимодействия;
2) промежуточный слой с менее упорядоченным расположением молекул;
3) основной слой с более или менее равномерным пространственным распределением межмолекулярных связей.
Представление о механизме образования трехслойной структуры в значительной степени условно. С точки зрения современных представлений о строении полимеров, оно не охватывает всего многообразия процессов формирования клеевого соединения. Большие размеры и сложное строение молекул полимеров и ограниченные зазоры между склеиваемыми поверхностями исключают в ряде случаев возможность образования многослойной структуры. Расположение функциональных групп в молекулах может ориентировать их не поперек, а вдоль плоскости склеивания (конечно, понятие о плоскости в данном случае весьма условно и принято лишь для схематических представлений). Адсорбционная теория не объясняет возможности склеивания слабополярных материалов – каучука, полиизобутилена и др. Многие ее выводы сделаны на основании опытов с низкомолекулярными жидкостями, в то время как для склеивания применяют преимущественно высокомолекулярные соединения.
Проведенные в 1949–1950 гг. Б. В. Дерягиным и его сотрудниками опыты показали, что при отслаивании полимерных пленок от поверхности твердых тел затрачивается гораздо большая работа, чем это необходимо для преодоления сил межмолекулярного взаимодействия, и что эта работа тем больше, чем выше скорость отслаивания. Адсорбционная теория не объясняет это явление, так как величина межмолекулярных сил не должна зависеть от скорости разделения склеенных поверхностей. Было выдвинуто предположение, что между твердой поверхностью и клеевой пленкой в период отверждения образуется двойной электрический слой (микроконденсатор).
Механизм образования и разрушения двойного электрического слоя в клеевом соединении объясняет электронная теория адгезии, предложенная Н.А. Кротовой и Б.В. Дерягиным. По современным представлениям, двойной электрический слой образуется в результате ориентирования заряженных частиц клея и поверхности твердого тела с возникновением затем разности потенциалов между ними. Однако, в отличие от электростатического взаимодействия при образовании двойного электрического слоя происходит взаимный переход электронов между функциональными группами молекул полимера и принятие ими электронов от поверхности твердого тела.
Конец ознакомительного фрагмента.
Текст предоставлен ООО «ЛитРес».
Прочитайте эту книгу целиком, купив полную легальную версию на ЛитРес.
Безопасно оплатить книгу можно банковской картой Visa, MasterCard, Maestro, со счета мобильного телефона, с платежного терминала, в салоне МТС или Связной, через PayPal, WebMoney, Яндекс.Деньги, QIWI Кошелек, бонусными картами или другим удобным Вам способом.
Приобретайте полный текст книги у нашего партнера:

