
Физико-химические основы синтеза и применения тонкослойных неорганических сорбентов

Рис. 1.2. Образование комплексов различной структуры [1] .
Равновесия реакций комплексообразования
В общем случае образование комплексного соединения можно выразить следующим уравнением:
mM + nL↔MmL, (1.2)
тогда термодинамическая константа комплексообразования:

где aM = f[M] – активность, f – коэффициент активности, [ ] – символ концентрации. Согласно теории Дебая-Хюккеля, коэффициенты активности в разбавленных растворах в первом приближении определяются только ионной силой раствора и могут быть рассчитаны по уравнению Дэвиса [2].
При постоянной ионной силе J = const концентрационная константа β отличается от термодинамической константы βt при J = 0 на постоянную величину, поэтому

Если в структуре комплекса существует только один центральный атом, то он называется моноядерным, если m ≠ 1, то полиядерным. Хотя полиядерные комплексы встречаются также часто, как и моноядерные, в большинстве случаев их образованием пренебрегают, особенно при низких концентрациях.
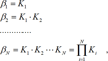
Комплексы обычно образуются ступенчато, процесс характеризуется ступенчатыми константами комплексообразования Ki:

Проведя подстановки:

получаем

где βN– общая константа образования (устойчивости). В данном выражении N – число присоединенных лигандов, а не координационное число. Если рассматривать обратный процесс, то получаем реакцию диссоциации, которая характеризуется константой диссоциации или нестойкости k:

Константы нестойкости ступенчатые – обратные величины ступенчатым константам устойчивости. Общая константа нестойкости

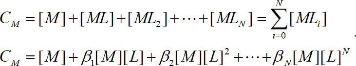
Для определения констант и описания форм состояния ионов в растворе имеют большое значение соотношения между константами и аналитически измеряемыми величинами. Общая концентрация металла в растворе в виде свободного иона и комплексных частиц определяется уравнением:

Введя


Общую концентрацию лиганда можно определить:

Для определения степени закомплексованности Нильс Бьеррум предложил использовать среднее координационное или лигандное число, которое при заданных концентрации лиганда и константах устойчивости комплекса характеризует глубину комплексообразования. Среднее лигандное число и дает число лигандов, связанных с одним ионом металла – комплексообразователя во всех типах комплексов, т.е

Подставив соответствующие выражения, получаем:

При заданных βi среднее лигандное число зависит только от концентрации лиганда и не зависит от концентрации металла в растворе (рис. 1.3). Это утверждение справедливо только для случая образования моноядерных комплексов. Если CL>>CM, то [L] ≈ CL. Когда CL<10CM, то при расчете нельзя пренебрегать связанным в комплекс лигандом.

Рис. 1.3. Изменение среднего лигандного числа в зависимости от концентрации лиганда для цианидных комплексов кадмия [1].
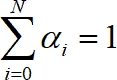
Еще одна величина, которая нашла широкое применение, – это мольная доля i– комплекса в растворе αi.

Из определения следует


Рис. 1.4. Доля аммиачных комплексов цинка, как функция концентрации свободного аммиака [2].
При такой концентрации лиганда, при которой один из комплексов присутствует в максимальных количествах (αi=max), n̄ соответствует числу лигандов, связанных в этом комплексе. Абсциссы точек пересечения кривых мольных долей, т.е. точек, в которых концентрации двух последовательных комплексов одинаковы, равны отрицательным логарифмам ступенчатых констант устойчивости:

Если ион металла образует комплексы с несколькими видами лигандов, то распределение по формам можно рассчитать аналогично:

или в общем случае

где К – число различных видов лигандов, участвующих в комплексообразовании (рис. 1.5).
Равновесия образования полиядерных комплексов рассмотрим в части, посвященной процессам гидролиза.
Внешнесферные и внутрисферные комплексыПриведенные уравнения и константы характеризуют процесс образования внутрисферного комплекса в результате проявления сил близкодействия, что приводит к молекулярному контакту между ионом-комплексообразователем и лигандами. Если лиганды способны образовывать вторую и более удаленные сферы, то говорят об образовании внешнесферных комплексов. Возможность образования внутрисферного комплекса определяется напряженностью поля и особностью к поляризации, следовательно, зарядом и радиусом иона, т.е.

Рис. 1.5. Состояние урана (VI) в морской воде в зависимости от рН: 1 – UO2F+; 2 – UO2SO4; 3 – UO22+; 4 – UO2Cl+; 5 – UO2(SO4)22-; 6 – UO2F3-; 7 – UO2OH+; 8 – UO2(OH)2; 9 – UO2(CO3)22-; 10 – UO2(CO)34- [13].
Координирующая способность растет с увеличением ионного потенциала центрального иона. Образование внешнесферного комплекса происходит по типу образования ионных пар. Например, аномальная величина ионного потенциала Li обуславливает его наибольшую поляризующую способность и наименьшую поляризуемость среди всех щелочных металлов. В поле, которое создает Li+ происходит процесс структурирования воды: молекулы воды, которые представляют собой диполи, ориентируются в поле Li+, образуя внутреннюю и внешние сферы (рис. 1.6).

Рис. 1.6. Процесс структурирования воды в поле Li+.
В водном растворе в результате этого литий имеет наибольший радиус, что объясняет его меньшую подвижность по сравнению с подвижностью ионов калия и натрия. По величине гидратированного иона лития (10 Å) можно вычислить, что в первой сфере он имеет – 6, во второй – 30, а в третьей – 76 молекул воды, что естественно, оказывает определяющее влияние на его химические свойства и физико-химическое поведение в водных растворах.
Внешнесферные комплексы могут быть идентифицированы по изменению некоторых характеристик, в частности, спектральных. Для лабильных систем (когда лиганды, входящие в состав внутренней и внешней сфер, могут легко меняться местами) трудно провести различие между внешнесферными и внутрисферными комплексами. Возможно, превращение внешнесферного комплекса во внутрисферный происходит в результате химической реакции

скорость которой определяется скоростью образования ионной пары и, в дальнейшем, внутрисферного комплекса. Возможность перехода одной формы комплекса в другую характеризует лабильность комплекса. Оказывается, что комплексы трехвалентных РЗЭ чрезвычайно лабильны. Причина этого, по-видимому, в большом координационном числе ионов РЗЭ. Скорость определяющей реакцией будет удаление молекулы воды из внутренней координационной сферы и ее замещение на лиганды второй внешней координационной сферы.
Устойчивость комплексных соединенийОбычно реакции комплексообразования рассматривают, используя понятия теории кислот и оснований Льюиса.
Характерные свойства кислот и оснований можно связать с их электронной структурой, а в особенности с парой электронов, образующих координационную ковалентную связь. Тогда можно дать следующее определение:
кислоты – вещества, которые при образовании ковалентной связи принимают пару электронов (являются акцепторами пары электронов);
основания – вещества, которые при образовании ковалентной связи отдают пару электронов (являются донорами пары электронов). Выбор электронной конфигурации в качестве фундаментального критерия для обоснования понятий «кислота» и « основание» дает возможность применить их для более широкого класса веществ.
Основания – это соединения, обладающие неподеленной парой электронов, которая может быть использована для образования устойчивой электронной группировки другого атома; кислота – соединения, которые могут использовать неподеленную пару электронов атома другой молекулы с тем, чтобы завершить образование устойчивой электронной конфигурации одного из своих собственных атомов. Развитием электронной теории кислот и оснований является концепция «жестких» и «мягких» кислот и оснований Пирсона (1963 г.). В предложенной теории в качестве основного процесса кислотно-основного равновесия рассматривается взаимодействие акцептора пары электронов А (кислоты) с донором пары электронов В (основанием) с образованием стабильного кислотно-основного комплекса АВ:
А+: В ↔ А–В.
Однако, в то время как Льюис считал самым важным при образовании комплекса появление ковалентной связи, Пирсон включил в рассмотрение и другие типы взаимодействия, в том числе и те, которые приводят частично или полностью к электростатической (ионной) связи. Таким образом, к кислотно-основным реакциям, например, относятся реакции образования комплексных катионов и анионов, а также формирование кристаллической решетки солей. Вопрос состоит в том, какие свойства кислоты А и основания В обеспечивают термодинамическую стабильность образования комплекса АВ. Теория предполагает, что в качественном отношении эта стабильность определяется так называемой жесткостью и мягкостью участников реакции.
Если, например, рассматривать комплексообразование с галогенидами, то для различных катионов будет наблюдаться различная закономерность устойчивости образующихся комплексов. Первые константы образования уменьшаются в следующей последовательности:

Таким же образом можно классифицировать не только комплексообразователи, но и лиганды. Отличие надо искать в свойствах их электронной структуры и реакционной способности.
Жесткие частицы обладают прочной малодеформируемой электронной структурой. Это могут быть атомы элементов с высокой электроотрицательностью (F, O, N) или катионы с большим зарядом. Напротив, мягкие частицы имеют подвижную деформируемую электронную структуру и высокую поляризуемость.
Жесткие кислоты. Электронная оболочка жестких кислот характеризуется высокой стабильностью относительно внешних электрических полей. Наиболее жесткой кислотой является протил, который из-за отсутствия электронной оболочки и чрезвычайно малого радиуса прочно связывается с активным центром молекулы основания. Следовательно, характеризуется наименьшим размером, во внешней сфере нет неподеленной пары электронов. Типичные представители жестких кислот имеют структуру инертного газа Li+, Be2+, Al3+… и относятся, в основном, к элементам главных подгрупп периодической системы. К последним близки по свойствам некоторые катионы переходных металлов с не полностью занятой d-оболочкой (Mn2+, Fe3+…).
Жесткие основания вследствие прочной и устойчивой электронной оболочки, а также соответствующего строения электронных орбиталей не имеют склонности к образованию ковалентных связей с катионом (F-, O2-). Рассматривая реакционную способность воды, как донора пары электронов. Можно отметить, что, например, при гидратации катионов, кислород молекулы вода как раз и является жестким центром. Анионы кислородсодержащих кислот, таких как ClO4-, SO42-, PO43-, CO32- также имеют малодеформируемую структуру.
В противоположность, мягкие кислоты – большие катионы с деформируемой электронной оболочкой (например, элементы главных подгрупп Cs+, Tl+) а также катионы переходных металлов, в электронной оболочке которых имеются неподеленные пары электронов. Способность к поляризуемости у них выше. Мягкость соединений увеличивается по мере уменьшения положительного заряда ионов.
Аналогично и мягкие основания (P3-, S2-, I-, Br-), способность к поляризуемости у которых высока.
Анализируя константы устойчивости комплексов, можно сделать вывод, что жесткие кислоты образуют наиболее прочные соединения с жесткими основаниями, а мягкие кислоты – с мягкими основаниями. Большое значение имеет и то, каким образом формируется соответствующее соединение, что определяет молекулярный контакт при образовании этого соединения:

Таким образом, можно провести классификацию комплексообразователей и лигандов (табл.1.2).
Таблица 1.2.
Распределение кислот и оснований по Пирсону.

Ln – лантаноиды.
R – органический радикал
Актиноиды – типичные жесткие кислоты, для них выполняется следующая зависимость: М4+ > M3+ > MO22+ > МO2+. Жесткие кислоты, взаимодействуя с жесткими основаниями, образуют соединения, прочность которых подчиняется величине ионного потенциала.
Приведенное высказывание, что жесткие кислоты предпочтительно ассоциируются с жесткими основаниями, а мягкие кислоты – с мягкими основаниями, не означает, что не могут быть получены соединения жесткой кислоты с мягким основанием и наоборот. Например, CH3- является мягким основанием, однако легко можно получить соединение типа Mg(CH3)2. Тем не менее это соединение термодинамически неустойчиво в отношении гидролиза, тогда как Hg(CH3)2 устойчиво к гидролизу. Теория жестких и мягких кислот и оснований оказалась полезной для предсказания наиболее стабильных продуктов реакций, для которых не имеется достаточно точных термодинамических характеристик.
Некоторые молекулы имеют как жесткие, так и мягкие центры. В диметилсульфоксиде

атом кислорода придает жесткие свойства всему соединению, а атом серы – мягкие свойства. Поэтому жесткие кислоты прочно связываются с атомом O, мягкие кислоты – с атомом S. Подобные свойства реализуются для многих органических соединений, которые используются в экстракционных системах.
С помощью теории жестких и мягких кислот и оснований можно предсказать продукты обменной реакции между солями
LiI + AgF ↔ LiF + AgI.
В результате реакции, протекающей в растворе или в твердой фазе, образуются более стабильные соединения между жесткой кислотой и жестким основанием LiF и мягкой кислотой и мягким основанием AgI.
Становится понятным, почему происходит стабилизация металлов с высокой степенью окисления (Th4+, UO22+) жесткими основаниями (F-, OH-, O2-) и наоборот.
Таким образом, все ионы металлов стремятся к образованию координационных соединений, вероятно так же и то, что все молекулы и ионы, имеющие по крайней мере одну свободную пару электронов, стремятся к взаимодействию с ионами металлов с образованием комплексов.
В зависимости от способности к комплексообразованию ионы металлов можно разделить на три группы.
1. Ионы металлов с электронной структурой инертного газа, т.е. щелочные, щелочно-земельные, лантаноиды и актиноиды. Все они образуют комплексы со связями электростатического характера. Ионы этих металлов взаимодействуют с анионами небольшого размера, в особенности F- и с лигандами, содержащими в качестве донорных атомов атомы кислорода. Имеют тенденцию образовывать в водных растворах акво-комплексы и не образуют комплексы с аммиаком, сульфидами и не осаждаются ими. Т.к. связи этих металлов носят прежде всего ионный характер, то устойчивость комплексов тем выше, чем больше электронная плотность на ионе металла (ионный потенциал).
2. Ионы переходных металлов с d10 или d8 электронной конфигурацией: Cu (I), Ag (I), Au (I), Hg (II), Pt (II), Pd (II). Легко деформирующиеся ионы этих металлов склонны к образованию ковалентных связей. Они образуют очень устойчивые комплексы, для образования которых, прежде всего, важна электроотрицательность лиганда. Связи тем прочнее, чем ниже электроотрицательность донорного атома лиганда. Устойчивы комплексы с лигандами, содержащими в качестве донорных атомов S (II), As (III), P (III). Наименее прочные комплексы образуют с F-.
3. Ионы переходных металлов с частично заполненными d-орбиталями. В зависимости от числа d-электронов свойства этих ионов в большей или меньшей степени напоминают свойства ионов предыдущих групп. Устойчивость комплексов ионов этой группы зависит от z и r и от стабилизации, обусловленной расщеплением d-орбиталей. Устойчивость комплексов с однотипными лигандами обычно возрастает с увеличением степени окисления иона металла. Гексацианоферрат (III) более устойчив, чем аналогичный по строению гексацианоферрат (II). Устойчивость комплексов с азот и кислород содержащими лигандами изменяется в ряду: Mn < Fe < Co < Ni < Cu > Zn. От Mn к Zn уменьшается ионный радиус и от Fe к Cu повышается энергия стабилизации кристаллического поля. В случае Zn d-орбитали полностью заполнены, так что при образовании комплексов они не стабилизируются. Именно по этому порядок последовательности изменяется после Cu.
Если реакцию комплексообразования рассматривать как реакцию кислот и оснований Льюиса, то по Пирсону ионы металлов 1 группы представляют собой жесткие кислоты, характеризующиеся низкой поляризуемостью и образующие устойчивые комплексные соединения с жесткими основаниями. Ионы второй группы – мягкие кислоты, образующие устойчивые комплексные соединения с мягкими основаниями. Свойства ионов металлов третьей группы занимают промежуточное положение между свойствами ионов металлов 1 и 2 групп.
Устойчивость комплексов, прежде всего, определяется природой донорного атома лиганда. В роли донорных атомов лигандов могут выступать следующие элементы, расположенные в последовательности повышения электроотрицательности:
As, P < C, Se, S, I < Br < N, Cl < O Ионы металлов 1 группы (жесткие кислоты по Пирсону) предпочтительно взаимодействуют с донорными атомами правой части ряда, а ионы металла 2 группы (мягкие кислоты по Пирсону) – с донорными атомами левой части ряда. Наиболее устойчивые комплексные соединения образуются с хелатообразующими лигандами. Катионы металлов имеют несколько вакантных орбиталей для образования связи с лигандами, например, Zn имеет 4 таких орбитали. Однако, такие лиганды, как хлорид, бромид, цианид, аммиак могут занимать только одно координационное место. Каждый и этих лигандов отдает одну неподеленную пару электронов центральному атому. Такие лиганды называются монодентатными (dentatus – зубчатый). Следовательно, количество лигандов будет соответствовать координационному числу. Существуют лиганды, которые называются полидентатными, которые могут предоставить две или более электронных пар центральному атому для образования комплекса. Комплекс, состоящий из центрального атома и одного или нескольких полидентатных лигандов, называется хелатным соединением или хелатом. В некотором смысле две или более электродонорных групп каждого лиганда действуют как клешни, захватывающие центральный атом при образовании связи с ним. Таким образом, полифункциональные молекулы или ионы могут присоединяться к центральному атому металла более, чем одним атомом группы. Термин «хелат» первоначально использовали для обозначения бидентатного характера группы, но впоследствии он был перенесен на все полидентатаные лиганды, и стал применяться, как для названия хелатной группы, так и для комплекса в целом. Примеры лигандов различной дентатности. 1. Монодентатные лиганды: H2O, NH3, Cl-, CN-… 2. Бидентатные лиганды: SO42-, CO32-, C2O42-, NH2 – C2H4 – NH2 (этилендиамин). 3. Тридентатные лиганды: диацетоамин и далее вплоть до октадентатных. Для бидентатных лигандов типа SO42-, CO32-, C2O42- возможно образование равноценных связей с образованием циклов. Причем связи в этом случае пространственно и энергетически симметричны. Другой большой класс соединений в которых образуются в частности четырехчленные циклы составляют мостиковые комплексы. В этом случае донорный атом связывает два иона металла и его называют мостиковой группой: где X ≡ OH-, NH2-, Cl-. Среди факторов, которые влияют на устойчивость комплексов, необходимо отметить следующие: 1. дентатность лиганда: комплексы с полидентатными лигандами более устойчивы, чем с монодентатными; 2. размер хелатного цикла: наибольшей устойчивостью обладают пяти– и шестичленные циклы; 3. пространственные факторы; 4. резонансные эффекты. Количественную оценку образующихся комплексных соединений можно сделать сравнивая их константы устойчивости. Рассмотрим устойчивость комплексных соединений меди с лигандами различной дентатности, включающие в состав аминные группы: Увеличение устойчивости комплекса с увеличением дентатности лиганда называют хелатным эффектом ХЭ:


Рассмотрим образование комплексов меди с аммиаком и этилендиамином (NH2C2H4NH2, введем обозначение en):

[Cu(H2O)4]2+ + 4NH3 ↔ [Cu(NH3)4]2+ + 4H2O(1)
[Cu(H2O)4]2+ + 2en ↔ [Cu(en)2]2+ + 4H2O(2)
Устойчивость комплексного соединения симбатна количеству образующихся циклов. Играет роль энергетика и пространственная организация связи.
Энергия Гиббса

Теплота образования ΔH практически одинакова при образовании связи, как для аммиака, так и для этилендиамина, т.к. в обоих случаях образуется связь через азот. Поэтому энтальпийная составляющая отличается незначительно. Следовательно, дело в энтропийном факторе, который характеризуется изменением числа степеней свободы системы:

Таким образом, во второй реакции наблюдается увеличение числа частиц в системе, рост энтропии, что приводит к росту устойчивости данного соединения и выражается в конечном счете хелатным эффектом.
Более того, существует выигрыш в кинетике процесса. Рассмотрим две реакции с участием в качестве лигандов аммиака и этилендиамина.
M + 2NH3 ↔ M(NH3)2(1)
M + en ↔ M(en)(2)
Если рассматривать механизм, учитывая ступенчатое комплексообразование, то образование соединений по обеим реакциям происходит в две стадии:

Таким образом, одним из преимуществ применения хелатных соединений является высокая кинетика по сравнению с образованием комплексных соединений с монодентатными лигандами.
Наиболее часто и широко применяются хелатные соединения, сочетающие функциональные группы карбоновых кислот с аминогруппами, – комплексоны. Наиболее известен из них комплексон III (трилон Б), представляющий собой двунатриевую соль этилендиаминтетрауксусной кислоты:

