
Чур, Авось и Золотой телец – три источника и три составные части наших реформ
Пеняя на детерминизм Маркса, Н. Нарочницкая, по-моему, не чуждается детерминизма религиозного. Порядок передачи власти, изложенный Святителем Филаретом, основанный на праве рождения, вступает в противоречие с тем, что мы наблюдаем в жизни: изменения в отношениях общества и власти, вытекающие из одних и тех же законов развития общества от примитивного к развитому, сходные технологии и общие источники энергии… Разве они не свидетельствуют о детерминизме экономических законов? Сейчас, «развенчав» детерминизм Маркса, нам навязывают некоторые «законы» (например, «монетаризм»), полагая, что в результате хаотичных манипуляций денежной массой, можно добиться стабильного развития. И уже 30 лет мы пожинаем гнилые плоды этого эксперимента на стране. Мне, человеку, никогда не состоявшему ни в Коммунистической, ни в какой-либо иной партии, представляется куда более убедительным утверждение Ф. Энгельса в той же статье (К. Маркс. «К критике политической экономии»), что «экономисты являются не чем иным, как толкователями и апологетами этих (т.е. естественных) законов». Святитель Филарет упустил один изъян изложенного им порядка передачи власти от отца к сыну – отец может оказаться неспособным передать сыну ни образование, ни ум, ни способность управлять. Скидывая самодержцев с престола и претендентов на престол у нас и на Западе на протяжении долгой истории, разве не исполняли волю Создателя? Вместе с тем реформы, которые назревали, но не всегда вовремя проводились – разве не вызревали в недрах экономических законов развития? Разве события в истории возникают хаотично и никак друг с другом не связаны? Из вышеперечисленных иерархий (раб-рабовладелец и т.д.) все они исторически менялись, но среди них нет ни одной справедливой. И если все равны перед Богом, разве эти иерархии могут быть даны Богом? В противном случае эгалитаризм по версии христианства получается какой-то ущербный: все равны, а на верхушке иерархии – равнее. А если все они от Бога, тогда всякая перестановка фигур во власти должна быть признана богоданной, независимо от веры (поскольку на земле много конфессий). Идеализировать раз и навсегда установленную иерархию, полагаясь на то, что Богом установлено одним быть сюзереном, обладающим властью и деньгами, другим – их подданными (без признания того факта, что и церковь не чуралась денежных знаков) – это значит впадать в ту же ловушку: «богоданная иерархия» становится не противоположностью, а утверждением того же языческого права сильного «что дозволено Юпитеру – не дозволено быку». В Предисловии к «Капиталу» К. Маркс писал: «Высокая англиканская церковь скорее простит нападки на 38 из 39 статей символа веры, чем на 1/39 её денежного дохода. В наши дни сам атеизм представляет собой culpa levis (небольшой грех) по сравнению с критикой традиционных отношений собственности». Т.е. церковь тоже под влиянием развития товарно-денежных отношений от репрессий к инакомыслящим (в виде инквизиции на Западе и гонений на староверов в России) менялась, приспосабливаясь к «отношениям собственности»: папство ничуть не меньше чем большевизм на заре становления его власти, порывалось сделать церковь вселенской (при этом призрак её власти часто приобретал вполне реальные черты, но никого не пугал), а церковь в России была крупнейшим землевладельцем с крепостными крестьянами. Считать ли это богоданной иерархией? Ю. Архипов, делая анализ романа В. Личутина «Раскол» в статье «О тайнах русской души и истории» (Литературная газета, 11–17 июня 2008 г., № 24 (6176) заставил нас задуматься: «Без раскола, надо полагать, не было бы и последующего ожесточения в сословном размежевании, острой борьбы одной части «мира» с другой. Общая диаграмма этой борьбы очевидна: интеллигенция с царём против народа – при Петре, царь с народом против интеллигенции – при Николае I, интеллигенция с народом против царя – при Николае II; всё более отчуждавшаяся от народа и отсортировывавшая интеллигенцию власть в ХХ веке с её «аппаратом», неудержимо разбухающим на народной кровушке и время от времени отравляющимся «гнилой интеллигенцией»… После раскола единая система оценок стала рассыпаться, уступая место пресловутой парочке – плюрализму, когда одно и то же деяние – хоть бы и покушение на самоё жизнь государя – стало одним представляться как святотатство, а другим, как духовный подвиг». Раскол церкви, а не рационализм Декарта подтолкнул к возникновению сект в стране. Отсюда – не этот ли раскол, который «учинила Киевская Русь», допустив на Украине троеперстие, через 337 лет привёл к развалу всей империи? – задаёт вопрос автор статьи. Очевидец событий Кровавого воскресенья 9 января 1905 г. Максимилиан Волошин написал в воспоминаниях («Все даты бытия». 2004 г. с.60): «Правительство отринуло православие, потому что оно дало приказ стрелять по иконам, по религиозному шествию. Правительство объявило себя враждебным народу, потому что отдало приказ стрелять в народ, который искал защиты у царя». Пока учёные будут путаться в причинах всех бед России и находить их исключительно в «призраке Коммунизма», не замечая других причин, не случится выхода страны на истинно прогрессивный путь развития – вся энергия будет тонуть в пустых разговорах. История свидетельствует: корпоративная солидарность «избранных» характерна для любого общества; так было до Декарта, такая же солидарность наблюдается и сегодня. Связывать это с Просвещением и последующим революционным движением – это, по крайней мере, недальновидно. Именно в те моменты истории, когда избранные в соответствии с «богоданной иерархией» начинают мыслить в духе декартовской курицы, когда они начинают советовать тем, кто оказался на нижней ступеньке иерархии, «питаться макарошками», чтобы стимулировать производительность труда, от которой якобы зависит их заработная плата (при этом рост богатства «новых богоизбранных» растёт на порядок более высокими темпами, чем вся экономика в целом, независимо от производительности), вот тогда и начинает внезапно меняться картина мира. Связывать это с рационализмом Декарта или эгалитаризмом социалистов – марксистов вовсе не пристало, учитывая, что Ф. Энгельс в статье «К. Маркс. «К критике политической экономии» написал в 1859 г.: «Новое мировоззрение неизбежно наталкивается…на сопротивление не только со стороны представителей буржуазии, но и со стороны массы французских социалистов, которые желают перевернуть мир при помощи магической формулы: liberte, egalite, fraternite». Как видим, марксизм ещё на заре создания теории отмежевался от тех, кто намеревался «перевернуть мир». А в «Манифесте Коммунистической партии» сказано, что именно «буржуазия сыграла в истории чрезвычайно революционную роль», непроизвольно следуя детерминизму экономических законов. Таким образом, подытоживая вступительную часть статьи, хочу привести ещё одну цитату К. Маркса из Предисловия к «Капиталу»: «Общество… не может ни перескочить через естественные фазы развития, ни отменить последние декретами. Но оно может сократить и смягчить муки родов». А в работе «К критике политической экономии» прямо отмечает: «Ни одна общественная формация не погибнет раньше, чем разовьются все производительные силы, для которых она даёт достаточно простора». Итак, следуя теории Маркса, можно ли утверждать, что СССР мог в обозримые сроки построить коммунизм? Очевидно, нет. Но вот ускорить движение к нему, черты которого ещё неясны, ещё как призрак, и «смягчить муки родов» вполне мог. Мы знаем, что и при Советах не всегда наделялись властью люди толковые и образованные. Были и не наделённые от природы трепетным отношением к истории, культуре и даже человеческим жизням. Многие из них понесли наказание. Но не марксизм был их движущей силой, а личные душевные, а иногда и корыстные, качества. В итоге не они обеспечили прорыв в экономике. Помимо них были и не подлые люди, которые все силы отдавали строительству нового общества. Их было большинство, и страна стала мощной. Может быть, построенный в муках социализм и был тем путём преодоления конфликтов и противоречий, которые даже в условиях изолированности обеспечили высокие темпы развития. Представим, что было бы, если бы это был открытый соревновательный процесс. Очевидно, идеология шапкозакидательства в СССР в отдельные моменты истории, сменившаяся политикой преклонения перед Западом вплоть до лизоблюдства (не марксистская идеология проиграла, – её уже давно сдали в архив, а те самые «избранные», хотя и атеисты), с одной стороны, и опасения, что высокие темпы строительства экономики с уравненными социальными правами (отсюда социализм) в отдельно взятой стране может и в самом деле победить капитал, с другой стороны, привели к измене курсу на развитие страны «новых избранных» и нетрадиционным способам «конкуренции» со стороны Запада. Если к таким способам прибегли (подкупу части «элит» деньгами и «мифическими» перспективами процветания) – значит, почувствовали, что могут проиграть в честном соревновании? Как водится, новые чиновники тут же объявили, что предыдущая власть была антигуманной. Критикуя власть большевиков, часто указывают на практику разрушения храмов. В этой связи Ю. Архипов отмечает: «Даже атеисты-большевики по-своему ощущали некую завистливую тоску по отношению к этому (прим.: до раскола церкви) величавому прошлому, к золотому веку Руси. И стремились превзойти его «громадьём» своих претензий и планов. Неслучайно ведь они с такой лёгкостью крушили казённые, с их точки зрения, храмы XVIII–XIX веков синодального периода в истории Церкви (Прим.: но больше всего храмов было разрушено в век Екатерины II), – и восстанавливали из руин разрушенные нацистскими варварами соборы Новгорода, Киева, Чернигова, Полоцка. «Золотой век» дораскольной Руси и для них был ценностью несомненной». Значит, в недрах атеизма власти присутствовала тяга возвращения и к религиозным корням. Маркс и Энгельс называют Политическую экономию буржуазной наукой, т.е. характерной только для буржуазного общества. И это понятно: в основе его лежит капитал. Капитал – это, прежде всего, все средства производства. А поскольку без средств производства (капитала) невозможно существование общества, следовательно, только когда государственное устройство диктует экономические законы и регулирует распределение доходов не по заслугам, а согласно иерархии, экономика становится политической. Диктату законов, обеспечивающих «элитам» безбедное существование, детерминизм марксизма противопоставляет всего лишь естественный путь экономического развития, при нарушении которого в ход идут протесты и требования низших слоёв общества о справедливой оценке вклада их труда. Нарушается этот естественный путь, с одной стороны, из-за нежелания «избранных» справедливо оценивать вклад свой и своих подданных, и тогда происходит революция, с другой стороны, когда происходит смена «элит», между ними возникают трения, которые нередко приводят не только к жёстким противостояниям, но и к переворотам. Маркс и Энгельс ошиблись в одном: они предполагали, что «Англия является единственной страной, где неизбежная социальная революция может быть осуществлена всецело мирными и легальными средствами… Вряд ли можно ожидать чтобы господствующие классы Англии подчинились этой мирной и легальной революции без «бунта в защиту рабства» (Ф Энгельс. «Предисловие к английскому изданию «Капитала»). Как видим, Маркс и Энгельс полагали, что гражданскую войну может развязать только господствующий класс, потерявший власть, «в защиту рабства». И это естественно: какой смысл партии или классу, пришедшему к власти, развязывать гражданскую войну?
Таким образом, детерминизм марксизма является куда менее революционной теорией, чем те теории, которые стали инструментом – фомкой для развала советской экономики и государства вообще. Вот тут уж точно пошли против естественного хода экономического развития. Но если капитал, механизм которого Маркс высветил как рентгеном в своём труде, показал и то, что вместе с капиталом неизбежно растёт мощь рабочего класса – «могильщика капитализма», роль которого должна стать главной лишь в отдалённом будущем, то возникает вопрос: чего же так боятся все в марксизме? Призрака, который уже скоро 200 лет бродит по Европе, нигде не проявил себя, но до смерти напугал своих оппонентов. Одно дело делить власть между своими (как на Западе), другое дело уступить её на выборах рабочим массам, перевернув пирамиду иерархии.
Впрочем, сейчас речь не об этом. Рабочее движение за справедливые налоги, за достойную заработную плату начались ещё до написания Марксом «Капитала». Таким образом, он лишь констатировал те явления, которые разворачивались на протяжении всего XIX века. Не вина Маркса, что чувство социальной несправедливости нарастало вместе с ростом численности промышленной буржуазии и рабочего класса, его обслуживающего. Раз и навсегда «богоданная иерархия» без смешения слоёв не может устраивать всё общество потому, что общество меняется, а власть, как правило, страдает дуализмом принятых мер в борьбе с нищетой: изъявляет желания много сделать для населения (часто на словах), кардинально ничего не изменив.
Наталия Алексеевна, справедливо обличая геополитическую доктрину Монро, наверно не задумывается, что инструментарий геополитики может быть вполне применим в любой стране, где «избранные» согласно «богоданной иерархии» в соответствии с логикой «божественного предопределения» вслед за К. Коулмэном, которого цитирует Н. Нарочницкая, могут воскликнуть: «Мы управляем вами, так как это в ваших же лучших интересах.., а те, кто отказывается это понимать, заблуждаются или представляют собой зло» (с. 82). Так и хочется спросить: разве не по этому принципу народом всегда управляли, почему «богоданная иерархия» (т.е. власть по рождению и обязательно освящённая Церковью) более эффективна? Почему нигде речь не идёт о высококлассных специалистах? Впрочем, справедливости ради, надо сказать, что у нас каждый, кто назначен на власть, в тот же миг (ещё до того как себя проявил) – уже высококлассный специалист. Такие скороспелые оценки всегда настораживают – значит, всё останется как прежде! Вот сейчас сменилось Правительство. Всех оценили, как высококлассных специалистов. А промышленный блок (рабочие места в промышленности не создавались и не сохранялись) остался прежним. И это – признак того, что никаких решительных перемен не намечается. Ключ к разгадке экономического процветания не в социальном строе (и при капитализме рост экономики запрограммирован благодаря пресловутой теории детерминизма и при плановой экономике, как показала практика, темпы впечатляют), а в дееспособности власти. Итак, к божественному происхождению апеллируют и защитники богоданной власти, и сторонники экспансионистской политики, например, доктрины Монро. На примере России они сошлись, в частности, в борьбе с призраком коммунизма: не устраивали темпы роста экономики – были слишком высокие. С призраком, потому что до коммунизма было ещё ой как далеко. И, думается мне, новая «богоданная власть» хорошо знала, кто является «могильщиком капитализма» – пролетариат. Поэтому в России сразу стали банкротить промышленные предприятия. На эту тему я написал уже немало статей и в прошлом году собрал их в один сборник. Почитать и скачать можно по ссылке: https://www.litres.ru/nikolay-petrov-21328344/reformy-za-chey-schet-banket/. Добавить общее впечатление можно только последней доступной статистикой по народонаселению России.
Следует отметить, что время идёт, а в учёте ресурсов царит всё тот же хаос. Вот, например, открываем официальный сайт Росстата (http://old.gks.ru/wps/wcm/connect/ rosstat_ main/rosstat/ru/statistics/publications/catalog/doc_1140096034906). И что видим?

Что во всех регионах сельское население сокращается, а растёт только в Москве: на 1 января 2018 г. было 164 тысячи человек, в среднем за 2018 г. – 173300, а на 1 января 2019 г. – уже 182748 человек. То ли люди проживают в Москве, а зарегистрированы в селе, то ли наоборот – как понять эту статистику? Так исчезает сельское население. Кто будет заниматься сельским хозяйством – китайцы и вьетнамцы? Если копнуть в историю, мы можем увидеть, что для российских крестьян было больше характерно общинное земледелие. Сайт http://istmat.info/node/24523 сообщает, что на общины приходилось в среднем в 1877–1878 годах 78% земельных наделов. Колхозы и совхозы в этом смысле продолжали традиции. Однако с 90-х годов по сей день (уже 30 лет) у нас насаждается форма фермерского хозяйства по американскому образцу. Но ведь для создания своего хозяйства нужен первоначальный капитал. А его, если у кого он и был, «съели» реформы. Их точно также не было в 20-е годы прошлого века. Поэтому идея фермерства для того, чтобы прокормить страну, была не самой подходящей. Об этом свидетельствует исторический опыт и уровень рентабельности фермерских хозяйств по зерновым, представленный в Презентации Минсельхоза РФ за 2017 г. – 4%. А при государственной поддержке – 15%. Отсюда и медленный рост их доли в структуре продукции:

Это – официальная статистика Росстата. Предположим, фермерские хозяйства все на учёте. Но что это за сельскохозяйственные организации, доля которых растёт? Неужели это сохранившиеся колхозы, выступающие уже в другой форме собственности? А если это колхозные и совхозные земли, которые стали частными и обрабатываются теми же людьми – это что, новая форма хозяйствования? Просто в колхозе (или совхозе) стало (условно) не 100 колхозников, а 10 или 20 собственников. Остальные где? Ушли в батраки? Или подались в город, обеспечив рост сельского населения в Москве? Значит, произошло лишь перераспределение доходов. Вместе с тем, как видим, именно за этими хозяйствами сохраняется преимущество. А рентабельность этих, в прошлом колхозов и совхозов – 15% даже без государственной поддержки. И совсем непонятно, как посчитали долю хозяйств населения. Против 1990 г. она заметно выросла, при том что сельское население очень заметно сократилось. Министерство сельского хозяйства в той же презентации показало, что 52,2 млн. га земель недоиспользуется. Вот фрагмент:

Здесь же в презентации объяснение:

Итак, мы видим, что именно коллективные крупные с/хозяйства эффективны в России. Их разваливали через приватизацию исключительно в пику Советской власти, поэтому пустуют земли.
Что касается промышленности и квалифицированных рабочих: реформы с 90-х годов во главу угла поставили борьбу с коммунистической идеологией, а, следовательно, и с «могильщиком капитализма» – пролетариатом. Чтобы не дать ему расти (разумеется, только в России), тем более «соединяться» по примеру капиталистов в Давосе, задача депролетаризации страны решалась в буквальном смысле – ликвидацией промышленности.
В статье «Кому государство, а кому «пирог с начинкой» (ссылку на сборник см. выше) я посчитал коэффициент сокращения численности рабочих, который случайно совпал с коэффициентом сокращения станков – 3,62 (РСФСР 1985г./2014г.). Прошло время и вот страница из справочника «Россия в цифрах. 2019», с.92 (2018 г. в тыс. человек):


Мы видим, что в промышленности занято 10151 тыс. человек (с.89). В 2014 г. было 12,4 млн. человек. В обрабатывающей промышленности в 2014 г. значилось 9,9 млн. занятых, а сейчас максимум –8374 тыс. человек против более чем 46 млн. человек до реформ. Но и эта цифра представляется сомнительной.
Какие могут быть перемены к лучшему в стране, где всё развивается не по спирали вверх, а по кругу: обращаешься в Жилинспекцию, призванную защищать интересы населения, по поводу расчётов ЖКХ, получаешь ответ: всё правильно, всё по закону; обращаешься в мэрию, ответ приходит из Жилинспекции – всё по закону; обращаешься в районную, потом городскую прокуратуру о нарушении законов, ответ приходит из Жилинспекции – всё по закону; пишешь Уполномоченному по правам человека, обращая внимание на принятые законы, нарушающие права человека, ответ приходит из Жилинспекции… Кроме того, задумаемся над следующими цифрами, которые приведены на сайте https://upravlenie.guu.ru/jour/article/viewFile/197/174 в статье к.э.н., сотрудника Института США и Канады Н. Е. Петровской: в США 350 тысяч предприятий обрабатывающей промышленности (из них 70 тысяч – крупные) от мелких до градообразующих, на них занято 12822 тыс. человек, из которых около 8 млн. человек – производственные рабочие. В России нет такого количества предприятий в обрабатывающей промышленности. Если насчитаем 3 тысячи – это хорошо. При этом нам сообщают, что в нашей обрабатывающей отрасли занято около 8,3 млн. квалифицированных рабочих. Для большой страны, как наша, – это мизер, а для выжившей куцей промышленности – это много. Так куда исчез пролетариат? Вымер или выехал на заработки? Вряд ли ждут где-то наших рабочих, хоть и квалифицированных. Между тем Россия стала пристанищем рабочей силы многих независимых от союзнических отношений государств. Они заменили, где могли, наших, безвременно исчезнувших.
Сайт https://emigrating.ru/statistika-emigratsii-iz-rossii/ сообщает, что из России меньше выезжало, чем мигрировало в Россию. В итоге мы имеем постоянно проживающих иностранных граждан (тыс. человек): 2018 г. – 16488,90; 2019 г. – 14940,45. Это немного. Может быть, это только в Москве? Сайт не случайно отмечает, что по данным ФСБ в реальности эта цифра много больше. Характерна ремарка сайта относительно точности статистики:

Итак: 1. Данные по миграционной статистике из-за нелегальных мигрантов могут быть в несколько раз выше заявленных официально. 2. Не стоит забывать (!), что именно эти приезжие обеспечивают миграционный прирост населения России.
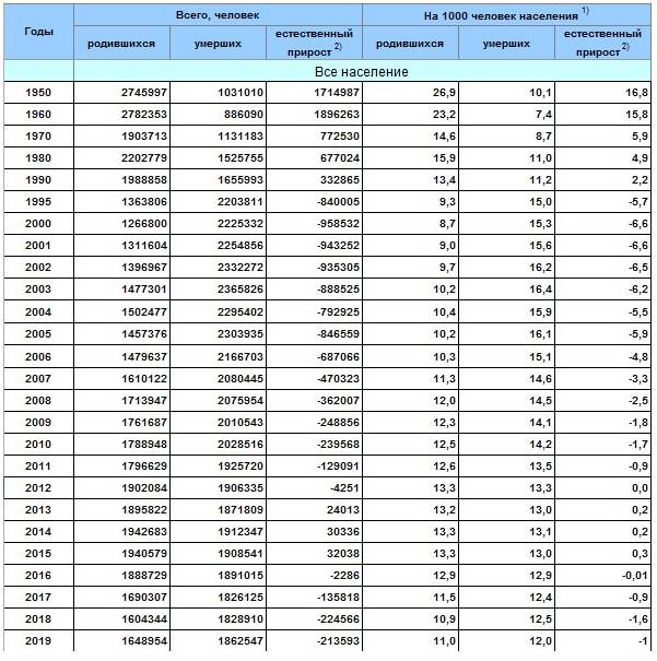
Остаётся выяснить, что для нас важнее – рабочие места, которые отбирают у россиян (в Москве москвичу устроиться на работу не так просто, знаю по себе, по близким, знакомым и помню крик души телезрителя по программе ОТР ТВ), или миграционный прирост населения, который объективно не нужен? Если вы знаете Управляющую компанию ЖКХ или компанию, занимающуюся капитальным ремонтом домов, в Москве, где были бы заняты в большинстве своём москвичи или хотя бы россияне, – вам повезло. А чем объяснить необходимость «миграционного прироста»? Нас всё время пугают статистикой: сокращается численность населения, нет отчислений в Пенсионный фонд, официально – стареет население якобы по причине низкой рождаемости из-за провала в 90-е и увеличения продолжительности жизни, роста числа пенсионеров. В результате мы якобы имеем нехватку рабочих рук именно в работоспособном возрасте. Так ли это? Смотрим статистику рождаемости и смертности на сайте Росстат и https://rosinfostat.ru/rozhdaemost/:

Какие можно сделать выводы?
1. При большевиках рождаемость была существенно выше, а смертность ниже. С 90-х годов статистика изменилась ровно наоборот. Неужели от хорошей жизни?
2. Из таблицы видим, что только в 1995 г. разница между родившимися и умершими составила 840 тысяч человек, это больше, чем в среднем в нулевые. Можно предположить, что и число умерших в нулевые не меньше. Только в работоспособном возрасте (т.е. не успевших выйти на пенсию), по оценке сайта http://www.intelros.ru/readroom/alternativi/alternativy-3–2011/11452-demograficheskij-krizis-v-postsovetskoj-rossii-poiski-vyxoda.html – не менее 5,55 млн. человек. Кто остальные – пенсионеры?
3. За период с 2000 по 2019 умерло 41073133 человека – почти треть населения. Разве можно это объяснить ямой в 90-е годы? Это – признаки вымирания населения от «хорошей» жизни. В 1950 не самом сытном году умерло почти в 2 раза меньше людей, чем в 2019 г. Вспоминается, что в 90-е как раз и говорили, что в России 40 млн. человек – лишние люди. Вот их не стало. И прежде всего тех, кого марксизм именовал «могильщиком капитализма». А стали оставшиеся жить лучше? Очевидно, что нет. Таким образом, дело не в провале рождаемости в 90-е годы, не в лишних людях, а в том, что неестественные способы управления экономикой, заточенные только на то, чтобы быть потребителем иностранных промышленных товаров, не способствуют сохранению населения. Вслушайтесь в Послание Президента: материнский капитал, выплаты малоимущим, пенсии, субсидии… Значит, значительная часть населения живёт за счёт пособий государства из-за низких доходов и безработицы из средств, получаемых от сбыта энергосырья. При этом мало что делается для сохранения и создания рабочих мест и повышения реальных заработков. Это же очевидно, что рабочих рук в стране пока хватает. Разобьём население по возрастным группам:

