
Что есть Я. Книга 1. Часть 1. Фундаментальный масштаб

Ра
Что есть Я. Книга 1. Часть 1. Фундаментальный масштаб
От автора
Книга является первой из серии «Что есть Я», посвященной исследованию разных аспектов существования человека. В первой книге будут рассмотрены фундаментальные законы строения Вселенной, как базовой части закономерностей существования моего Я.
В книге будет исследовано тонкое строение и свойства единого поля, предложена модель формирования вещества, описана физическая природа фундаментальных взаимодействий, описаны новые физические величины, закономерности, константы, предложена концептуальная модель строения Вселенной.
Поскольку объем исследования, обозначенный для первой книги, существенен, планируется поэтапное изложение материалов. Предлагаемая вниманию читателя первая часть, является вступлением к серии книг. Первая часть содержит краткий анализ объективных законов эволюции познания человека, может являться иллюстрацией и обоснованием дальнейшего исследования.
Закономерности, которые будут рассматриваться в книгах, относятся к каждому человеку, поэтому целевыми читателем серии книг являются все жители Земли.
Автор – обычный, средний человек планеты Земля, не публиковавший ранее материалы, которые следовало бы защищать в рамках обозначенной серии книг, поэтому имя его не имеет значения. Проводимое исследование касается автора в равной мере, как и любого другого жителя Земли.
Поскольку автор – носитель гаплогруппы R1A, он для краткости обозначен наименованием Ра.
Часть 1. Вступление
1 На всей земле был один язык и одно наречие. 6 И сказал Господь: вот, один народ, и один у всех язык; и вот что начали они делать, и не отстанут они от того, что задумали делать. 7 сойдем же и смешаем там язык их, так чтобы один не понимал речи другого. 8 И рассеял их Господь оттуда по всей земле; и они перестали строить город.
Бытие, глава 11.
Я читаю заголовок, «что есть Я». Что во мне читает этот заголовок, задает вопросы? Какое место во мне отвечает за мою самоидентификацию?
Зачем, я пришел в этот мир, с какой целью, есть ли глобальный замысел моего появления в этом мире, надлежит ли мне следовать этому замыслу, или мое появление – простая случайность и я свободен в выборе своих действий? Какие законы управляют моим развитием, и могу ли я осуществлять свою деятельность «наилучшим образом»?
Вопросы, связанные с познание окружающего меня мира, и моего места в нем, постоянно возникают в моей голове. Многие миллиарды людей до меня задавали себе подобные вопросы и формулировали собственные ответы. Стремление к познанию окружающего мира является одной из основных врожденных потребностей каждого человека.
В то же время, процесс познания требует временных ресурсов, количество которых для меня, как для любого человека, с каждой прожитой минутой сокращается. Насколько важен для меня лично процесс познания, имеет ли смысл тратить столь ограниченное время, отпущенное мне в моей жизни, на познание вмещающего меня мира, познание себя, и своего места в этом большом мире?
Что есть познание, какие механизмы лежат в основе моего стремления к познанию, как мне осуществлять познание наиболее эффективно? Перед началом продолжительной системной работы, мне следует быть честным перед собой, выяснить, насколько важно для меня познание себя, следует понять основные законы процесса познания, выработать эффективную методику познания.
Возможность познания
Возможность познания окружающего мира, основано на том, что существует субъект познания, обособленный от внешнего мира. Обособленность субъекта от вмещающего его мира, позволяет ему выступать в роли стороннего наблюдателя. При этом наблюдатель, независимо от сложности организации его систем восприятия, осознает свою обособленность от внешнего мира.
Способность наблюдателя осознавать свою обособленность от внешнего, по отношению к нему мира, возможно назвать термином «Осознание». Каждый наблюдатель обладает индивидуальным, независимым от других Осознанием. Поэтому каждый наблюдатель познает окружающий мир самостоятельно, обретая субъективный опыт.
В современной науке, способность системы обретать субъективный опыт относится к «трудным проблемам сознания», и не имеет строгого научного объяснения. Самым удобным и доступным объектом, для исследования закономерностей процесса субъективного познания для меня лично, являюсь я сам.
Если я являюсь Наблюдателем, обособленным от внешнего мира субъектом, у меня должны быть системы, которые позволяют мне наблюдать вмещающий меня мир. Такие системы на протяжении земной жизни предоставляет мне мое тело. Следовательно, сегодня мое субъективное я ассоциировано с моим телом.
В то же время, до моего рождения мое тело, мои системы, в том числе, мозг и его кора, были совершенно иными. Даже на самых ранних этапах развития плода, когда еще не было сформированных систем тела, какая-то часть развивающегося организма (который впоследствии стал мною сегодняшним), была обособлена от внешнего мира и боролась за свое существование. После смерти, мое тело станет частью окружающей меня сегодня среды, однако мне хочется верить, что какая-то часть меня сохранит обособленность от вмещающего мира.
У меня нет никакой информации, о свойствах моего я до рождения, а так же после моей смерти. Сегодня я могу изучать часть моего я, ассоциируемую с моим телом. В этой связи можно уточнить, что осознание моей обособленности от внешнего мира, которое я реализую посредством систем тела, возможно назвать ранее употреблявшимся термином «Я». «Осознание» следует рассматривать, как более широкий термин, чем «Я».
Познание посредством систем тела
Мое тело обособлено от внешней среды, свойства тела, отличаются от свойств среды. Способность восприятия внешнего мира возникает, вследствие силового воздействия среды на мое тело, обусловленного градиентом свойств.
Внешняя среда стремится выровнять градиент свойств с внутренней средой тела, потому все живые существа смертны. Для продолжения жизни мне следует сохранять постоянство моих свойств в определенных пределах. Для поддержания постоянства свойств, моему телу необходимы:
– наличие эталонных, рефренсных диапазонов параметров внутренней среды. Эти эталоны формируется генетическим аппаратом, в ходе развития моего тела;
– набор сенсоров, регистрирующих текущее состояние ключевых параметров внутренней среды моего организма. За это отвечают интерорецепторы, расположенные во внутренних органах моего тела;
– набор сенсоров, регистрирующих состояние вмещающей тело среды – экстерорецепторы;
– системы передачи сигналов о состоянии внешней и внутренней среды от рецепторов к центрам анализа информации;
– центры анализа сигналов, в том числе – для их сравнения с набором эталонных, рефренсных диапазонов, установленных для сигналов соответствующей модальности.
Результаты сравнения возбуждают чувственные нейронные центры, формирующие ощущения и чувства. Все перечисленные системы, включая центры анализа сигналов, предусмотрены генетическим аппаратом, хорошо изучены.
В случае выхода диапазона интенсивностей сигналов сверх рефренсных диапазонов, возникает потребность, заключающаяся в необходимости возврата параметров афферентных сигналов в эталонный диапазон. Происходит возбуждение специализированных отделов мозга, отвечающих за выработку неприятного чувственного ощущения, а так же неприятной эмоции. Неприятные эмоции возбуждают двигательные центры, запускающие двигательные программы ответа, врожденные или приобретенные.
Если в результате двигательного ответа потребность будет удовлетворена, сигналы от рецепторов уменьшат величину расхождения с эталонным диапазоном. При уменьшении величины расхождения, происходит активизация чувственных центров, вызывающих чувственное ощущение удовольствия.
В случае удачного опыта удовлетворения потребности, возбуждаются нервные центры, выделяющие химические вещества, способствующие закреплению нейронов, а так же связей между ними, участвующих в формировании удачного двигательного ответа. Таким образом, формируется новая приобретенная программа (рефлекс). Эти химические вещества обеспечивают положительное чувственное подкрепление удачного опыта, вызывают чувство удовольствия высокой интенсивности.
Нейронные центры, участвующие в формировании новой программы, рефлекса, образуют связи, в том числе, с чувственными центрами, ответственными за формирование ощущения удовольствия. В результате, приятное ощущение будет в дальнейшем формироваться всегда, когда я увижу, или представлю себе объект, свойство, или действие, связанные с предшествующим удачным опытом удовлетворения потребности.
В случае неудачного опыта, я буду получать отрицательное чувственное подкрепление. Связи между нейронами, образованные в ходе неудачного опыта, разрушаются, закрепляются программы избегания неудачного опыта. Вся моя жизнь, как и жизнь любого живого существа, управляется стремлением получить положительное подкрепление, и избежать отрицательного чувственного ощущения.
Соответственно, мое познание окружающего мира происходит в стремлении обеспечить себе возможно высокий уровень положительного чувства удовольствия. Вектор стремления чувственного переживания от неприятного к приятному, является основой выживания и развития всех живых существ, в изменяющейся вмещающей среде.
Закономерности процесса познания неразрывно связаны с закономерностями процесса получения удовольствия.
Закономерности чувственных ощущений
В любой, отдельно взятый момент времени, у человека возбуждены несколько чувственных центров, отвечающих за выработку чувственных ощущений разных модальностей, в диапазоне валентностей (от неприятного, отрицательного, через нейтральное, к приятному, положительному). Чувственную оценку ощущений разных модальностей, в дальнейшем, возможно называть чувством удовольствия, в соответствующем диапазоне валентности.
Возбуждение чувственных центров обуславливают афферентные сигналы разных модальностей от рецепторов, о состоянии внешней и внутренней сред, а так же мыслительные процессы. Соответственно, в каждый момент времени, человек получает суммарное чувство удовольствия, формируемое несколькими центрами.
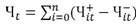
Интенсивность чувственного переживания, формируемого отдельным i-м чувственным центром, зависит от скорости изменения отклонения от эталонной нормы афферентных сигналов (скорости удовлетворения потребности):

Мгновенная величина чувственного переживания Чi в текущий момент времени t, может быть выражена:


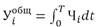
Возбуждение каждого чувственного центра, т.е. ощущение чувственного переживания, может продолжаться на протяжении некоторого времени Ti. Поэтому возбуждение нескольких чувственных центров за период времени T может предоставить общее количество удовольствия, равное:

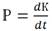
Среднее за период времени чувство удовольствия характеризует ощущение качества жизни в этот период:



Обеспечение положительного значения роста качества жизни Р, возможно считать главной целью, определяющей все аспекты поведения человека. Системное познание может явиться инструментом, позволяющим улучшить динамику роста качества жизни.
Эволюция удовольствия
После рождения человека происходит развитие систем организма, приобретаются новые знания и навыки. По мере развития организма, влияние сигналов внешней и внутренней среды на формирование интегрального чувства удовольствия, изменяется.
Рассмотрим общие закономерности эволюции чувства удовольствия, обусловленных влиянием сигналов, возбуждающих чувственные центры.
Влияние физической среды
Внешняя физическая среда оказывает воздействие на любой живой организм, стремясь выровнять градиент свойств, на всех этапах жизни. Живой организм вынужден сохранять постоянство своих свойств, в ходе энерго- и массообмена с вмещающей средой. Для этого задействуются процессы саморегуляции организма, которые неотделимо связаны с формированием чувственных переживаний.
На первых этапах развития еще не выработаны механизмы, программы, рефлексы, не наработан личный опыт, необходимые для выживания и развития. Поэтому разрушающее влияние внешней физической среды обуславливает формирование неудовлетворенных потребностей, предопределяет формирование эмоционального и двигательного ответа организма.
Первый опыт удовлетворения потребностей формирует наиболее интенсивное чувственное подкрепление, что обуславливает формирование нейронных цепей, отвечающих за выживание организма во вмещающей среде. На первых этапах жизни организма, именно окружающая физическая среда оказывает определяющее влияние на выработку положительного чувственного подкрепления, на развитие систем, навыков, программ ответа, на развитие познания.
После формирования программ и систем выживания, ребенок начинает изучать окружающий его мир. Сигналы разной модальности от сенсорных систем анализируются в нейронах соответствующих отделов коры мозга. В результате образуются нейронные центры, отвечающие за отдельные свойства поступающих сигналов, эти нейронные центры связываются между собой, формирование новых нейронных цепей обуславливает возникновение положительное чувственное подкрепление, чувство удовольствия.
С развитием двигательных систем, развитием ассоциативных отделов коры мозга, внешние сенсорные сигналы совмещаются с произвольным двигательным воздействием, управляемым сознательно. Построение нейронный цепей, объединяющих нейронные центры, расположенные в разных отделах коры мозга, переживание чувства удовольствия, обуславливается взаимодействием с внешней средой.
Чем богаче (разнообразнее) влияние среды, тем больше задействуются разные системы организма, тем большее количество удовольствия формируется, тем больше программ закрепляется, тем лучше развиваются способности организма. Если некоторые системы в ходе общего развития организма не возбуждаются внешней средой, соответствующие способности, доступные генетически, не развиваются, безвозвратно утрачиваются.
В результате взаимодействия с внешней физической средой, количество удовольствия, а соответственно, качество жизни, увеличивается за счет уменьшения числа неудовлетворенных потребностей, а так же в ходе формирования новых нейронных систем при росте числа успешных программ, освоенных способов удовлетворения естественных потребностей.
По мере развития опыта, навыков и способностей, влияние физической среды на человека снижается. Количество естественных потребностей, количество новой информации об окружающем мире, а соответственно, количество доступного естественного удовольствия, предоставляемого физической средой, у человека ограничено. Происходит снижение интенсивности чувства удовольствия от удовлетворения естественных потребностей, в результате потери новизны, привыкания; окружающая обстановка становится знакомой, неинтересной. Рост качества жизни, под влиянием факторов физической среды, замедляется.
На определенном этапе развития человека, рост суммарного количества удовольствия, получаемого человеком под влиянием среды, останавливается. Человек, в стремлении к сохранению уровня качества жизни, попадает в ситуацию, знакомую нам по сказке Льюиса Кэррола «Алиса в Зазеркалье»: «Нужно бежать со всех ног, чтобы только оставаться на месте, а чтобы куда-то попасть, надо бежать как минимум вдвое быстрее!».
Поэтому, после завершения этапа развития человека, определяемого влиянием физической среды, предусмотренного нашим генетическим аппаратом, человек вынужден самостоятельно искать способы получения удовольствия, чтобы сохранить достигнутый уровень качества жизни, обеспечить его рост.
Дальнейший поиск способов получения удовольствия имеет, как случайные, так и определенные генетически, детерминированные закономерности. Случайное влияние будет рассмотрено ниже. Закономерное развитие взаимодействия со средой заключается в возможности целенаправленного ее изменения, в соответствии с личными потребностями.
Изменение среды может заключаться в увеличении защищенности личного пространства обитания, улучшении ее качества, увеличении размеров защищенной территории, в росте обеспеченности ресурсами, увеличении количества материальных благ и т.п.
Возможность изменения среды обитания, в ходе естественно развития, связана с развитием личных способностей, с ростом познания, и выражается в созидании новых материальных и духовных продуктов: строительство или реконструкция жилища, обустройство территории, создание духовных ценностей и т.п.
Созидание предоставляет возможность активизации большого количества центров удовольствия, в том числе активизации центров достижения результата, имеющих высокий весовой коэффициент. Наибольшее удовольствие от созидания, человек может получить в ходе творчества, создавая ранее не существовавшие ценности. Природа предопределила путь развития познания в процессе созидания новых ценностей, предоставив возможность получения положительного чувственного подкрепления высокой интенсивности на этом пути.
Уменьшение количества неприятных воздействий со стороны окружающей среды, наряду с возможностью активации большого количества центров удовольствия от улучшения среды обитания, позволяют человеку обеспечить рост качества жизни.
Путь созидания приводит человека к принятию своей ответственности за окружающую среду. Человек начинает улучшить ближнюю среду (дом, личный участок). Далее зона ответственности может увеличиваться: с развитие познания человек может включается в программы благоустройства, очистки, защиты улиц, городов, рек, лесов, океанов, Земли в целом. Участие в таких программах предоставляет человеку положительное чувственное подкрепление, способствует росту качества жизни.
Анализ удовольствия приводит к выводу, что высшей задачей человека во взаимоотношении с физической средой, предопределенной генетическим аппаратом, которой можно достичь, и к которой следует стремиться, является путь созидания, с целью улучшения среды обитания, расширение ответственности за окружающую среду до масштаба Земли, колыбели существования каждого человека.
Влияние социума
Ребенок, с первых минут жизни, получает почти все положительные подкрепления, при взаимодействии с физической средой, благодаря помощи мамы, или иных членов близкого социума. Вскоре взаимодействие с социумом, с целью удовлетворения потребностей и получения удовольствия, становится для ребенка более приоритетным, чем взаимодействие со средой.
Социум защищает ребенка от разрушающих воздействий внешней среды, а так же передает ему наработанный опыт и знания. У ребенка развивается вторая сигнальная система, ребенок становится членом социума. Опыт взаимоотношений с членами социума формирует чувственные ощущения противоположных валентностей, формирует потребности. Это стимулирует развитие ребенка, способствует созданию и закреплению новых программ, навыков, знаний.
Ребенок учится управлять процессом удовлетворения личных естественных потребностей с использованием членов социума, получать чувство удовольствия, путем управления людьми из ближнего социума. Помимо генетически предопределенной возможности получения удовольствия в ходе самостоятельного познания среды обитания, ребенок обретает способность удовлетворять потребности, и получать удовольствие, с помощью приобретенного навыка управления членами социума.
Границы социума, взаимодействующего с ребенком, постоянно расширяются. Социум, вместе с функциями защиты, передачи знаний, начинает выступать в роли конкурентной среды, что стимулирует развитие личных способностей. Стимулирующее воздействие социума на развитие человека, как на социальное животное, возможность получения удовольствия от самореализации в социуме, так же предопределено генетически.
Человек учится взаимодействовать с изменяющимся социумом, поэтому роль социума в формировании новых нейронных структур, в обеспечении роста удовольствия, со временем уменьшается. Период уменьшения развивающего влияния социум, совпадает с периодом уменьшения влияния на развитие человека со стороны физической среды. Человек вынужден начинать самостоятельные поиски новых путей получения удовольствия.
Естественный путь дальнейшего развития взаимодействия с социумом может развиваться в двух направлениях:
– в росте согласия с социумом: в росте понимания и единения с окружающими людьми, в формировании и совместном достижении общих для социума целей. Совместное созидание дает мультипликаторный эффект, обеспечивает кратный рост удовольствия, рост качества жизни.
Согласие с социумом происходит при совпадении взглядов, целей, одинаковом понимании законов, лежащих в основе картин мира людей, входящих в социум. Чем большее совпадение, тем больше единение. Часто говорят: «счастье – это когда тебя понимают»;
– в принятии себя частью социума. В этом случае возникает ответственность за существование и развитие социума, как за часть себя. Путь ответственности за социум, приводит к росту удовольствия, росту качества жизни. Эволюционно, зона ответственности за социум расширяется от ближайшего окружения – семьи, до человечества в целом.
Проведенный анализ эволюции удовольствия приводит к выводу, что высшей эволюционной задачей человека, во взаимоотношении с социумом, которой можно достичь, и к которой следует стремиться, является принятие себя неотделимой частью социума. В ходе развития человека зона ответственности за социум может быть расширена до масштаба человечества, человек может принять себя неотъемлемой частью единого Человечества.
Влияние картины мира
Картина мира человека – это система представлений о строении и законах существования окружающего мира, а так же места человека в нем. Картина мира формируется на базе личного чувственного опыта, в результате взаимодействия с окружающей действительностью. Актуальная и согласная картина мира позволяет реагировать на изменение внешних сигналов быстрее и качественнее.
Конец ознакомительного фрагмента.
Текст предоставлен ООО «Литрес».
Прочитайте эту книгу целиком, купив полную легальную версию на Литрес.
Безопасно оплатить книгу можно банковской картой Visa, MasterCard, Maestro, со счета мобильного телефона, с платежного терминала, в салоне МТС или Связной, через PayPal, WebMoney, Яндекс.Деньги, QIWI Кошелек, бонусными картами или другим удобным Вам способом.
Приобретайте полный текст книги у нашего партнера:

