
Физиология и гигиена летчика в экстремальных условиях
• значительный парк устаревшей, а иногда и выработавшей ресурс техники, к тому же легкоуязвимой.
Среди психологических проблем одна из главных – отрыв летчика от семьи. Его настроение наряду с успешностью выполнения боевых задач определялось письмами из дома. Поскольку летчики и их жены – лица молодого возраста, разлука с семьей приобретала нередко характер доминирующего обстоятельства. Летчик часто использовал любую возможность для свидания с семьей. Направляемые во внутрисоюзные профилактории летчики любыми путями уезжали оттуда домой. Об остроте этой проблемы свидетельствуют нередкие случаи разводов в семьях летчиков после возвращения из Афганистана. К причинам, снижавшим функциональную надежность летчиков, относятся недостатки в обеспечении питьевой водой, низкое качество и однообразие питания и неблагоприятные социально-бытовые условия для летного состава. Так, много нареканий вызывала организация питания, в частности отсутствие зелени в летных и технических столовых, тогда как регион непосредственно связан с республиками, производящими в достатке эти ценные продукты питания. Ввиду эпидемической опасности, с угрозой которой постоянно приходилось считаться личному составу, особое значение в условиях пустынной местности приобретало наличие достаточного количества консервированных соков, минеральной воды. Наблюдался и весьма неблагоприятный с психологической точки зрения разрыв между большим вниманием, которое уделялось воинскому контингенту в Афганистане со стороны печати и телевидения, и фактическим игнорированием их нужд.
Перечисленное далеко не исчерпывает перечень факторов, обладающих психотравмирующими свойствами, были отмечены лишь наиболее очевидные в условиях пребывания летного состава в Афганистане. Вследствие их воздействия отмечалось ухудшение показателей профессиональной деятельности и функциональной надежности летчиков. Это потребовало разработки мероприятий, направленных на оптимизацию функционального состояния летного состава и внесение существенных корректив в организацию медицинского обеспечения полетов.
2.2. Состояние здоровья летного состава[2]
Понятие «здоровье» предполагает полноценность выполнения человеком основных биосоциальных функций и возможность достижения им жизненных целей. Здоровье определяется как динамическое состояние (процесс) сохранения и развития биологических, физиологических и психических функций, оптимальной трудоспособности и социальной активности при максимальной продолжительности жизни (Казначеев В. П., Баевский Р. М., 1974). У летчика здоровье – это не отсутствие диагноза врачебно-летной комиссии, несовместимого с летной профессией, или временного заболевания, а, скорее, свойство организма сохранять необходимые защитно-приспособительные механизмы, обеспечивающие работоспособность во всех условиях профессиональной деятельности летчика (Газенко О. Г., Меерсон Ф. З., 1986).
Таким образом, речь идет о здоровье человека как составной части, характеризующей результативность труда, т. е. профессиональную надежность летчика.
Существующая система предполетного медицинского контроля в основном обеспечивает своевременное выявление и отстранение от полетов лиц, непригодных по состоянию здоровья к выполнению профессиональной деятельности. Однако даже в условиях Афганистана врач авиационной части при проведении предполетных осмотров довольно редко встречался с выраженными нарушениями функционального состояния организма у летного состава. Чаще он имел дело с так называемыми пограничными состояниями, когда приходилось решать вопросы определения нормы и патологии, причем патологии функциональной, именно ее начальных форм. Так, в среднем за год в каждой авиационной части в Афганистане было отстранено от полетов в среднем 25–35 человек летного состава.
Выявление состояний, находящихся на грани нормы и патологии, при отсутствии клинических проявлений представляет значительные трудности и требует большого опыта. Знание врачом части реакции каждого летчика на каждый боевой вылет, особенностей реакции предстартового периода – своего рода физиологического паспорта, приобретало в этом случае исключительное значение. В условиях Афганистана, когда на летный состав воздействовал целый комплекс неблагоприятных факторов и условий, авиационному врачу для проведения адекватных мероприятий приходилось оценивать воздействие каждого фактора. С большой достоверностью установлено, что психофизиологические показатели у летного состава существенно ухудшались в зависимости от интенсивности летной и климатической нагрузки, а также от длительности пребывания летчика в Афганистане.
Комплексное изучение психофизиологического и нервно-психического статуса летного состава осуществлялось преимущественно в 1984–1986 гг. Психофизиологическое обследование включало электрокардиографию, реоэнцефалографию, измерение частоты сердечных сокращений и величины артериального давления, шаговую пробу, определение электропроводимости в биологически активных точках, время простой сенсомоторной реакции на свет, статический тремор, измерение максимального мышечного усилия и статической мышечной выносливости, 5-минутную ортостатическую пробу, определение массы тела. По формуле Руффье – Диксона определялись показатели сердечной деятельности (Шерер Ж., 1973). Нервно-психический статус изучался с помощью цветового теста Люшера, стандартизированного метода исследования (СМИЛ), методов оценки реактивной тревожности и эмоциональной реактивности (Максимович В. А., 1985). Субъективное состояние оценивалось с помощью психометрического теста САН (самочувствие, активность, настроение). Кроме этого, проводился опрос летного состава с помощью специально разработанных анкет и изучалась медицинская документация.
В процессе выполнения боевых вылетов с помощью кардиорегистратора ЛН-3 определялась частота сердечных сокращений, до и после полетов – показатели психофизиологического состояния, и измерялась температура тела (под языком). Качество профессиональной деятельности оценивалось по заключению командования и на основании результатов анализа материалов объективного контроля, включающего определение характеристик управляющих движений ручкой управления и шаг-газом.
Для оценки вестибуловегетативной устойчивости использовалась шаговая проба. Она состояла в следующем. На полу наносится шкала из окружностей радиусом 0,25; 0,5; 0,75; 1,0; 1,25; 1,5; 1,75; 2,0 м, вычерченных из одного центра. Площадь этих окружностей делится на секторы сечениями, проходящими через центр окружностей под углом 15°. Обследуемый встает в центр круга, ноги вместе, закрывает глаза и вытягивает обе руки вперед. Затем ему предлагается сделать несколько шагов на месте в течение 1 мин. После пробы фиксируется смещение по горизонтали в сантиметрах и угол поворота в градусах по отношению к исходной позиции. У здоровых людей тело может смещаться вперед до 50–100 см с поворотом не более чем на 30–40°.
2.2.1. Выраженность психофизиологических показателей у летчиков в зависимости от летной нагрузки
Для оценки динамики функционального состояния летчика в зависимости от количества боевых вылетов в прохладное время года было проведено психофизиологическое обследование летного состава до и после выполнения вылетов, которое сопоставлялось с данными средств объективного контроля, характеризующими динамику управляющих движений на этапе посадки.
Результаты психофизиологического обследования (табл. 2.6.) позволили определить, что к концу летной смены после выполнения 8–9 вылетов, даже через 30–40 мин после завершения полетов не происходило нормализации показателей сердечно-сосудистой системы, особенно на фоне выполнения физической нагрузки, практически в 2 раза увеличивался тремор пальцев рук, существенно изменялись самочувствие, активность и настроение.
Таблица 2.6 – Показатели психофизиологических функций у летчиков

Примечания: 1) приведены средние значения со средней ошибкой; 2) звездочкой (*) отмечены достоверные различия по отношению к фоновым данным (р < 0,05).
Отмеченные изменения свидетельствовали о развитии утомления у летного состава, что подтверждается и данными изменения характера управляющих движений у летного состава на этапе посадки (табл. 2.7).
Таблица 2.7 – Количество управляющих движений, допускаемых летчиком, в зависимости от количества вылетов

Примечания: 1) приведены средние значения со средней ошибкой; 2) звездочкой (*) отмечены достоверные различия по отношению к первому полету (р < 0,05).
В боевой обстановке в течение первых трех вылетов летчик максимально внимательно выдерживал постоянный режим полета. В 4-м вылете происходило уже заметное (на 13,4%) увеличение количества управляющих движений, которое резко прогрессировало после 5-го вылета и составляло в 6-м вылете – 24,7%, 7-м – 37,6%, 8-м – 44,1%. Следовательно, в боевых условиях отличительными особенностями полетов стало появление признаков утомления после 3-го вылета и отсутствие стадий врабатываемости и щажения. Одной из причин, способствовавших развитию утомления при выполнении боевых заданий, на первом месте, по мнению летчиков, – недостаточная ясность обстановки на этапах взлета с площадок (3–4 балла), выхода в район боевых действий (3–4 балла), поиска цели.
Напряженность значительно нарастала при той же ситуации, но при сопровождении колонн (3–5 баллов), десантировании (4–5 баллов), заходе на посадку для подъема раненых (5–6 баллов), посадке на площадку (4–6 баллов).
При опросе летного состава выявлено, что чувство опасности для жизни возникало при взлете – у 65%, при выходе в район боевых действий – у 49%, при поиске цели – у 64%, при боевом применении – у 72%, при десантировании – у 84%. При ретрансляции, управлении, перевозке грузов чувство опасности для жизни возникало у 35–45% летного состава.
Таким образом, если количество боевых вылетов воздействовало на летный состав практически одинаково, вызывая у всех явления утомления после 3–4-го вылетов, то характер боевых задач вызывал у каждого летчика индивидуальную реакцию. Если же к этому добавить индивидуальную переносимость климатических условий, то решить проблему поддержания боеспособности летного состава было довольно сложно.
Обследование летчиков, выполнявших полеты в жаркое время суток, подтвердило неблагоприятное влияние температур на их функциональное состояние. Изучение микроклиматических условий и теплового состояния летчика в ожидании вылета с закрытым фонарем в кабине Су-25 (до посадки в кабину летчика она закрыта чехлом) показало, что условия крайне экстремальные, а физиологические возможности летчика через 20–30 мин нахождения в ней соответствовали пределу переносимости (табл. 2.8).
Таблица 2.8 – Микроклиматические условия и тепловое состояние летчика при ожидании вылета с закрытым фонарем в кабине Су-25

Поэтому летчик старался сократить время от момента закрытия фонаря до взлета, когда несколько эффективней, чем при рулении, начинает работать система кондиционирования воздуха. И тем не менее интенсивная тепловая нагрузка в течение 10–15 мин приводила к увеличению физиологической цены выполнения полетного задания, которое до высот 2500–3000 м выполнялось также при повышенных температурах воздуха (см. рис. 2.1).
Сравнительный анализ динамики частоты сердечных сокращений (ЧСС) при выполнении полетов в жаркое и прохладное время суток (табл. 2.9) и характер изменения артериального давления (АД) и температуры тела, измеренной под языком (табл. 2.10), свидетельствуют о существенном увеличении биосоциальной «платы» за время выполнения полета и развитии преждевременного утомления летчиков.
Таблица 2.9 – Динамика ЧСС (уд/мин) у летчиков Су-25 и Ми-24 до начала и при выполнении двух-трех полетов на прикрытие в жаркое и прохладное время суток

Таблица 2.10 – Артериальное давление и температура тела у летчиков Су25 и Ми-26 до и после выполнения двух-трех полетов на прикрытие в жаркое и прохладное время суток

Примечание: данные обследования после выполнения полетов днем приведены для двух типов реагирования (подробнее см. главу 3).
Так, если по данным субъективной оценки возможная продолжительность качественного полетного задания в относительно комфортных микроклиматических условиях (20–25°С) составляла 5–6 ч полетного времени, то при высоких температурах и низкой влажности (10–15%) резервные возможности летчиков существенно снижались (рис. 2.2).

Рис. 2.2. – Возможная продолжительность выполнения полетного задания при повышенной температуре воздуха в кабине летчиками (137 человек) с хорошей (18% – 1), удовлетворительной (65% – 2) и низкой (17% – 3) переносимостью высоких температур
В зависимости от переносимости высоких температур продолжительность качественного выполнения полетного задания уменьшалась в среднем до 1,5–3 ч при 30°С, а при отказе системы кондиционирования воздуха в солнечный день и температуре в кабине ЛА 45°С – до 1–2 ч, при температуре 50°С – до 40–90 мин.
Рассматривая данные табл. 2.9 и 2.10, необходимо отметить два, на наш взгляд, важных момента. Во-первых, существенное увеличение ЧСС за 30–40 мин до взлета, а также при взлете, независимо от температурных условий, что свидетельствует о выраженном нервно-эмоциональном напряжении летчиков в ожидании противодействия средств ПВО. Во-вторых, различный характер реакций организма после выполнения полетов в жаркое время суток. Так, если у двух летчиков отмечалось увеличение систолического и диастолического АД на 25–40 мм рт. ст. и прирост температуры тела на 0,9–1,0°С, то у трех летчиков зарегистрировано увеличение систолического АД, менее выражен прирост ЧСС и температуры тела. С нашей точки зрения, это объясняется различиями в типах реагирования функциональных систем организма на экстремальные условия, на чем остановимся ниже (в главе 3).
Таким образом, интенсивная летная и климатическая нагрузки, высокая степень нервно-эмоционального напряжения способны как снизить профессиональную надежность в течение летной смены, так и привести к кумуляции неблагоприятных изменений в функциональном состоянии летного состава в течение срока пребывания в Афганистане.
2.2.2. Динамика психофизиологических показателей у летчиков в период пребывания в Афганистане
Изменения функционального состояния человека в неблагоприятных природно-климатических условиях внешней среды описаны в литературе (Ажаев А. Н., Зорилэ В. И., Кольцов А. Н., 1980, Казначеев В. П., 1980, Казначеев В. П., Баевский Р. М., 1974, Адольф Э., 1952). Общие закономерности течения острого адаптационного периода и особенности последующего периода адаптации человека к меняющимся условиям внешней среды применимы и к летному составу в условиях горно-пустынной местности Афганистана. Однако специфические особенности, присущие именно авиационным специалистам, не имеют аналогов.
В частности, адаптационный период у летчиков в условиях горно-пустынной местности Афганистана определяется:
• необходимостью жизнедеятельности летного состава в условиях боевой работы независимо от температурных воздействий;
• интенсивной летной нагрузкой, сопровождающейся значительным нервно-психическим напряжением;
• наличием значительного количества сопутствующих стресс-факторов, формирующихся при нахождении как в кабине ЛА, так и в наземных условиях;
• крайне резкими климатическими нагрузками.
В соответствии с медицинскими рекомендациями в период интенсивной внешней температурной нагрузки рекомендуется начинать работу на час раньше (в 7 ч) с перерывом с 12.00 до 16.30, т. е. использовать относительно прохладное время суток. Такой распорядок поддерживается при проведении полетов в летний период в Средней Азии: начинаются полеты рано утром и прекращаются при повышении температуры до 35°С в тени. В условиях Афганистана реально допустимым пределом, при котором разрешались боевые вылеты, была температура 42°С в тени.
Сравнительный анализ степени влияния климатических условий на изменение функционального состояния и работоспособности летного состава в зависимости от сезона перебазирования в Афганистан показал крайне неблагоприятное течение острого адаптационного периода у летчиков при проведении замены в мае-июле, более благоприятное, но достаточно напряженное – в сентябре и наиболее оптимальное – при перебазировании в феврале. Так, при замене в феврале практически 95% летного состава выходило через 14 дней на оптимальный уровень работоспособности (рис. 2.3), в сентябре – через 40–45 дней, тогда как при замене в мае-июле всего 60% летного состава достигало оптимального уровня работоспособности через 2 мес.

Рис. 2.3. – Зависимость числа летчиков, достигших оптимального уровня работоспособности, от времени перебазирования в Афганистан: 1 – в феврале; 2 – в сентябре; 3 – в мае; 4 – в июле
Динамика снижения общего количества жалоб в зависимости от сезона перебазирования в Афганистан имеет те же зависимости (рис. 2.4).

Рис. 2.4. – Динамика снижения общего количества жалоб летного состава в зависимости от времени перебазирования в Афганистан: 1 – в феврале; 2 – в сентябре; 3 – в мае; 4 – в июле
При замене в мае-июле 85–90% летчиков предъявляли ежедневно по 6–7 жалоб на головную боль, нарушение сна, слабость, повышенную утомляемость, ощущение перегревания, жажду, повышенную потливость и т. д. в течение двух-трех месяцев. При замене в сентябре 65–70% летчиков предъявляли по 3–4 жалобы ежедневно на протяжении трех-четырех недель. При замене в феврале 30% летчиков предъявляли по 1–2 жалобы на протяжении 10–14 дней (рис. 2.5, 2.6).

Рис. 2.5. – Сравнительная характеристика числа летчиков, предъявлявших жалобы, и количества жалоб на одного человека в зависимости от времени перебазирования в Узбекистан (1) и в Афганистан (2)

Рис. 2.6. – Зависимость числа летчиков, предъявлявших жалобы, от времени перебазирования в Афганистан
Необходимо отметить, что предварительное 12–15-дневное пребывание в Кагане или Чирчике (Узбекистан) оказывалось явно недостаточным для акклиматизации летного состава. Это подтверждается данными динамики снижения массы тела. Так, у летчиков, прибывших в Афганистан в феврале, мае, июле и сентябре, потери массы тела составили в среднем за один месяц 1,1; 6,5; 7,4; 3,5 кг, а суммарно за два месяца 1,9; 8,5; 10,5; 4,6 кг соответственно (рис. 2.7).

Рис. 2.7. – Динамика снижения массы тела у летного состава в зависимости от времени перебазирования в Афганистан: 1 – в феврале; 2 – в сентябре, 3 – в мае; 4 – в июле
Столь существенная разница в динамике снижения массы тела вызвана комплексом факторов: крайне высокими (до 45–50°С) внешними тепловыми нагрузками, более интенсивной нагрузкой в летний период, выраженным психоэмоциональным напряжением.
Наибольшие величины снижения массы тела у летчиков отмечались при сочетании воздействия летной и климатической нагрузок, которые в первые и последние два-три месяца пребывания в Афганистане также имели наибольшие значения (рис. 2.8).

Рис. 2.8. – Годовая динамика показателей налета (А), температуры воздуха (Б), потери массы тела (В), заболеваемости (Г) у командиров (1) и операторов (2) во время пребывания в Афганистане и после возвращения на аэродром основного базирования
Естественно, наибольшей была эмоциональная нагрузка. Об этом говорит более выраженная в течение всего года службы в Афганистане потеря массы тела у командиров вертолетов, на которых ложилась ответственность за успешное выполнение задания. На третьем месяце величины снижения массы тела у командиров и штурманов имели достоверные различия (р < 0,05).
Заболеваемость летчиков, хотя имела несколько иную динамику, в целом отражала характер изменения функционального их состояния. В частности, при пиковых значениях снижения массы отмечалась более низкая заболеваемость, которая имела более высокие цифры в первые два месяца и при снижении летной, нервно-психической и климатической нагрузок к январю, а также в первые четыре месяца после возвращения к основному месту базирования. В данном случае отношения между рассматриваемыми показателями являются более сложными и определяются различиями в степени напряжения функциональных систем организма в наблюдаемые периоды.
Анализируя причины снижения массы тела, можно отметить, что высокие температуры, интенсивная в летний период нагрузка, выраженное нервно-эмоциональное напряжение, воздействуя на недостаточно акклиматизированного летчика, приводили к выбросу катехоламинов, обладающих выраженным термогенным действием, способствующим изменению всех видов обмена, в частности к повышенному катаболизму белков. При этом резко снижался аппетит, чрезмерно увеличивалось потоотделение, сопровождающееся постоянной жаждой и потреблением до 10–12 л воды. «Непроизвольная дегидратация», возникающая вследствие терморегуляционного перераспределения крови, приводила к расстройствам работы желудочно-кишечного тракта (боли в желудке, энтероколиты, сопровождающиеся в течение двух-трех месяцев в жаркий период поносами, что, в свою очередь, приводило к ухудшению аппетита, усилению жажды и увеличению водопотребления).
Отмечаемый в сентябре-декабре рост заболеваемости вирусным гепатитом среди летчиков мог быть обусловлен выраженным проявлением острого адаптационного периода, а также длительным (до 6 мес) снижением иммунореактивности организма, характерным для неблагоприятного влияния высоких температур (Моммадов И. М. и др., 1985). Так, по данным анализа медицинской документации в авиагарнизоне Джелалабад, из 120 летчиков, прибывших в июле 1983 г., 19 человек перенесли в октябре-январе вирусный гепатит, из 60 летчиков, прибывших в конце сентября, – только 3 человека.
По данным ретроспективного анкетного опроса 75 человек проведен анализ изменения функционального состояния и работоспособности летного состава, вернувшегося после прохождения службы в авиагарнизонах Кундуз и Джелалабад к месту постоянного базирования в Закавказский военный округ (Телави).
Данные анкетирования позволили выявить зависимость частоты ухудшения работоспособности летчиков от степени нервно-психического напряжения и климатических условий в Афганистане. Так, несмотря на практически одинаковый общий налет в течение года в группе летчиков вертолетов Ми-8МТ на ухудшение работоспособности указывали до 60–70% летного состава против 30–33% летчиков транспортных вертолетов Ми-6 (рис. 2.9).

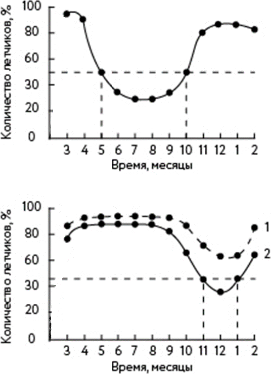
Рис. 2.9. – Годовая динамика доли (в %) летного состава вертолетов Ми-6 (1) и Ми-8МТ (2), прибывших из ЗакВО в Джелалабаде (А) и Кундузе (Б) в различные сроки и способных по субъективной оценке к выполнению служебных обязанностей на оптимальном уровне
Кроме того, длительность периода ухудшения работоспособности была больше у летчиков вертолетов Ми-8МТ, проходивших службу в Джелалабаде, где температура в тени достигала +48…+50°С, по сравнению с летчиками вертолетов Ми-8МТ, базировавшихся в Кундузе, где температура в тени не превышала +44…+46°С. В указанных группах отмечались аналогичные изменения и субъективного состояния летчиков.
Среди причин, определяющих столь существенные различия ухудшения работоспособности в группах летчиков вертолетов Ми-8МТ и Ми-6, можно выделить:
• более выраженный стресс у летчиков вертолетов Ми-8МТ, чаще выполняющих сложные боевые полетные задания;
• разные условия обитаемости на рабочем месте в кабине этих вертолетов (более неблагоприятные на Ми-8МТ).
В таблице 2.11 приведена оценка летчиками значимости факторов, влиявших на качество пилотирования и боевого применения вертолетов. Если летчики Ми-6 в качестве ведущих неблагоприятных факторов выделяли перепады температуры и шум, характерные и для полетов в условиях Закавказского военного округа, то летный состав Ми-8МТ отмечал недостаток воздуха при выполнении полетов и крайне высокие уровни загазованности кабины в режиме висения во время десантирования и ведения стрельбы.

